Synthesis and Biological Evaluation of Carvacrol-Based Derivatives as Dual Inhibitors of H. pylori Strains and AGS Cell Proliferation
Abstract
1. Introduction
2. Results and Discussion
2.1. Chemistry
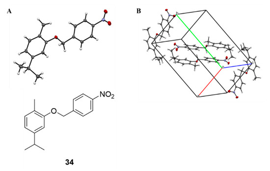
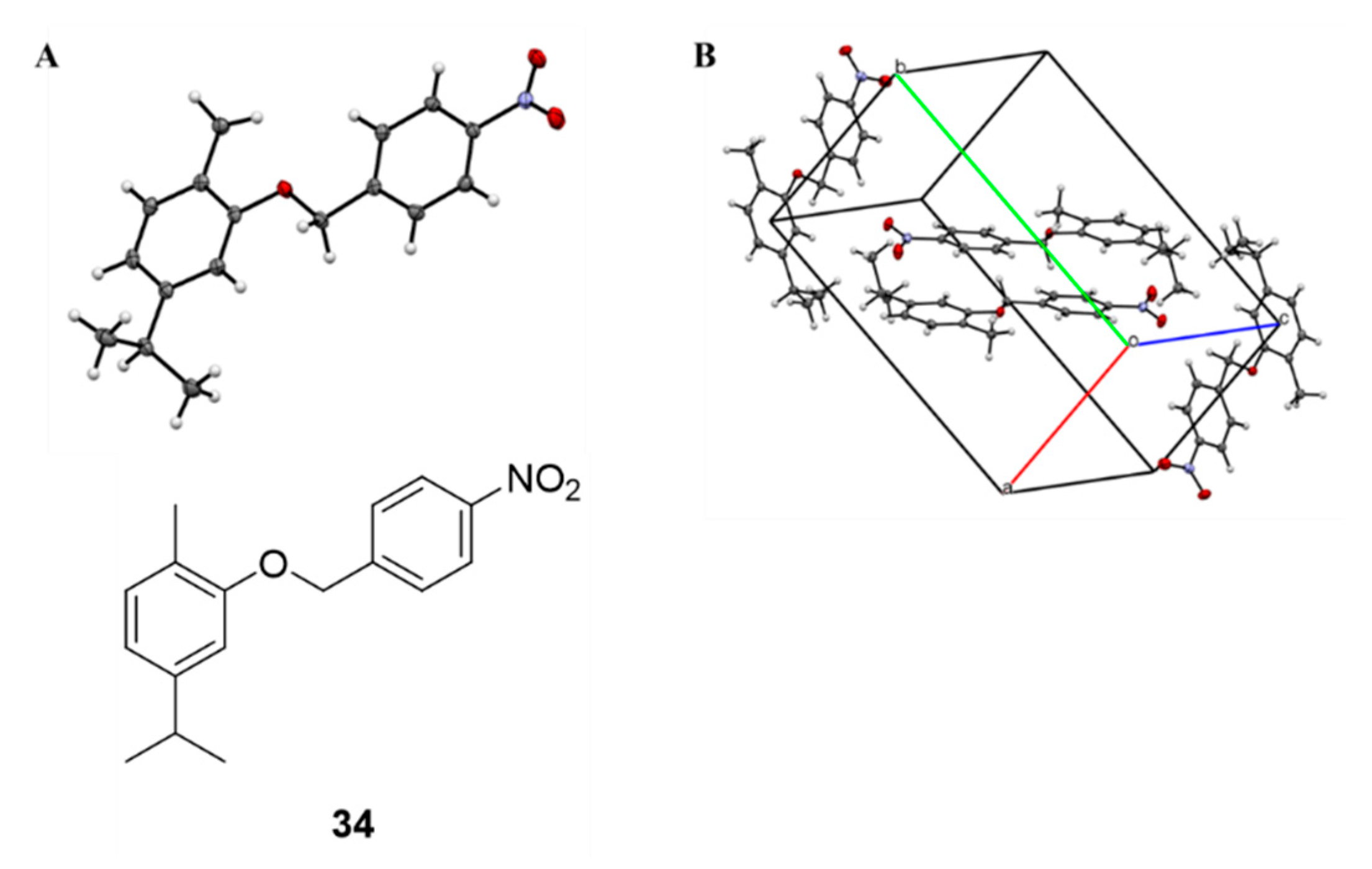
2.2. X-ray Diffraction Analysis
2.3. Pan Assay Interference Compounds (PAINS) Evaluation
2.4. Biological Assay
2.4.1. In Vitro Inhibitory Activity against H. pylori Strains
- (1)
- Alkyloxy derivatives 1–13: In general, these derivatives were characterized by an increasing alkyl chain, linear or branched, saturated or unsaturated, functionalized with additional moieties (cyano, ketone, ester, carboxylic acid). None of these modifications led to an improvement of the inhibitory activity with respect to the parent compound. Only derivatives 2 (OPr) and 3 (OBu) slightly presented MIC values comparable to carvacrol against two strains (F34/497 and F40/499), whereas compounds 6 (O-crotyl) and 9 (O-geranyl) were endowed with inferior MIC and MBC values up to 16 and 8 µg/mL, respectively, toward all the strains;
- (2)
- Benzyloxy derivatives 14–40 and 46: The simplest representative of this class (14, O-benzyl) had an anti-H. pylori activity comparable to carvacrol, whereas other substitutions on the aryl ring such as 3,4-diCl, 2,6-diF, 3-F, 3-OCH3, 2-Cl-4-OCH3, 2-Br, and 4-Br were detrimental or didn’t produce a strong increment of the antimicrobial activity. Conversely, some substituents, especially in the para position of the aryl ring, such as CF3, Ph, CN, NO2 and NH2 were promising to show improvements. Indeed, CF3 could act as a bioisostere of the NO2 group and in both series we can highlight the following activity order: p > m > o.The presence of a fluorine atom or a trifluoromethyl group into an organic scaffold can lead to changes in the physical, chemical and biological properties, often associated with an increase lipophilicity and electronegativity but a relatively small size, which can favour entry into the cell membranes. The presence of two CF3 in compound 22 didn’t synergistically contribute to an improved inhibitory action. As regards sulfur-based compounds (37–39) we highlighted a better activity with a higher sulfur oxidation state (ArSO2CH3 > ArSOCH3 > ArSCH3). Unfortunately, the introduction of bromine atoms in compounds 30 and 31 reduced the inhibitory effect likely due to their low ability to act as H-bond acceptors and their higher atomic radius, both determining a negative steric constrain. Moreover, electron-donating groups were not tolerated.
- (3)
- Bicyclic and heteroaryl derivatives 41 and 42: The change of the benzyl group into a naphthalene led to a total loss of inhibitory activity, whereas phthalimide can be tolerated;
- (4)
2.4.2. Effects of Carvacrol and Its Derivatives on Cell Viability of AGS Cell Line
3. Materials and Methods
3.1. Chemistry
3.2. Synthesis of Carvacrol Derivatives
3.2.1. General Procedure for the Synthesis of Compounds 1–12, 14–34, 36, 37, and 40–42
3.2.2. Synthesis of Compound 13
3.2.3. Synthesis of Compound 46
3.2.4. Synthesis of Compound 35
3.2.5. Synthesis of Compounds 38 and 39
3.2.6. Synthesis of Intermediates A/A1-C/C1
3.2.7. Synthesis of Compounds 43–45
3.3. Characterization Data for Carvacrol Derivatives
3.4. Crystal Structure Determination of Compound 34
3.5. Anti-Helicobacter Pylori Activity
3.6. Cell Lines and Treatments
3.7. Cell Viability
3.8. Statistical Analysis
4. Conclusions
Supplementary Materials
Author Contributions
Funding
Conflicts of Interest
References
- Silva, E.R.; de Carvalho, F.O.; Teixeira, L.G.B.; Santos, N.G.L.; Felipe, F.A.; Santana, H.S.R.; Shanmugam, S.; Quintans, L.J., Jr.; de Souza, A.A.A.; Nunes, P.S. Pharmacological Effects of Carvacrol in In vitro Studies: A Review. Curr. Pharm. Des. 2018, 24, 3454–3465. [Google Scholar] [CrossRef] [PubMed]
- Sharifi-Rad, M.; Varoni, E.M.; Iriti, M.; Martorell, M.; Setzer, W.N.; del Mar, C.M.; Salehi, B.; Soltani-Nejad, A.; Rajabi, S.; Tajbakhsh, M.; et al. Carvacrol and human health: A comprehensive review. Phytother. Res. 2018, 32, 1675–1687. [Google Scholar] [CrossRef] [PubMed]
- Marinelli, L.; Di Stefano, A.; Cacciatore, I. Carvacrol and its derivatives as antibacterial agents. Phytochem. Rev. 2018, 17, 903–921. [Google Scholar] [CrossRef]
- Marchese, A.; Arciola, C.R.; Coppo, E.; Barbieri, R.; Barreca, D.; Chebaibi, S.; Sobarzo-Sánchez, E.; Nabavi, S.F.; Nabavi, S.M.; Daglia, M. The natural plant compound carvacrol as an antimicrobial and anti-biofilm agent: Mechanisms, synergies and bio-inspired anti-infective materials. Biofouling 2018, 34, 630–656. [Google Scholar] [CrossRef] [PubMed]
- Marinelli, L.; Fornasari, E.; Eusepi, P.; Ciulla, M.; Genovese, S.; Epifano, F.; Fiorito, S.; Turkez, H.; Örtücü, S.; Mingoia, M.; et al. Carvacrol prodrugs as novel antimicrobial agents. Eur. J. Med. Chem. 2019, 178, 515–529. [Google Scholar] [CrossRef]
- Liu, Q.; Meng, X.; Li, Y.; Zhao, C.N.; Tang, G.Y.; Li, S.; Gan, R.Y.; Li, H.-B. Natural Products for the Prevention and Management of Helicobacter pylori Infection. Compr. Rev. Food Sci. Food Saf. 2018, 17, 937–952. [Google Scholar] [CrossRef]
- Hooi, J.K.Y.; Lai, W.Y.; Ng, W.K.; Suen, M.M.Y.; Underwood, F.E.; Tanyingoh, D.; Malfertheiner, P.; Graham, D.Y.; Wong, V.W.S.; Wu, J.C.Y.; et al. Global Prevalence of Helicobacter pylori Infection: Systematic Review and Meta-Analysis. Gastroenterology 2017, 153, 420–429. [Google Scholar] [CrossRef]
- Grande, R.; Sisto, F.; Puca, V.; Carradori, S.; Ronci, M.; Aceto, A.; Muraro, R.; Mincione, G.; Scotti, L. Antimicrobial and Antibiofilm Activities of New Synthesized Silver Ultra-NanoClusters (SUNCs) Against Helicobacter pylori. Front. Microbiol. 2020, 11, 1705. [Google Scholar] [CrossRef]
- Kosunen, T.U.; Pukkala, E.; Sarna, S.; Seppälä, K.; Aromaa, A.; Knekt, P.; Rautelin, H. Gastric cancers in Finnish patients after cure of Helicobacter pylori infection: A cohort study. Int. J. Cancer 2011, 128, 433–439. [Google Scholar] [CrossRef]
- Mégraud, F.; Lamouliatte, H. Review article: The treatment of refractory Helicobacter pylori infection. Aliment. Pharmacol. Ther. 2003, 17, 1333–1343. [Google Scholar] [CrossRef]
- Cammarota, G.; Cianci, R.; Cannizzaro, O.; Cuoco, L.; Pirozzi, G.; Gasbarrini, A.; Armuzzi, A.; Zocco, M.A.; Santarelli, L.; Arancio, F.; et al. Efficacy of two one-week rabeprazole/levofloxacin-based triple therapies for Helicobacter pylori infection. Aliment. Pharmacol. Ther. 2000, 14, 1339–1343. [Google Scholar] [CrossRef] [PubMed]
- Mori, H.; Suzuki, H. Role of acid suppression in acid-related diseases: Proton pump inhibitor and potassium-competitive acid blocker. J. Neurogastroenterol. Motil. 2019, 25, 6–14. [Google Scholar] [CrossRef] [PubMed]
- Mégraud, F. The challenge of Helicobacter pylori resistance to antibiotics: The comeback of bismuth-based quadruple therapy. Ther. Adv. Gastroenterol. 2012, 5, 103–109. [Google Scholar] [CrossRef] [PubMed]
- Macías-García, F.; Bastón-Rey, I.; de la Iglesia-García, D.; Calviño-Suárez, C.; Nieto-García, L.; Domínguez-Muñoz, J.E. Bismuth-containing quadruple therapy versus concomitant quadruple therapy as first-line treatment for Helicobacter pylori infection in an area of high resistance to clarithromycin: A prospective, cross-sectional, comparative, open trial. Helicobacter 2019, 24, e12546. [Google Scholar] [CrossRef]
- Ko, S.W.; Kim, Y.J.; Chung, W.C.; Lee, S.J. Bismuth supplements as the first-line regimen for Helicobacter pylori eradication therapy: Systemic review and meta-analysis. Helicobacter 2019, 24, e12565. [Google Scholar] [CrossRef]
- Bergonzelli, G.E.; Donnicola, D.; Porta, N.; Corthésy-Theulaz, I.E. Essential oils as components of a diet-based approach to management of Helicobacter infection. Antimicrob. Agents Chemother. 2003, 47, 3240–3246. [Google Scholar] [CrossRef]
- Sharifi-Rad, M.; Fokou, P.V.T.; Sharopov, F.; Martorell, M.; Ademiluyi, A.O.; Rajkovic, J.; Salehi, B.; Martins, N.; Iriti, M.; Sharifi-Rad, J. Antiulcer agents: From plant extracts to phytochemicals in healing promotion. Molecules 2018, 23, 1751. [Google Scholar] [CrossRef]
- Silva, F.V.; Guimarães, A.G.; Silva, E.R.S.; Sousa-Neto, B.P.; MacHado, F.D.F.; Quintans-Júnior, L.J.; Arcanjo, D.D.R.; Oliveira, F.A.; Oliveira, R.C.M. Anti-Inflammatory and Anti-Ulcer Activities of Carvacrol, a Monoterpene Present in the Essential Oil of Oregano. J. Med. Food 2012, 15, 984–991. [Google Scholar] [CrossRef]
- Günes-Bayir, A.; Kocyigit, A.; Güler, E.M.; Bilgin, M.G.; Ergün, İ.S.; Dadak, A. Effects of carvacrol on human fibroblast (WS-1) and gastric adenocarcinoma (AGS) cells in vitro and on Wistar rats in vivo. Mol. Cell. Biochem. 2018, 448, 237–249. [Google Scholar] [CrossRef]
- Suntres, Z.E.; Coccimiglio, J.; Alipour, M. The bioactivity and toxicological actions of carvacrol. Crit. Rev. Food Sci. Nutr. 2015, 55, 304–318. [Google Scholar] [CrossRef]
- Rotondi, G.; Guglielmi, P.; Carradori, S.; Secci, D.; De Monte, C.; De Filippis, B.; Maccallini, C.; Amoroso, R.; Cirilli, R.; Akdemir, A.; et al. Design, synthesis and biological activity of selective hCAs inhibitors based on 2-(benzylsulfinyl)benzoic acid scaffold. J. Enzym. Inhib. Med. Chem. 2019, 34, 1400–1413. [Google Scholar] [CrossRef] [PubMed]
- Chimenti, F.; Bolasco, A.; Secci, D.; Bizzarri, B.; Chimenti, P.; Granese, A.; Carradori, S. Synthesis and characterization of new 3-acyl-7-hydroxy-6,8-substituted-coumarin and 3-acyl-7-benzyloxy-6,8-substituted-coumarin derivatives. J. Heterocycl. Chem. 2010, 47, 729–733. [Google Scholar] [CrossRef]
- Chimenti, F.; Bizzarri, B.; Bolasco, A.; Secci, D.; Chimenti, P.; Granese, A.; Carradori, S.; Rivanera, D.; Zicari, A.; Scaltrito, M.M.; et al. Synthesis, selective anti-Helicobacter pylori activity, and cytotoxicity of novel N-substituted-2-oxo-2H-1-benzopyran-3-carboxamides. Bioorganic Med. Chem. Lett. 2010, 20, 4922–4926. [Google Scholar] [CrossRef]
- ZINC. Pattern Identifier. Available online: http://zinc15.docking.org/patterns/home/ (accessed on 20 October 2020).
- Baell, J.B.; Holloway, G.A. New substructure filters for removal of pan assay interference compounds (PAINS) from screening libraries and for their exclusion in bioassays. J. Med. Chem. 2010, 53, 2719–2740. [Google Scholar] [CrossRef] [PubMed]
- Lagorce, D.; Sperandio, O.; Galons, H.; Miteva, M.A.; Villoutreix, B.O. FAF-Drugs2: Free ADME/tox filtering tool to assist drug discovery and chemical biology projects. BMC Bioinform. 2008, 9, 396. [Google Scholar] [CrossRef]
- Chimenti, F.; Bizzarri, B.; Bolasco, A.; Secci, D.; Chimenti, P.; Carradori, S.; Granese, A.; Rivanera, D.; Lilli, D.; Zicari, A.; et al. A novel class of selective anti-Helicobacter pylori agents 2-oxo-2H-chromene-3-carboxamide derivatives. Bioorganic Med. Chem. Lett. 2007, 17, 3065–3071. [Google Scholar] [CrossRef]
- CCDC. Access Structures. Available online: https://www.ccdc.cam.ac.uk/structures/ (accessed on 20 October 2020).
- Walker, N.; Stuart, D. An empirical method for correcting diffractometer data for absorption effects. Acta Crystallogr. Sect. A: Found. Crystallogr. 1983, 39, 158–166. [Google Scholar] [CrossRef]
- Burla, M.C.; Caliandro, R.; Camalli, M.; Carrozzini, B.; Cascarano, G.L.; De Caro, L.; Giacovazzo, C.; Polidori, G.; Spagna, R. SIR2004: An improved tool for crystal structure determination and refinement. J. Appl. Crystallogr. 2005, 38, 381–388. [Google Scholar] [CrossRef]
- Farrugia, L.J. WinGX and ORTEP for Windows: An update. J. Appl. Crystallogr. 2012, 45, 849–854. [Google Scholar] [CrossRef]
- Sheldrick, G.M. Crystal structure refinement with SHELXL. Acta Crystallogr. Sect. C Struct. Chem. 2015, 71, 3–8. [Google Scholar] [CrossRef]
- Sisto, F.; Scaltrito, M.M.; Russello, G.; Bonomi, A.; Dubini, F. Antimicrobial susceptibility testing of Helicobacter pylori determined by microdilution method using a new medium. Curr. Microbiol. 2009, 58, 559–563. [Google Scholar] [CrossRef] [PubMed]
- Barranco, S.C.; Townsend, C.M.; Casartelli, C.; Macik, B.G.; Burger, N.L.; Boerwinkle, W.R.; Gourley, W.K. Establishment and Characterization of an in Vitro Model System for Human Adenocarcinoma of the Stomach. Cancer Res. 1983, 43, 1703–1708. [Google Scholar] [PubMed]
- Marconi, G.D.; Carradori, S.; Ricci, A.; Guglielmi, P.; Cataldi, A.; Zara, S. Kinesin Eg5 targeting inhibitors as a new strategy for gastric adenocarcinoma treatment. Molecules 2019, 24, 3948. [Google Scholar] [CrossRef] [PubMed]
- Carradori, S.; Di Giacomo, N.; Lobefalo, M.; Luisi, G.; Campestre, C.; Sisto, F. Biofilm and quorum sensing inhibitors: The road so far. Expert Opin. Ther. Pat. 2020. [Google Scholar] [CrossRef]



| H. pylori Strains MIC/MBC (µg/mL) | |||||||||
|---|---|---|---|---|---|---|---|---|---|
| F4 | 190 | 23 | 110 R | NCTC 11637 | F1 | F34/497 | F40/499 | F40/442 | |
| Carvacrol | 64/64 | 64/64 | 64/64 | 64/64 | 64/64 | 64/64 | 16/32 | 32/64 | 32/64 |
| 1 | 128/128 | >128/>128 | >128/>128 | 128/128 | >128/>128 | 128/128 | 128/128 | 64/64 | 64/64 |
| 2 | 64/64 | 64/128 | >128/>128 | 64/64 | 128/>128 | 64/64 | 32/64 | 32/64 | 64/64 |
| 3 | 64/128 | 64/64 | 128/>128 | 64/64 | 64/64 | 64/64 | 32/64 | 64/64 | 64/64 |
| 4 | 128/128 | 128/128 | 128/128 | 128/128 | 128/128 | 128/128 | 128/128 | 128/128 | 128/128 |
| 5 | 64/64 | 64/64 | 64/64 | 64/64 | 128/128 | 64/64 | 64/64 | 64/64 | 64/64 |
| 6 | 16/32 | 32/32 | 32/64 | 64/128 | 64/64 | 32/32 | 32/32 | 16/16 | 32/32 |
| 7 | 32/32 | 32/64 | 64/128 | 64/128 | 64/64 | 32/32 | 32/32 | 64/64 | 64/64 |
| 8 | 64/64 | 64/64 | 64/64 | 64/128 | 64/64 | 64/64 | 64/64 | 64/64 | 64/64 |
| 9 | 8/8 | 32/32 | 32/64 | 32/32 | 32/32 | 16/16 | 8/8 | 16/16 | 16/16 |
| 10 | 128/128 | 128/128 | 128/128 | 128/128 | 128/128 | 128/128 | 128/128 | 128/128 | 128/128 |
| 11 | 128/128 | 128/128 | 128/128 | 128/128 | 128/128 | 128/128 | 128/128 | 128/128 | 128/128 |
| 12 | 64/64 | 32/32 | 128/128 | 64/64 | 64/64 | 64/64 | 64/64 | 32/64 | 64/64 |
| 13 | >128/>128 | >128/>128 | >128/>128 | >128/>128 | >128/>128 | >128/>128 | 128/128 | 128/128 | 128/128 |
| 14 | 64/64 | 64/64 | 64/64 | 64/64 | 64/64 | 64/64 | 64/64 | 64/64 | 64/64 |
| 15 | 64/128 | 64/64 | 32/32 | 64/64 | 64/64 | 32/64 | 32/32 | 32/32 | 32/32 |
| 16 | 8/16 | 8/16 | 32/32 | 8/8 | 32/32 | 4/8 | 2/2 | 8/8 | 4/8 |
| 17 | 32/32 | 32/32 | 16/16 | 32/32 | 32/32 | 16/16 | 8/32 | 16/16 | 16/16 |
| 18 | 32/32 | 32/64 | 32/32 | 64/128 | 32/64 | 16/32 | 16/16 | 16/16 | 16/16 |
| 19 | 32/64 | >128/>128 | >128/>128 | >128/>128 | 128/128 | 32/32 | 16/32 | 64/128 | 64/128 |
| 20 | 16/32 | 128/128 | 32/64 | 128/>128 | 64/64 | 32/32 | 16/32 | 64/64 | 64/64 |
| 21 | 16/32 | 32/32 | 32/64 | 32/64 | 32/64 | 32/32 | 16/32 | 32/32 | 32/32 |
| 22 | >128/>128 | >128/>128 | >128/>128 | >128/>128 | >128/>128 | 128/>128 | >128/>128 | >128/>128 | >128/>128 |
| 23 | 64/64 | 32/32 | 64/64 | 32/64 | 64/64 | 64/64 | 64/64 | 32/32 | 32/64 |
| 24 | 32/32 | 64/128 | 32/32 | 64/64 | 64/128 | 32/32 | 128/128 | 32/32 | 32/32 |
| 25 | 64/64 | 32/32 | 64/64 | 64/64 | 64/64 | 64/64 | 32/64 | 32/64 | 32/64 |
| 26 | 32/32 | 32/32 | 32/32 | 32/32 | 32/64 | 16/16 | 32/64 | 16/16 | 16/16 |
| 27 | 32/64 | 32/32 | 64/64 | 32/32 | 64/64 | 32/64 | 32/32 | 32/32 | 32/32 |
| 28 | 16/16 | 16/16 | 32/64 | 16/32 | 16/32 | 8/8 | 32/64 | 8/8 | 8/16 |
| 29 | 16/64 | 32/64 | 64/64 | 64/64 | 64/64 | 64/64 | 16/32 | 64/64 | 16/32 |
| 30 | 32/64 | 64/128 | 64/128 | 64/128 | 64/128 | 64/64 | 32/32 | 32/64 | 32/64 |
| 31 | 32/32 | 16/32 | 32/64 | 16/16 | 64/64 | 16/32 | 64/64 | 8/16 | 16/32 |
| 32 | 16/32 | 64/64 | 64/64 | 64/64 | 32/64 | 32/32 | 16/16 | 32/64 | 16/32 |
| 33 | 8/8 | 4/4 | 8/8 | 4/4 | 4/4 | 8/8 | 8/8 | 8/8 | 8/8 |
| 34 | 8/8 | 4/4 | 4/4 | 4/8 | 4/4 | 4/4 | 4/4 | 4/4 | 4/4 |
| 35 | 4/8 | 16/16 | 32/64 | 16/16 | 32/64 | 4/4 | 2/2 | 16/16 | 16/16 |
| 36 | 8/16 | 4/4 | 8/8 | 8/8 | 8/8 | 8/8 | 8/8 | 8/8 | 8/8 |
| 37 | 32/64 | 64/64 | 64/64 | 64/64 | 64/64 | 32/64 | 32/32 | 64/64 | 32/64 |
| 38 | 8/8 | 4/4 | 8/8 | 4/4 | 8/8 | 4/4 | 2/2 | 8/8 | 8/8 |
| 39 | 2/2 | 4/4 | 2/2 | 4/4 | 2/2 | 2/2 | 2/2 | 2/2 | 2/2 |
| 40 | 8/8 | 8/16 | 8/16 | 8/16 | 8/16 | 4/4 | 4/4 | 4/4 | 4/4 |
| 41 | >128/>128 | >128/>128 | >128/>128 | >128/>128 | >128/>128 | >128/>128 | >128/>128 | >128/>128 | >128/>128 |
| 42 | 16/16 | 16/32 | 32/32 | 32/32 | 32/32 | 32/32 | 16/32 | 32/32 | 16/16 |
| 43 | 32/32 | 64/128 | 128/>128 | 128/>128 | 128/>128 | 32/32 | 64/128 | 32/32 | 32/32 |
| 44 | 32/32 | 32/32 | 32/32 | 32/32 | 32/32 | 32/32 | 32/32 | 32/32 | 32/32 |
| 45 | 32/32 | 32/128 | 64/>128 | 32/128 | 64/128 | 32/32 | 32/32 | 32/32 | 32/32 |
| 46 | 64/128 | 32/64 | 32/64 | 32/64 | 32/64 | 64/128 | 64/>128 | 32/64 | 64/128 |
| Antibiotic susceptibility | MTZ+ | MTZ− | MTZ− | MTZ+ | MTZ+ | MTZ− | MTZ+ | MTZ+ | MTZ+ |
| CLR+ | CLR− | CLR− | CLR− | CLR− | CLR+ | CLR+ | CLR+ | CLR− | |
| AMX− | AMX− | AMX− | AMX− | AMX− | AMX− | AMX− | AMX− | AMX− | |
| Compound | IC50 (μM) a |
|---|---|
| Carvacrol | 300 ± 6.5 |
| 6 | 530 ± 16 |
| 9 | 527 ± 8.0 |
| 16 | 209 ± 9.4 |
| 17 | 366 ± 13 |
| 20 | na |
| 21 | 179 ± 9.0 |
| 29 | na |
| 32 | 382 ± 13 |
| 33 | 615 ± 9.6 |
| 34 | na |
| 35 | 283 ± 12 |
| 38 | 217 ± 7.6 |
| 39 | 209 ± 10 |
| 42 | 722 ± 8.5 |
| 43 | na |
| 44 | na |
| 45 | na |
| 5-Fluorouracil (5-FU) | 82.3 ± 5.6 |
Publisher’s Note: MDPI stays neutral with regard to jurisdictional claims in published maps and institutional affiliations. |
© 2020 by the authors. Licensee MDPI, Basel, Switzerland. This article is an open access article distributed under the terms and conditions of the Creative Commons Attribution (CC BY) license (http://creativecommons.org/licenses/by/4.0/).
Share and Cite
Sisto, F.; Carradori, S.; Guglielmi, P.; Traversi, C.B.; Spano, M.; Sobolev, A.P.; Secci, D.; Di Marcantonio, M.C.; Haloci, E.; Grande, R.; et al. Synthesis and Biological Evaluation of Carvacrol-Based Derivatives as Dual Inhibitors of H. pylori Strains and AGS Cell Proliferation. Pharmaceuticals 2020, 13, 405. https://doi.org/10.3390/ph13110405
Sisto F, Carradori S, Guglielmi P, Traversi CB, Spano M, Sobolev AP, Secci D, Di Marcantonio MC, Haloci E, Grande R, et al. Synthesis and Biological Evaluation of Carvacrol-Based Derivatives as Dual Inhibitors of H. pylori Strains and AGS Cell Proliferation. Pharmaceuticals. 2020; 13(11):405. https://doi.org/10.3390/ph13110405
Chicago/Turabian StyleSisto, Francesca, Simone Carradori, Paolo Guglielmi, Carmen Beatrice Traversi, Mattia Spano, Anatoly P. Sobolev, Daniela Secci, Maria Carmela Di Marcantonio, Entela Haloci, Rossella Grande, and et al. 2020. "Synthesis and Biological Evaluation of Carvacrol-Based Derivatives as Dual Inhibitors of H. pylori Strains and AGS Cell Proliferation" Pharmaceuticals 13, no. 11: 405. https://doi.org/10.3390/ph13110405
APA StyleSisto, F., Carradori, S., Guglielmi, P., Traversi, C. B., Spano, M., Sobolev, A. P., Secci, D., Di Marcantonio, M. C., Haloci, E., Grande, R., & Mincione, G. (2020). Synthesis and Biological Evaluation of Carvacrol-Based Derivatives as Dual Inhibitors of H. pylori Strains and AGS Cell Proliferation. Pharmaceuticals, 13(11), 405. https://doi.org/10.3390/ph13110405

