Micro-Electromechanical System-Based Parasitic Patch Antenna on Quartz Substrate for High Gain
Abstract
1. Introduction
2. Materials and Method
2.1. Parasitic Patch Antenna Design
2.2. Comparative Analysis of Parasitic Patch Antenna and Quartz Antenna
2.3. Fabrication of Parasitic Patch Antenna
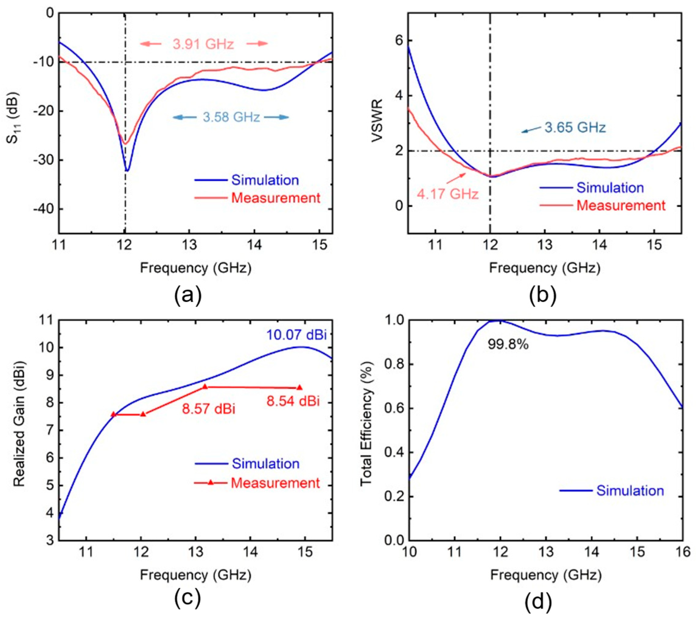
3. Results and Discussion
4. Conclusions
Author Contributions
Funding
Institutional Review Board Statement
Informed Consent Statement
Data Availability Statement
Conflicts of Interest
References
- Yu, F.; Guo, X.; Ma, S.; Wang, C.; Feng, G.; Wang, Z. Design and Fabrication of a TR Microsystem in Ka-Band with Si-Based 3-D Heterogeneous Integration. IEEE Trans. Compon. Packag. Manuf. Technol. 2024, 14, 862–871. [Google Scholar] [CrossRef]
- Lu, X.; Zhou, S.; Wei, B.; Zhou, L. Three-Dimensional SIP Design of the Four-Channel RF Transceiver Based on Silicon and ALN for X-Band Radar Applications. IEEE Trans. Compon. Packag. Manuf. Technol. 2023, 13, 1030–1044. [Google Scholar] [CrossRef]
- Lau, J.H. Recent Advances and Trends in Multiple System and Heterogeneous Integration with TSV Interposers. IEEE Trans. Compon. Packag. Manuf. Technol. 2023, 13, 3–25. [Google Scholar] [CrossRef]
- Zhang, Y.; Tian, W.; Wang, H.; Wang, L.; Yang, Z.; Shao, W.; Chen, Z.; Zhou, B. High-Frequency Transmission Characteristic Analysis of TSV-RDL Interconnects. IEEE Trans. Compon. Packag. Manuf. Technol. 2024, 14, 89–97. [Google Scholar] [CrossRef]
- Chaloun, T.; Brandl, S.; Ambrosius, N.; Kröhnert, K.; Maune, H.; Waldschmidt, C. RF Glass Technology Is Going Mainstream: Review and Future Applications. IEEE J. Microw. 2023, 3, 783–799. [Google Scholar] [CrossRef]
- Bergmann, F.; Jungwirth, N.R.; Bosworth, B.T.; Cheron, J.; Long, C.J.; Orloff, N.D. Measuring the permittivity of fused silica with planar on-wafer structures up to 325 GHz. Appl. Phys. Lett. 2024, 124, 072902. [Google Scholar] [CrossRef] [PubMed]
- Galler, T.; Chaloun, T.; Mayer, W.; Kröhnert, K.; Ambrosius, N.; Schulz-Ruhtenberg, M.; Waldschmidt, C. MMIC-to-Dielectric Waveguide Transitions for Glass Packages Above 150 GHz. IEEE Trans. Microw. Theory Tech. 2023, 71, 2807–2817. [Google Scholar] [CrossRef]
- Zhou, G.; Gao, L.; Chen, Y.; Chen, H.; Li, W.; Zhang, C.; Liu, J.; Zhang, J. High Inductance Density Glass Embedded Inductors for 3-D Integration. IEEE Microw. Wirel. Technol. Lett. 2023, 33, 679–682. [Google Scholar] [CrossRef]
- Siddiqui, Z.; Sonkki, M.; Rasilainen, K.; Chen, J.; Berg, M.; Leinonen, M.E.; Pärssinen, A. Dual-Band Dual-Polarized Planar Antenna for 5G Millimeter-Wave Antenna-in-Package Applications. IEEE Trans. Antennas Propag. 2023, 71, 2908–2921. [Google Scholar] [CrossRef]
- Zhang, S.; Liu, N.-W.; Li, Y.; Sun, S. A Gain-Enhanced Differential-Fed Stacked Circular Patch Antenna with Simultaneously Controllable E-Plane and H-Plane Radiation Nulls. IEEE Trans. Antennas Propag. 2023, 71, 6399–6412. [Google Scholar] [CrossRef]
- Chen, D.; Xue, Q.; Yang, W.; Chin, K.-S.; Jin, H.; Che, W. A Compact Wideband Low-Profile Metasurface Antenna Loaded with Patch-Via-Wall Structure. IEEE Antennas Wirel. Propag. Lett. 2023, 22, 179–183. [Google Scholar] [CrossRef]
- Cao, Y.; Cai, Y.; Cao, W.; Xi, B.; Qian, Z.; Wu, T.; Zhu, L. Broadband and High-Gain Microstrip Patch Antenna Loaded with Parasitic Mushroom-Type Structure. IEEE Antennas Wirel. Propag. Lett. 2019, 18, 1405–1409. [Google Scholar] [CrossRef]
- Liu, T.; Feng, Q. Broadband and High-Gain Low-Profile Array Antenna Loaded with Parasitic Patches. IEEE Antennas Wirel. Propag. Lett. 2023, 22, 2595–2599. [Google Scholar] [CrossRef]
- Hasan, M.; Tamura, M. A low-profile and wide-beamwidth microstrip patch antenna using parasitic patch elements. Electron. Lett. 2024, 60, e70046. [Google Scholar] [CrossRef]
- Fang, Z.; Zhang, J.; Gao, L.; Chen, H.; Yang, X.; Liu, J.; Li, W. Absorptive Filtering Packaging Antenna Design Based on Through-Glass Vias. IEEE Trans. Compon. Packag. Manuf. Technol. 2023, 13, 1817–1824. [Google Scholar] [CrossRef]
- Zhao, H.; Wang, Q.; Xu, H.; Yue, W.; Wang, W. Glass-based air-cavity with parylene C/spin-on-glass suspended film process for low loss microstrip antenna. Microsyst. Technol. 2024, 30, 4579–4587. [Google Scholar] [CrossRef]
- Jang, D.; Kong, N.K.; Choo, H. Design of an On-Glass 5G Monopole Antenna for a Vehicle Window Glass. IEEE Access 2021, 9, 152749–152755. [Google Scholar] [CrossRef]
- Mortazavi, S.; Esfahani, A.S.; Hamidian, A.; Malignaggi, A.; Abdullah, H.H.; Boeck, G. Broadband cavity-backed antenna arrays on glass substrate for 60 GHz application. In Proceedings of the 2014 11th European Radar Conference, Rome, Italy, 8–10 October 2014; pp. 329–332. [Google Scholar] [CrossRef]
- Xu, J.; Peng, Z.; Long, Z.; Wang, Z. Design of microstrip patch antenna element and array on quartz glass wafer with suspended cavity based on MEMS technology. Microsyst. Technol. 2023, 29, 835–846. [Google Scholar] [CrossRef]
- İmeci, Ş.T.; Tütüncü, B.; Herceg, L. Performance-enhanced S-shaped slotted patch antenna for X Band/Ku Band applications. Wirel. Pers. Commun. 2023, 129, 1069–1082. [Google Scholar] [CrossRef]
- Therase, L.M.; Thangappan, J. A novel microstrip antenna using circular ring defected ground structure for X band applications. Measurement 2021, 183, 109768. [Google Scholar] [CrossRef]















| Materials | Dielectric Constant (Dk) | Loss Tangent (Df) |
|---|---|---|
| Parylene C | 2.95 | 0.02 |
| SOG | 3.0 | 0.001 |
| Quartz | 3.75 | 0.0002 |
| Air | 1 | 0 |
| Operating Band (GHz) | Area/ Thickness (λ02/λ0) | Peak Gain (dBi) | Materials and Process |
|---|---|---|---|
| 26~30 | 4.67 × 4.67/0.3 | 5 | Glass/Machining [17] |
| 58~62 | ~0.6 × 0.6 × 0.06 | 9.1 | Glass-based Air Cavity [19] |
| 55~65 | ~1.38 × 1.38/0.33 | 8.5 | Glass-based Air Cavity [18] |
| 10 | 0.67 × 0.53/0.027 | 6.3 | RO-4003(C) [20] |
| 9.7 11.4 | 0.32 × 0.32/0.05 | 4.4 3.2 | FR4 [21] |
| 11.1~15.01 | 0.87 × 0.87/0.09 | 8.57 | Quartz-based (Proposed) |
Disclaimer/Publisher’s Note: The statements, opinions and data contained in all publications are solely those of the individual author(s) and contributor(s) and not of MDPI and/or the editor(s). MDPI and/or the editor(s) disclaim responsibility for any injury to people or property resulting from any ideas, methods, instructions or products referred to in the content. |
© 2025 by the authors. Licensee MDPI, Basel, Switzerland. This article is an open access article distributed under the terms and conditions of the Creative Commons Attribution (CC BY) license (https://creativecommons.org/licenses/by/4.0/).
Share and Cite
Zhao, H.; Wang, Q.; Du, J.; Chen, L.; Yue, W.; Wang, W. Micro-Electromechanical System-Based Parasitic Patch Antenna on Quartz Substrate for High Gain. Sensors 2025, 25, 607. https://doi.org/10.3390/s25030607
Zhao H, Wang Q, Du J, Chen L, Yue W, Wang W. Micro-Electromechanical System-Based Parasitic Patch Antenna on Quartz Substrate for High Gain. Sensors. 2025; 25(3):607. https://doi.org/10.3390/s25030607
Chicago/Turabian StyleZhao, Haoran, Qi Wang, Jianyu Du, Lang Chen, Wen Yue, and Wei Wang. 2025. "Micro-Electromechanical System-Based Parasitic Patch Antenna on Quartz Substrate for High Gain" Sensors 25, no. 3: 607. https://doi.org/10.3390/s25030607
APA StyleZhao, H., Wang, Q., Du, J., Chen, L., Yue, W., & Wang, W. (2025). Micro-Electromechanical System-Based Parasitic Patch Antenna on Quartz Substrate for High Gain. Sensors, 25(3), 607. https://doi.org/10.3390/s25030607

