Incentive-Based Telematics and Driver Safety: Insights from a Naturalistic Study of Behavioral Change
Highlights
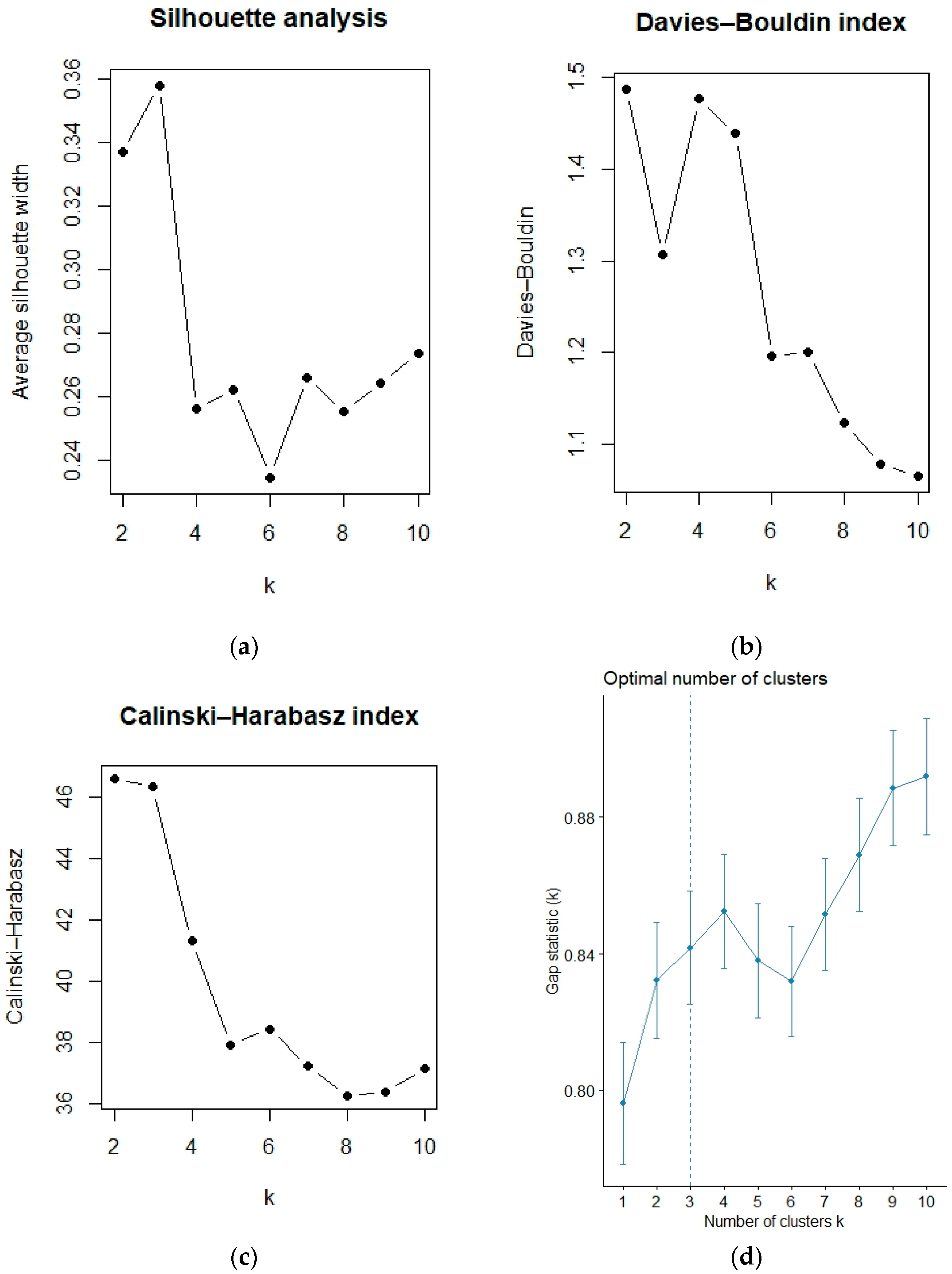
- Three distinct driver profiles were identified through clustering of smartphone-based telematics data: Low-Exposure Cautious, Balanced/Average, and High-Risk Drivers.
- Balanced/Average and High-Risk Drivers showed statistically significant reductions in speeding during incentive-based challenges, confirming the positive impact of gamified feedback schemes.
- Incentive-based telematics interventions can effectively promote safer driving behavior, particularly among moderately risky drivers.
- Driver profiling enables the design of personalized feedback and incentive mechanisms for usage-based insurance and road safety programs.
Abstract
1. Introduction
- The study introduces an integrated framework that combines real-world telematics data, gamification-based incentives, and cluster analysis to investigate driver behavior.
- It moves beyond traditional approaches that examine gamification or telematics in isolation or within simulated environments.
- It applies unsupervised clustering to identify distinct driver profiles, revealing heterogeneous behavioral responses to incentive-based interventions.
- It contributes to the understanding of how personalized and data-driven feedback can enhance engagement, improve safety performance, and support long-term behavioral change.
- The approach provides actionable insights into fleet management, usage-based insurance, and mobility behavior research
2. Materials and Methods
2.1. The DrivingStar Application
- Total distance (mileage)
- Driving duration
- Type(s) of the road network used (given by GPS position and integration with map providers, e.g., Google, OSM)
- Time of the day driving (rush hours, risky hours)
- Weather conditions (under development, on the basis of integration with weather data providers)
- Trip characterization (predicted by sensor data and confirmed or rejected by the user, whether the user was driving or was using other modes of transport)
- Speeding (duration of speeding, speed limit exceedance, etc.)
- Number and severity of harsh events
- Harsh braking (longitudinal acceleration)
- Harsh acceleration (longitudinal acceleration)
- Distraction from mobile phone use (mobile phone use is considered to be any type of phone use by the driver, e.g., talking, texting, etc.)
- Eco Driving Indicator
2.2. Experimental Design
- The digital vouchers used in the first challenge were 2 € incentives redeemable through a Greek food-delivery app.
- The fuel-discount vouchers used in the second challenge were 5 € credits redeemable at participating fuel stations of a major fuel provider in Greece.
2.3. Theoretical Background
2.3.1. K-Means Clustering
2.3.2. Wilcoxon Signed-Rank Test
3. Results
3.1. Data Processing
3.2. Driver Profiling
3.3. Impact of Challenges on Driving Behavior
3.3.1. First Challenge
3.3.2. Second Challenge
4. Discussion
5. Conclusions
Author Contributions
Funding

Institutional Review Board Statement
Informed Consent Statement
Data Availability Statement
Conflicts of Interest
References
- Global Status Report on Road Safety 2023; World Health Organization: Geneva, Switzerland, 2023.
- Singh, S. Critical Reasons for Crashes Investigated in the National Motor Vehicle Crash Causation Survey; Transportation Department, National Highway Traffic Safety: Washington, DC, USA, 2015.
- Singh, H.; Kathuria, A. Analyzing Driver Behavior under Naturalistic Driving Conditions: A Review. Accid. Anal. Prev. 2021, 150, 105908. [Google Scholar] [CrossRef] [PubMed]
- Ahmed, M.M.; Khan, M.N.; Das, A.; Dadvar, S.E. Global Lessons Learned from Naturalistic Driving Studies to Advance Traffic Safety and Operation Research: A Systematic Review. Accid. Anal. Prev. 2022, 167, 106568. [Google Scholar] [CrossRef]
- Vlahogianni, E.I.; Barmpounakis, E.N. Driving Analytics Using Smartphones: Algorithms, Comparisons and Challenges. Transp. Res. Part. C Emerg. Technol. 2017, 79, 196–206. [Google Scholar] [CrossRef]
- Ziakopoulos, A.; Tselentis, D.; Kontaxi, A.; Yannis, G. A Critical Overview of Driver Recording Tools. J. Safety Res. 2020, 72, 203–212. [Google Scholar] [CrossRef]
- Xie, C.; Zhu, T.; Guo, C.; Zhang, Y. Measuring IVIS Impact to Driver by On-Road Test and Simulator Experiment. Procedia Soc. Behav. Sci. 2013, 96, 1566–1577. [Google Scholar] [CrossRef][Green Version]
- Wahlström, J.; Skog, I.; Händel, P. Driving Behavior Analysis for Smartphone-Based Insurance Telematics. In Proceedings of the WPA 2015—Proceedings of the 2nd Workshop on Physical Analytics, Florence, Italy, 22 May 2015; pp. 19–24. [Google Scholar]
- Azmin, M.; Jafari, A.; Rezaei, N.; Bhalla, K.; Bose, D.; Shahraz, S.; Candidate, M.D.; Niloofar, P.; Candidate, S.F.; Hedayati, J.; et al. An Approach towards Reducing Road Traffic Injuries and Improving Public Health through Big Data Telematics: A Randomised Controlled Trial Protocol. Arch. Iran. Med. 2018, 21, 495–501. [Google Scholar] [CrossRef]
- Ghamari, A.; Rezaei, N.; Malekpour, M.R.; Azadnajafabad, S.; Jafari, A.; Ahmadi, N.; Bhalla, K.; Shahraz, S.; Bose, D.; Farzadfar, F. The Effect of Non-Punitive Peer Comparison and Performance Feedback on Drivers’ Behavior Using the Telematics: The First Randomized Trial in Iran. J. Safety Res. 2022, 82, 430–437. [Google Scholar] [CrossRef] [PubMed]
- Tselentis, D.; Kostoulas, G.; Nikolaos, K. Driver Feedback during Naturalistic Driving Experiments: A Review of Types, Methods and Future Challenges. In Proceedings of the 8th Transport Research Arena TRA 2020, Helsinki, Finland, 27–30 April 2020. [Google Scholar]
- Kontaxi, A.; Ziakopoulos, A.; Yannis, G. Trip Characteristics Impact on the Frequency of Harsh Events Recorded via Smartphone Sensors. IATSS Res. 2021, 45, 574–583. [Google Scholar] [CrossRef]
- Ziakopoulos, A.; Kontaxi, A.; Yannis, G. Analysis of Mobile Phone Use Engagement during Naturalistic Driving through Explainable Imbalanced Machine Learning. Accid. Anal. Prev. 2023, 181, 106936. [Google Scholar] [CrossRef] [PubMed]
- Kontaxi, A.; Ziakopoulos, A.; Yannis, G. Exploring the Impact of Driver Feedback on Safety: A Systematic Review of Studies in Real-World Driving Conditions. Transp. Res. Part F Traffic Psychol. Behav. 2025, 114, 118–140. [Google Scholar] [CrossRef]
- Yang, K.; Al Haddad, C.; Yannis, G.; Antoniou, C. Driving Behavior Safety Levels: Classification and Evaluation. In Proceedings of the 2021 7th International Conference on Models and Technologies for Intelligent Transportation Systems, MT-ITS 2021, Online, 16–17 June 2021. [Google Scholar] [CrossRef]
- Bouhsissin, S.; Sael, N.; Benabbou, F. Driver Behavior Classification: A Systematic Literature Review. IEEE Access 2023, 11, 14128–14153. [Google Scholar] [CrossRef]
- Mantouka, E.G.; Barmpounakis, E.N.; Vlahogianni, E.I. Identifying Driving Safety Profiles from Smartphone Data Using Unsupervised Learning. Saf. Sci. 2019, 119, 84–90. [Google Scholar] [CrossRef]
- Chen, S.; Cheng, K.; Yang, J.; Zang, X.; Luo, Q.; Li, J. Driving Behavior Risk Measurement and Cluster Analysis Driven by Vehicle Trajectory Data. Appl. Sci. 2023, 13, 5675. [Google Scholar] [CrossRef]
- Shirmohammadi, H.; Hadadi, F.; Saeedian, M. Clustering Analysis of Drivers Based on Behavioral Characteristics Regarding Road Safety. Int. J. Civ. Eng. 2019, 17, 1327–1340. [Google Scholar] [CrossRef]
- Paefgen, J.; Kehr, F.; Zhai, Y.; Michahelles, F. Driving Behavior Analysis with Smartphones: Insights from a Controlled Field Study. In Proceedings of the 11th International Conference on Mobile and Ubiquitous Multimedia, MUM 2012, Ulm, Germany, 4–6 December 2012. [Google Scholar]
- Zhang, H.; Xu, L.; Cheng, X.; Chen, W.; Zhao, X. Big Data Research on Driving Behavior Model and Auto Insurance Pricing Factors Based on UBI. Lect. Notes Electr. Eng. 2018, 473, 404–411. [Google Scholar] [CrossRef]
- Hartigan, J.A.; Wong, M.A. Algorithm AS 136: A K-Means Clustering Algorithm. Appl. Stat. 1979, 28, 100. [Google Scholar] [CrossRef]
- Kanungo, T.; Mount, D.M.; Netanyahu, N.S.; Piatko, C.D.; Silverman, R.; Wu, A.Y. An Efficient K-Means Clustering Algorithms: Analysis and Implementation. IEEE Trans. Pattern Anal. Mach. Intell. 2002, 24, 881–892. [Google Scholar] [CrossRef]
- Likas, A.; Vlassis, N.; Verbeek, J.J. The Global K-Means Clustering Algorithm. Pattern Recognit. 2003, 36, 451–461. [Google Scholar] [CrossRef]
- Yannis, G.; Papadimitriou, E.; Antoniou, C. Multilevel Modelling for the Regional Effect of Enforcement on Road Accidents. Accid. Anal. Prev. 2007, 39, 818–825. [Google Scholar] [CrossRef] [PubMed]
- Kodinariya, T.M.; Makwana, P.R. Review on Determining Number of Cluster in K-Means Clustering. Int. J. Adv. Res. Comput. Sci. Manag. Stud. 2013, 1, 90–95. [Google Scholar]
- Sullman, M. Using in-Vehicle Data Monitors to Reduce Risky Driving among Sales Representatives. Policy Pract. Health Saf. 2020, 18, 55–64. [Google Scholar] [CrossRef]
- Birrell, S.A.; Fowkes, M.; Jennings, P.A. Effect of Using an In-Vehicle Smart Driving Aid on Real-World Driver Performance. IEEE Trans. Intell. Transp. Syst. 2014, 15, 1801–1810. [Google Scholar] [CrossRef]
- Kontaxi, A.; Konstantina Frantzola, E.; Ziakopoulos, A.; Kostoulas, G.; Yannis, G. Investigation of Speeding and Aggressive Behavior of Professional Drivers on Highways through an Innovative Smartphone Application. In Proceedings of the 10th International Congress on Transportation Research, Rhodes, Greece, 1–3 September 2021. [Google Scholar]
- Ellison, A.B.; Bliemer, M.C.J.; Greaves, S.P. Evaluating Changes in Driver Behaviour: A Risk Profiling Approach. Accid. Anal. Prev. 2015, 75, 298–309. [Google Scholar] [CrossRef] [PubMed]
- Ferreira, S.; Kokkinogenis, Z.; Couto, A. Using Real-Life Alert-Based Data to Analyse Drowsiness and Distraction of Commercial Drivers. Transp. Res. Part F Traffic Psychol. Behav. 2019, 60, 25–36. [Google Scholar] [CrossRef]
- Isotupa, K.P.S.; Kelly, M.; Kleffner, A. Experience-Rating Mechanisms in Auto Insurance: Implications for High-Risk, Low-Risk, and Novice Drivers. N. Am. Actuar. J. 2019, 23, 395–411. [Google Scholar] [CrossRef]
- Yin, J.L.; Chen, B.H. An Advanced Driver Risk Measurement System for Usage-Based Insurance on Big Driving Data. IEEE Trans. Intell. Veh. 2018, 3, 585–594. [Google Scholar] [CrossRef]
- Hsu, C.K.; Lee, T.C.; Io Wong, K. Time Is Money: Effects of Time-Sensitive Incentive on Risky Driving among on-Demand Food-Delivery Motorcyclists in Taiwan. Saf. Sci. 2024, 176, 106549. [Google Scholar] [CrossRef]
- Nguyen-Phuoc, D.Q.; De Gruyter, C.; Nguyen, H.A.; Nguyen, T.; Ngoc Su, D. Risky Behaviours Associated with Traffic Crashes among App-Based Motorcycle Taxi Drivers in Vietnam. Transp. Res. Part F Traffic Psychol. Behav. 2020, 70, 249–259. [Google Scholar] [CrossRef]
- Kirk, D.S.; Cavalli, N.; Brazil, N. The Implications of Ridehailing for Risky Driving and Road Accident Injuries and Fatalities. Soc. Sci. Med. 2020, 250, 112793. [Google Scholar] [CrossRef]
- Islam, M.; Mahmud, A. Unveiling the Speeding Behavior: Assessing the Speeding Risks and Driver Injury Severities in Single-Heavy Truck Crashes. Saf. Sci. 2025, 187, 106861. [Google Scholar] [CrossRef]
- Kujala, T.; Grahn, H.; Mäkelä, J.; Silvennoinen, J.; Tokkonen, T. Effects of Context-Sensitive Distraction Warnings on Drivers’ Smartphone Use and Acceptance: A Long-Term Naturalistic Field Study. Int. J. Hum.-Comput. Stud. 2024, 186, 103247. [Google Scholar] [CrossRef]
- Chen, W.; Donmez, B. A Naturalistic Driving Study of Feedback Timing and Financial Incentives in Promoting Speed Limit Compliance. IEEE Trans. Hum. Mach. Syst. 2021, 52, 64–73. [Google Scholar] [CrossRef]
- Harrison, G.W.; Lau, M.I.; Elisabet Rutström, E. Risk Attitudes, Randomization to Treatment, and Self-Selection into Experiments. J. Econ. Behav. Organ. 2009, 70, 498–507. [Google Scholar] [CrossRef]









| No | Description—Criteria | Start Date | Finish Date | Gift |
|---|---|---|---|---|
| 1 | 10 trips, 50 km, >80/100 speeding | 5 December 2024 | 27 December 2024 | 2 € coupons |
| 2 | 5 trips, 40 km, >75/100 overall score | 30 January 2025 | 10 February 2025 | 5 € coupons |
| Variable | Description |
|---|---|
| Total Trip Duration [s] | Total trip duration [sec] |
| Total Trip Distance [km] | Total trip distance [km] |
| Harsh accelerations [count] | Harsh acceleration events per trip [count] |
| Harsh braking [count] | Harsh braking events per trip [count] |
| Speeding Percentage [%] | Share of time over the speed limit per trip [%] |
| Speeding kmh_avg [km/h] | Average speed above the speed limits [km/h] |
| Mobile Use Percentage [%] | Share of mobile use per trip [%] |
| Harsh braking [count] | Harsh braking events per trip [count] |
| Cluster | Distance Total | Duration Total | Harsh Accel. | Harsh Braking | Speeding Percent. | Speeding kmh_avg | Mobile Use Perc. | No of Drivers |
|---|---|---|---|---|---|---|---|---|
| Low-Exposure Cautious Drivers | 432.41 | 46,955.90 | 0.38 | 0.60 | 2.23 | 2.03 | 3.68 | 42 |
| Balanced/Average Drivers | 1348.73 | 128,847.82 | 0.64 | 1.15 | 4.81 | 3.84 | 2.90 | 30 |
| High-Risk Drivers | 1536.63 | 138,875.29 | 2.65 | 2.33 | 10.37 | 6.30 | 7.24 | 14 |
| Profile | Variable | Mean_Before | Mean_During | p_Value |
|---|---|---|---|---|
| Low-Exposure Cautious Drivers | harsh_acc | 0.42 | 0.39 | 0.12 |
| Balanced/Average Drivers | harsh_acc | 0.61 | 0.58 | 0.18 |
| High-Risk Drivers | harsh_acc | 2.41 | 2.31 | 0.26 |
| Low-Exposure Cautious Drivers | harsh_brk | 0.69 | 0.72 | 0.45 |
| Balanced/Average Drivers | harsh_brk | 1.14 | 1.09 | 0.52 |
| High-Risk Drivers | harsh_brk | 2.07 | 2.01 | 0.39 |
| Low-Exposure Cautious Drivers | speeding_percentage | 2.3 | 2.2 | 0.31 |
| Balanced/Average Drivers | speeding_percentage | 4.6 | 4.4 | 0.04 |
| High-Risk Drivers | speeding_percentage | 10.2 | 9.6 | 0.22 |
| Low-Exposure Cautious Drivers | speeding_kmh_avg | 2.1 | 1.9 | 0.34 |
| Balanced/Average Drivers | speeding_kmh_avg | 3.8 | 3.5 | 0.03 |
| High-Risk Drivers | speeding_kmh_avg | 6.1 | 5.7 | 0.03 |
| Low-Exposure Cautious Drivers | mbu_percentage | 3.4 | 3.7 | 0.17 |
| Balanced/Average Drivers | mbu_percentage | 3 | 3.1 | 0.25 |
| High-Risk Drivers | mbu_percentage | 7.2 | 6.5 | 0.14 |
| Profile | Variable | Mean_Before | Mean_During | p_Value |
|---|---|---|---|---|
| Low-Exposure Cautious Drivers | harsh_acc | 0.36 | 0.42 | 0.31 |
| Balanced/Average Drivers | harsh_acc | 0.66 | 0.70 | 0.38 |
| High-Risk Drivers | harsh_acc | 2.81 | 2.36 | 0.14 |
| Low-Exposure Cautious Drivers | harsh_brk | 0.50 | 0.56 | 0.16 |
| Balanced/Average Drivers | harsh_brk | 1.14 | 1.03 | 0.14 |
| High-Risk Drivers | harsh_brk | 2.33 | 1.94 | 0.35 |
| Low-Exposure Cautious Drivers | speeding_percentage | 2.13 | 2.46 | 0.35 |
| Balanced/Average Drivers | speeding_percentage | 4.80 | 3.67 | 0.01 |
| High-Risk Drivers | speeding_percentage | 10.66 | 8.47 | 0.02 |
| Low-Exposure Cautious Drivers | speeding_kmh_avg | 2.03 | 2.38 | 0.20 |
| Balanced/Average Drivers | speeding_kmh_avg | 3.84 | 3.08 | 0.01 |
| High-Risk Drivers | speeding_kmh_avg | 6.40 | 5.33 | 0.05 |
| Low-Exposure Cautious Drivers | mbu_percentage | 3.89 | 4.18 | 0.07 |
| Balanced/Average Drivers | mbu_percentage | 2.90 | 2.46 | 0.05 |
| High-Risk Drivers | mbu_percentage | 7.25 | 7.74 | 0.76 |
Disclaimer/Publisher’s Note: The statements, opinions and data contained in all publications are solely those of the individual author(s) and contributor(s) and not of MDPI and/or the editor(s). MDPI and/or the editor(s) disclaim responsibility for any injury to people or property resulting from any ideas, methods, instructions or products referred to in the content. |
© 2025 by the authors. Licensee MDPI, Basel, Switzerland. This article is an open access article distributed under the terms and conditions of the Creative Commons Attribution (CC BY) license (https://creativecommons.org/licenses/by/4.0/).
Share and Cite
Kontaxi, A.; Sideris, H.; Oikonomopoulos, D.; Yannis, G. Incentive-Based Telematics and Driver Safety: Insights from a Naturalistic Study of Behavioral Change. Sensors 2025, 25, 7433. https://doi.org/10.3390/s25247433
Kontaxi A, Sideris H, Oikonomopoulos D, Yannis G. Incentive-Based Telematics and Driver Safety: Insights from a Naturalistic Study of Behavioral Change. Sensors. 2025; 25(24):7433. https://doi.org/10.3390/s25247433
Chicago/Turabian StyleKontaxi, Armira, Haris Sideris, Dimitris Oikonomopoulos, and George Yannis. 2025. "Incentive-Based Telematics and Driver Safety: Insights from a Naturalistic Study of Behavioral Change" Sensors 25, no. 24: 7433. https://doi.org/10.3390/s25247433
APA StyleKontaxi, A., Sideris, H., Oikonomopoulos, D., & Yannis, G. (2025). Incentive-Based Telematics and Driver Safety: Insights from a Naturalistic Study of Behavioral Change. Sensors, 25(24), 7433. https://doi.org/10.3390/s25247433

