New, Optimized Skin Calorimeter Version for Measuring Thermal Responses of Localized Skin Areas during Physical Activity
Abstract
1. Introduction
2. Materials and Methods
2.1. Skin Calorimeter
2.2. Calorimetric Model
2.3. Calibration
3. Results and Discussion
3.1. Experimental Performance Evaluation: Disturbances Caused by Air Currents
3.2. Experimental Performance Evaluation: Disturbances Caused by Calorimeter Movements
3.3. Experimental Measurements on Human Body At Rest
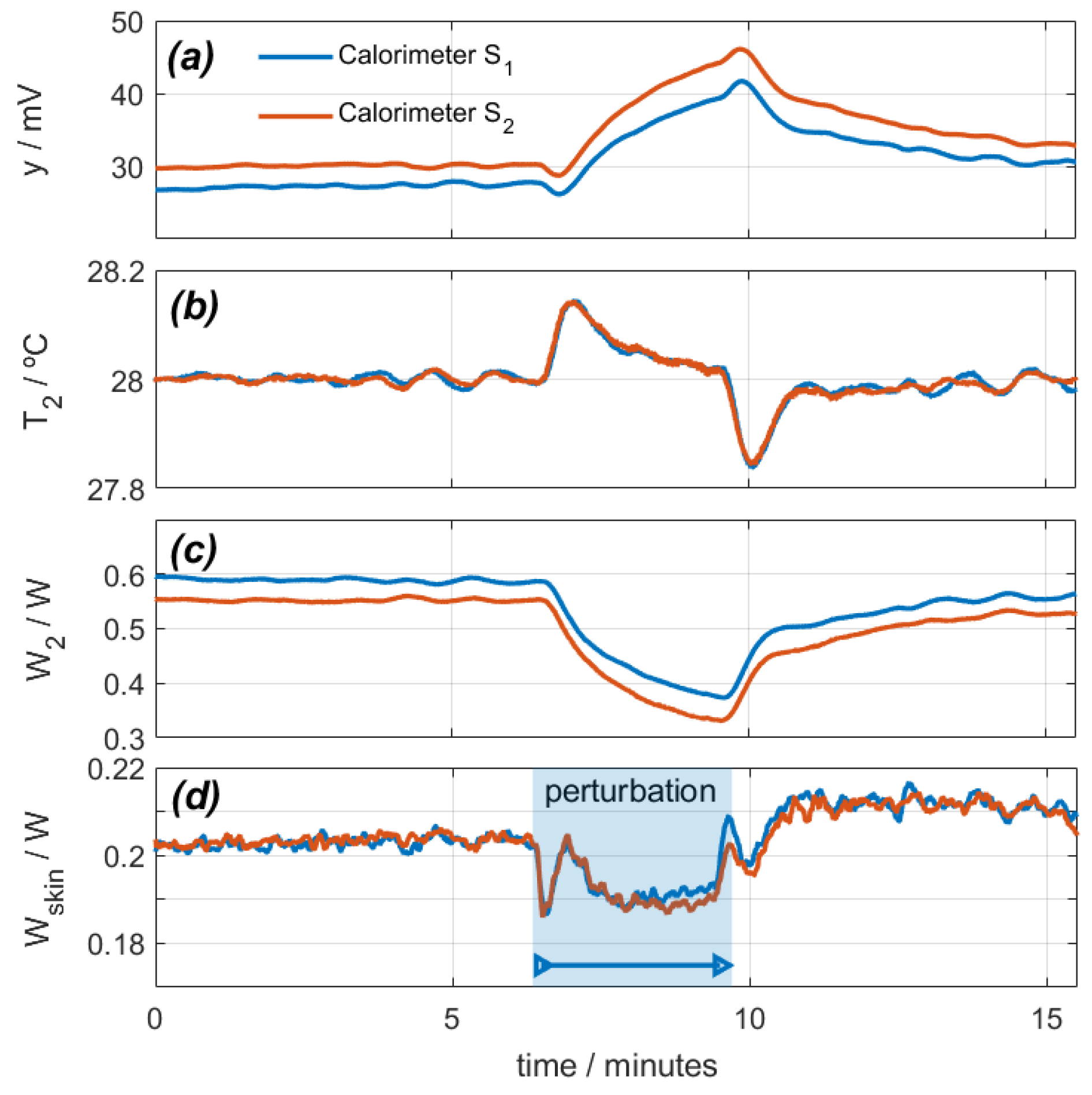
- Heat flux can be determined by direct deconvolution by performing an inverse filtering of the first system equation of the calorimetric model (Equation (1)). This result is shown by the blue signal in Figure 7d. For this, mean values of Cskin and Rskin, shown in Figure 7b,c, were used. However, a simple model can represent skin heat flux, as given by Equation (3), which reproduces the inverse form of the thermostat temperature (red signal in Figure 7d). This method is valid only for rest measurements. For exercise measurements, we used direct deconvolution.
- When the calorimeter is applied on the skin, the room temperature around the sensor increases. This rise in room temperature (∆Troom) must be determined. This can be easily done using the second system equation of the calorimetric model (Equation (1)).
3.4. Experimental Measurements on Human Body During Exercise
4. Discussion
5. Conclusions
Author Contributions
Funding
Institutional Review Board Statement
Informed Consent Statement
Data Availability Statement
Conflicts of Interest
References
- Cohen, M.L. Measurement of the thermal properties of human skin. J. Investig. Dermatol. 1977, 69, 333–338. [Google Scholar] [CrossRef]
- Cramer, M.N.; Jay, O. Biophysical aspects of human thermoregulation during heat stress. Auton. Neurosci. 2016, 196, 3–13. [Google Scholar] [CrossRef]
- Cain, J.B.; Livingstone, S.D.; Nolan, R.W.; Keefe, A.A. Respiratory heat loss during work at various ambient temperatures. Respir. Physiol. 1997, 79, 145–150. [Google Scholar] [CrossRef] [PubMed]
- Keijzer, A.; Woerlee, M.; Kluver, B.D.; Buist, M. Direct measurement of sensible heat transfer between man and his environment. J. Appl. Physiol. 1972, 33, 677–680. [Google Scholar] [CrossRef]
- Anttonen, H.; Puhakka, K.; Niskanen, J.; Ryhanen, P. Cutaneous heat loss in children during anaesthesia. Br. J. Anaesth. 1995, 74, 306–310. [Google Scholar] [CrossRef] [PubMed]
- House, J.R.; Tipton, M.J. Using skin temperature gradients or heat flux measurements to determine thresholds of vasoconstriction and vasodilatation. Eur. J. Appl. Physiol. 2002, 88, 141–145. [Google Scholar] [CrossRef] [PubMed]
- Ostrowski, Z. Modelling and validation of transient heat transfer processes in human skin undergoing local cooling. Przegląd Elektrotechniczny 2015, 1, 78–81. [Google Scholar] [CrossRef]
- Xu, X.; Karis, A.J.; Buller, M.J.; Santee, W.R. Relationship between core temperature, skin temperature, and heat flux during exercise in heat. Eur. J. Appl. Physiol. 2013, 113, 2381–2389. [Google Scholar] [CrossRef]
- Eggenberger, P.; MacRae, B.A.; Kemp, S.; Bürgisser, M.; Rossi, R.M.; Annaheim, S. Prediction of core body temperature based on skin temperature, heat flux, and heart rate under different exercise and clothing conditions in the heat. Front. Physiol. 2018, 10, 1780. [Google Scholar] [CrossRef]
- Wang, L.; Chong, D.; Yi, H. A revised method to predict skin’s thermal resistance. Therm. Sci. 2018, 22, 1795–1802. [Google Scholar] [CrossRef]
- Rodríguez de Rivera, P.J.; Rodríguez de Rivera, M.; Socorro, F.; Rodríguez de Rivera, M. Heat flow measurement of human skin using a calorimetric sensor with a programmable thermostat: An alternative to climate chambers. Measurement 2022, 201, 111693. [Google Scholar] [CrossRef]
- Delsoglio, M.; Achamrah, N.; Berger, M.M.; Pichard, C. Indirect Calorimetry in Clinical Practice. J. Clin. Med. 2019, 8, 1387. [Google Scholar] [CrossRef]
- Madhusudan, B.; Kulkarni, Y.; Renu, V. A role of integrated microheaters in a microfluidics based point-of-care-testing and beyond for healthcare applications. Appl. Mater. Today 2024, 38, 102225. [Google Scholar] [CrossRef]
- Grenier, E.; Gehin, C.; Mcadams, E.; Lun, B.; Gobin, J.P.; Uhl, J.F. Effect of compression stockings on cutaneous microcirculation: Evaluation based on measurements of the skin thermal conductivity. Phlebology 2016, 31, 101–105. [Google Scholar] [CrossRef]
- Van de Staak, W.J.B.M.; Brakkee, A.J.M.; de Rijke-Herweijer, H.E. Measurements of the thermal conductivity of the skin as an indication of skin blood flow. J. Invest. Dermatol. 1968, 51, 149–154. [Google Scholar] [CrossRef] [PubMed][Green Version]
- Webb, R.C.; Pielak, R.M.; Bastien, P.; Ayers, J.; Niittynen, J.; Kurniawan, J.; Manco, M.; Lin, A.; Cho, N.H.; Malyrchuk, V.; et al. Thermal transport characteristics of human skin measured in vivo using ultrathin conformal arrays of thermal sensors and actuators. PLoS ONE 2015, 10, e0118131. [Google Scholar] [CrossRef]
- Tian, L.; Li, Y.; Webb, R.C.; Krishnan, S.; Bian, Z.; Song, J.; Ning, X.; Crawford, K.; Kurniawan, J.; Bonifas, A.; et al. Flexible and stretchable 3ω sensors for thermal characterization of human skin. Adv. Funct. Mater. 2017, 27, 1701282. [Google Scholar] [CrossRef]
- Okabe, T.; Fujimura, T.; Okajima, J.; Aiba, S.; Maruyama, S. Noninvasive measurement of effective thermal conductivity of human skin with a guard-heated thermistor probe. Int. J. Heat Mass Transf. 2018, 126, 625–635. [Google Scholar] [CrossRef]
- Okabe, T.; Fujimura, T.; Okajima, J.; Kambayashi, Y.; Aiba, S.; Maruyama, S. First-in-human clinical study of a novel technique to diagnose malignant melanoma via thermal conductivity measurements. Sci. Rep. 2018, 9, 3853. [Google Scholar] [CrossRef]
- Rodríguez de Rivera, P.J.; Rodríguez de Rivera, M.; Socorro, F.; Calbet, J.A.; Rodríguez de Rivera, M. Advantages of in vivo measurement of human skin thermal conductance using a calorimetric sensor. J. Therm. Anal. Calorim. 2022, 147, 10027–10036. [Google Scholar] [CrossRef]
- Kerstin, G.; Olaf, M.; Ingolf, L.; Müller, G. Review of thermal properties of biological tissues. SPIE-Int. Soc. Opt. Engineering. 1995, 25, 45–65. [Google Scholar]
- Wang, H.; Sen, M. Analysis of the 3-omega method for thermal conductivity measurement. Int. J. Heat Mass Transf. 2009, 52, 2102–2109. [Google Scholar] [CrossRef]
- Webb, R.C.; Bonifas, A.P.; Behnaz, A.; Zhang, Y.; Yu, K.J.; Cheng, H.; Shi, M.; Bian, Z.; Liu, Z.; Kim, Y.-S.; et al. Ultrathin conformal devices for precise and continuous thermal characterization of human skin. Nat. Mater. 2013, 12, 938–944. [Google Scholar] [CrossRef] [PubMed]
- Gao, L.; Zhang, Y.; Malyarchuk, V.; Jia, L.; Jang, K.I.; Webb, R.C.; Fu, H.; Shi, Y.; Zhou, G.; Shi, L.; et al. Epidermal photonic devices for quantitative imaging of temperature and thermal transport characteristics of the skin. Nat. Commun. 2014, 5, 4938. [Google Scholar] [CrossRef]
- Rodríguez de Rivera, P.J.; Rodríguez de Rivera, M.; Socorro, F.; Rodriguez de Rivera, M. In vivo measurement of skin heat capacity: Advantages of the scanning calorimetric sensor. J. Therm. Anal. Calorim. 2022, 147, 12155–12163. [Google Scholar] [CrossRef]
- Rodríguez de Rivera, P.J.; Rodríguez de Rivera, M.; Socorro, F.; Rodríguez de Rivera, M. Heat flow, heat capacity, and thermal resistance of localized surfaces of the human body using a new calorimetric sensor. J. Therm. Anal. Calorim. 2022, 147, 7385–7398. [Google Scholar] [CrossRef]
- Bracken, D.S.; Biddle, R.S.; Carrillo, L.A.; Hypes, P.A.; Rudy, C.R.; Schneider, C.M.; Smith, M.K. Application Guide to Safeguards Calorimetry. Los Alamos National Laboratory Manual LAUR-02-1764; 2002. Available online: https://www.researchgate.net/publication/242170728_Application_Guide_to_Safeguards_Calorimetry (accessed on 1 August 2024).
- Rodríguez de Rivera, P.J.; Rodríguez de Rivera, M.; Socorro, F.; Rodríguez de Rivera, M. Validation of a Skin Calorimeter to Determine the Heat Capacity and the Thermal Resistance of the Skin. Sensors 2023, 23, 4391. [Google Scholar] [CrossRef]
- Trangmar, S.J.; Chiesa, S.T.; Kalsi, K.K.; Niels, H.S.; José, G.A. Whole body hyperthermia but not skin hyperthermia accelerates brain and locomotor limb circulatory strain and impairs exercise capacity in humans. Physiol. Rep. 2017, 5, e13108. [Google Scholar] [CrossRef]
- Heat Flux Sensors by Omega, Thin Film Sensors. Available online: https://sea.omega.com/th/pptst/HFS-3_HFS-4.html#description (accessed on 4 September 2024).
- Heat Flux Sensors by Omega, Thin Film Sensors. Available online: https://es.omega.com/pptst/UHF-HFS-SERIES.html#description (accessed on 4 September 2024).
- Heat Flux Sensors by Hukseflux. Available online: https://www.hukseflux.com/products/heat-flux-sensors/heat-flux-sensors (accessed on 4 September 2024).









| Parameter | Calorimeter S1 | Calorimeter S2 |
|---|---|---|
| C1(1) | 4.496 ± 0.032 J/K | 4.042 ± 0.070 J/K |
| C2 | 3.456 ± 0.008 J/K | 3.046 ± 0.032 J/K |
| P1(1) | 0.03566 ± 0.00062 W/K | 0.03187 ± 0.00055 W/K |
| P2 | 0.06669 ± 0.00028 W/K | 0.05641 ± 0.00023 W/K |
| P12 | 0.07111 ± 0.00360 W/K | 0.06126 ± 0.00035 W/K |
| k | 18.13 ± 0.62 mV/K | 17.45 ± 0.68 mV/K |
| α | −80.79 ± 0.71 K/A | −84.55 ± 0.89 K/A |
| β | 11.86 ± 0.29 K/A | 18.63 ± 0.85 K/A |
| Heat Flux | Sensing Area | Thickness | Sensitivity | Thermal Resistance | ||
|---|---|---|---|---|---|---|
| Sensor | cm2 | mm | μV/(Wm−2) | mVW−1 | K/(Wm−2) | K/W |
| Film HFS-4 [30] | 10.0 | 0.18 | 2.1 | 2.1 | 18 × 10−4 | 1.8 |
| Film HFS-5 [31] | 6.3 | 0.36 | 1.4 | 2.2 | 9 × 10−4 | 1.4 |
| Film FHF05 [32] | 1.0 | 0.40 | 1.0 | 10.0 | 11 × 10−4 | 11.0 |
| Film FHF05 [32] | 4.5 | 0.40 | 3.0 | 6.6 | 11 × 10−4 | 2.4 |
| Plate HFP01 [32] | 8.0 | 5.40 | 60.0 | 75.0 | 71 × 10−4 | 8.9 |
| Skin cal. 1 [28] | 4.0 | 2.20 | 58.4 | 146.0 | 36 × 10−4 | 9.0 |
| Skin cal. 1,2 | 4.0 | 2.20 | 72.0 | 180.0 | 60 × 10−4 | 15.0 |
Disclaimer/Publisher’s Note: The statements, opinions and data contained in all publications are solely those of the individual author(s) and contributor(s) and not of MDPI and/or the editor(s). MDPI and/or the editor(s) disclaim responsibility for any injury to people or property resulting from any ideas, methods, instructions or products referred to in the content. |
© 2024 by the authors. Licensee MDPI, Basel, Switzerland. This article is an open access article distributed under the terms and conditions of the Creative Commons Attribution (CC BY) license (https://creativecommons.org/licenses/by/4.0/).
Share and Cite
Rodríguez de Rivera, M.; Rodríguez de Rivera, P.J. New, Optimized Skin Calorimeter Version for Measuring Thermal Responses of Localized Skin Areas during Physical Activity. Sensors 2024, 24, 5927. https://doi.org/10.3390/s24185927
Rodríguez de Rivera M, Rodríguez de Rivera PJ. New, Optimized Skin Calorimeter Version for Measuring Thermal Responses of Localized Skin Areas during Physical Activity. Sensors. 2024; 24(18):5927. https://doi.org/10.3390/s24185927
Chicago/Turabian StyleRodríguez de Rivera, Miriam, and Pedro Jesús Rodríguez de Rivera. 2024. "New, Optimized Skin Calorimeter Version for Measuring Thermal Responses of Localized Skin Areas during Physical Activity" Sensors 24, no. 18: 5927. https://doi.org/10.3390/s24185927
APA StyleRodríguez de Rivera, M., & Rodríguez de Rivera, P. J. (2024). New, Optimized Skin Calorimeter Version for Measuring Thermal Responses of Localized Skin Areas during Physical Activity. Sensors, 24(18), 5927. https://doi.org/10.3390/s24185927

