Standard-Deviation-Based Adaptive Median Filter for Elimination of Batwing Effects in Step Microstructure Measurement Using Digital Holography
Abstract
1. Introduction
2. SAMF for Batwing Elimination
2.1. Digital Holography for Microstructure Measurement
2.2. Sources of Batwing
2.3. Principle of SAMF
| Algorithm 1 Suppression of the batwing effect in microstructure measurement |
|
3. Experimental Studies and Analysis
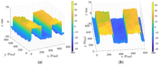
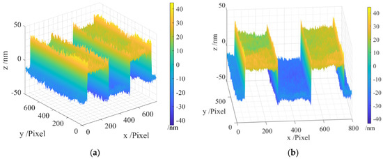
3.1. Experiment 1: Measuring the Standard Resolution Target USAF 1951
3.2. Experiment 2: Measurement of the NIM Standard Artifact
4. Conclusions
Author Contributions
Funding
Institutional Review Board Statement
Informed Consent Statement
Data Availability Statement
Conflicts of Interest
References
- Jin, J.; Kim, J.W.; Kang, C.-S.; Kim, J.-A.; Lee, S. Precision Depth Measurement of through Silicon Vias (TSVs) on 3D Semiconductor Packaging Process. Opt. Express 2012, 20, 5011. [Google Scholar] [CrossRef] [PubMed]
- Zhang, W.; Xu, J.; Wang, S.; Zhou, Y.; Mi, J. Metrology Challenges in 3D NAND Flash Technical Development and Manufacturing. J. Microelectron. Manuf. 2019, 3, 1–8. [Google Scholar] [CrossRef]
- Kim, K.J.; Kim, T.G.; Kwon, J.-H.; Ruh, H.; Park, K.; Min, W.J. Traceable Thickness Measurement of Ultra-Thin HfO2 Films by Medium-Energy Ion Scattering Spectroscopy. Metrologia 2020, 57, 025001. [Google Scholar] [CrossRef]
- Häusler, G.; Willomitzer, F. Reflections about the Holographic and Non-Holographic Acquisition of Surface Topography: Where Are the Limits? Light Adv. Manuf. 2022, 3, 226–235. [Google Scholar] [CrossRef]
- Zheng, C.; Jin, D.; He, Y.; Lin, H.; Hu, J.; Yaqoob, Z.; So, P.T.C.; Zhou, R. High Spatial and Temporal Resolution Synthetic Aperture Phase Microscopy. Adv. Photon. 2020, 2, 065002. [Google Scholar] [CrossRef] [PubMed]
- Wang, C.; Wang, W.; Wei, J.; Wu, J.; Zhang, X.; Zheng, H.; Wang, F.; Yu, Y. Phase-Based Reconstruction Optimization Method for Digital Holographic Measurement of Microstructures. Appl. Opt. 2023, 62, 4530. [Google Scholar] [CrossRef] [PubMed]
- de Groot, P.J. A Review of Selected Topics in Interferometric Optical Metrology. Rep. Prog. Phys. 2019, 82, 056101. [Google Scholar] [CrossRef] [PubMed]
- Liżewski, K.; Kozacki, T.; Kostencka, J. Digital Holographic Microscope for Measurement of High Gradient Deep Topography Object Based on Superresolution Concept. Opt. Lett. 2013, 38, 1878. [Google Scholar] [CrossRef] [PubMed]
- Kim, H.-W.; Cho, M.; Lee, M.-C. Image Processing Techniques for Improving Quality of 3D Profile in Digital Holographic Microscopy Using Deep Learning Algorithm. Sensors 2024, 24, 1950. [Google Scholar] [CrossRef] [PubMed]
- Ma, X.; Xiong, R.; Wang, W.; Zhang, X. Flexible Measurement of High-Slope Micro-Nano Structures with Tilted Wave Digital Holographic Microscopy. Sensors 2023, 23, 9526. [Google Scholar] [CrossRef] [PubMed]
- Zhang, J.; Yuan, Q.; Fan, X.; Chen, L.; Lei, L.; Fu, Y.; Xu, Z.; Ma, J.; Gao, Z. Quantitative Evaluation of the Batwing Effect on Depth Measurement in Coherence Scanning Interferometry for Rectangular Gratings. Photonics 2024, 11, 341. [Google Scholar] [CrossRef]
- Li, Y.; Yang, Y.; Liang, Y. Batwing Elimination Algorithm Based on the Haar Wavelet in White-Light Interferometry. Appl. Opt. 2024, 63, 611. [Google Scholar] [CrossRef] [PubMed]
- Xie, W.; Lehmann, P.; Niehues, J.; Tereschenko, S. Signal Modeling in Low Coherence Interference Microscopy on Example of Rectangular Grating. Opt. Express 2016, 24, 14283. [Google Scholar] [CrossRef] [PubMed]
- Xie, W.; Lehmann, P.; Niehues, J. Lateral Resolution and Transfer Characteristics of Vertical Scanning White-Light Interferometers. Appl. Opt. 2012, 51, 1795. [Google Scholar] [CrossRef] [PubMed]
- Lehmann, P.; Tereschenko, S.; Xie, W. Fundamental Aspects of Resolution and Precision in Vertical Scanning White-Light Interferometry. Surf. Topogr. Metrol. Prop. 2016, 4, 024004. [Google Scholar] [CrossRef]
- Sun, Y.; Gao, Z.; Ma, J.; Zhou, J.; Xie, P.; Wang, L.; Lei, L.; Fu, Y.; Guo, Z.; Yuan, Q. Surface Topography Measurement of Microstructures near the Lateral Resolution Limit via Coherence Scanning Interferometry. Opt. Laser Eng. 2022, 152, 106949. [Google Scholar] [CrossRef]
- Huang, H.; Yuan, E.; Zhang, D.; Sun, D.; Yang, M.; Zheng, Z.; Zhang, Z.; Gao, L.; Panezai, S.; Qiu, K. Free Field of View Infrared Digital Holography for Mineral Crystallization. Cryst. Growth Des. 2023, 23, 7992–8008. [Google Scholar] [CrossRef]
- Wang, C.; Yu, Y.; Zhang, X.; D’Amato, R.; Gomez, E. Effects of Mathematical Models and Algorithms on Quantitative Characterization of Areal Step Height with Optical and Stylus Profilometers. Precis. Eng. 2021, 72, 777–788. [Google Scholar] [CrossRef]
- Wang, C.; Meng, X.; Krolczyk, G.; Wei, H. A Cluster-Based Method for Quantitative Characterization and Uncertainty Evaluation of Areal Step Height in Structured Surface Metrology. IEEE Trans. Instrum. Meas. 2022, 71, 1–9. [Google Scholar] [CrossRef]











Disclaimer/Publisher’s Note: The statements, opinions and data contained in all publications are solely those of the individual author(s) and contributor(s) and not of MDPI and/or the editor(s). MDPI and/or the editor(s) disclaim responsibility for any injury to people or property resulting from any ideas, methods, instructions or products referred to in the content. |
© 2024 by the authors. Licensee MDPI, Basel, Switzerland. This article is an open access article distributed under the terms and conditions of the Creative Commons Attribution (CC BY) license (https://creativecommons.org/licenses/by/4.0/).
Share and Cite
Wei, J.; Wu, J.; Wang, C. Standard-Deviation-Based Adaptive Median Filter for Elimination of Batwing Effects in Step Microstructure Measurement Using Digital Holography. Sensors 2024, 24, 5928. https://doi.org/10.3390/s24185928
Wei J, Wu J, Wang C. Standard-Deviation-Based Adaptive Median Filter for Elimination of Batwing Effects in Step Microstructure Measurement Using Digital Holography. Sensors. 2024; 24(18):5928. https://doi.org/10.3390/s24185928
Chicago/Turabian StyleWei, Jiasi, Junjie Wu, and Chen Wang. 2024. "Standard-Deviation-Based Adaptive Median Filter for Elimination of Batwing Effects in Step Microstructure Measurement Using Digital Holography" Sensors 24, no. 18: 5928. https://doi.org/10.3390/s24185928
APA StyleWei, J., Wu, J., & Wang, C. (2024). Standard-Deviation-Based Adaptive Median Filter for Elimination of Batwing Effects in Step Microstructure Measurement Using Digital Holography. Sensors, 24(18), 5928. https://doi.org/10.3390/s24185928

