Electronic Beam Steering Metamaterial Antenna with Dual-Tuned Mode of Liquid Crystal Material
Abstract
1. Introduction
2. Dual-Tuned Mode of Liquid Crystal Material
3. Design, Simulation and Analysis of Dual-Tuned CRLH Metamaterial Antenna Based on LC
3.1. Design of CRLH Unit Cell
3.2. Theoretical Analysis of CRLH Structure with Dual-Tuned Mode
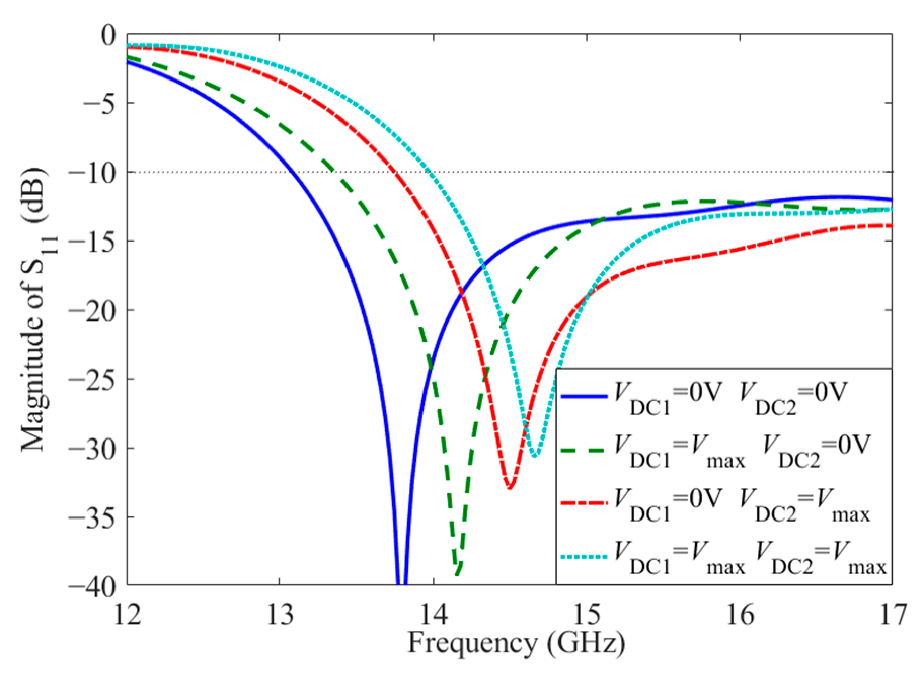
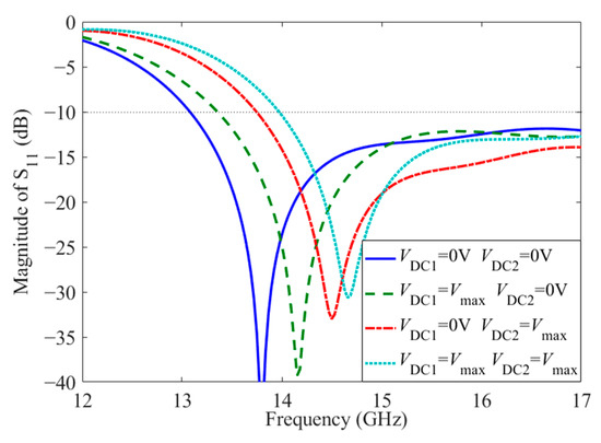
3.3. Simulation of CRLH Metamaterial Antenna Based on LC
4. Conclusions
Author Contributions
Funding
Institutional Review Board Statement
Informed Consent Statement
Data Availability Statement
Conflicts of Interest
References
- Singh, P.; Thapa, K.B.; Kumar, N.; Kumar, D. Tunable transmission of a nematic liquid crystal as defect in a 1D periodic structure of dielectric materials by orientation and re-orientation of liquid crystal molecules. Eur. Phys. J. E 2018, 41, 100. [Google Scholar] [CrossRef]
- Che, B.J.; Meng, F.Y.; Lyu, Y.L.; Zhao, Y.Q.; Wu, Q. Reconfigurable holographic antenna with low sidelobe level based on liquid crystals. J. Phys. D Appl. Phys. 2020, 53, 315302. [Google Scholar] [CrossRef]
- Fu, J.H.; Raheem, O.H. A novel IMSL tunable phase shifter for HMSIW-METAMATERIAL ANTENNA-fed rectangular patches based on nematic liquid crystal. Appl. Phys. A 2017, 123, 493. [Google Scholar] [CrossRef]
- Perez-Palomino, G.; Barba, M.; Encinar, J.A.; Cahill, R.; Dickie, R.; Baine, P.; Bain, M. Design and demonstration of an electronically scanned reflectarray antenna at 100 GHz using multi-resonant cells based on liquid crystals. IEEE Trans. Antenna Propag. 2015, 63, 3722–3727. [Google Scholar] [CrossRef]
- Zhao, Y.; Huang, C.; Qing, A.Y.; Luo, X. A frequency and pattern reconfigurable antenna array based on liquid crystal technology. IEEE Photonics J. 2017, 9, 4600307. [Google Scholar] [CrossRef]
- Shu, J.; Peng, H.L.; Zhang, Y.P.; Mao, J.F. A Dual Polarized Pattern Reconfigurable Antenna Array Using Liquid Crystal Phase Shifter. In Proceedings of the 2018 International Symposium on Antennas and Propagation (ISAP), Busan, Republic of Korea, 23–26 October 2018; pp. 1–2. [Google Scholar]
- Gomez-Diaz, J.S.; Alvarez-Melcon, A.; Gupta, S.; Caloz, C. Spatio-temporal Talbot phenomenon using metamaterial composite right/left-handed leaky-wave antennas. J. Appl. Phys. 2008, 104, 104901. [Google Scholar] [CrossRef]
- Yang, J.; Cai, C.; Yin, Z.; Xia, T.; Jing, S.; Lu, H.; Deng, G. Reflective liquid crystal terahertz phase shifter with tuning range of over 360. IET Microw. Antennas Propag. 2018, 12, 1466–1469. [Google Scholar] [CrossRef]
- Fu, J.; Chen, W.; Zhou, C.; Zhu, L.; Wu, Q. Circular polarized electronically-controlled antenna array based on CRLH-TL. Appl. Phys. A 2014, 116, 327–332. [Google Scholar] [CrossRef]
- Ung, B.S.; Liu, X.; Parrott, E.P.; Srivastava, A.K.; Park, H.; Chigrinov, V.G.; Pickwell-MacPherson, E. Towards a Rapid Terahertz Liquid Crystal Phase Shifter: Terahertz In-Plane and Terahertz Out-Plane (TIP-TOP) Switching. IEEE Trans. Terahertz Sci. Technol. 2018, 8, 209–214. [Google Scholar] [CrossRef]
- Xu, G.; Peng, H.; Sun, C.; Lu, J.; Zhang, Y.; Yin, W.Y. Differential Probe Fed Liquid Crystal-Based Frequency Tunable Circular Ring Patch Antenna. IEEE Access 2017, 6, 3051–3058. [Google Scholar] [CrossRef]
- Zhang, H.; Jiao, Y.; Zhao, G.; Zhang, C. CRLH-SIW-based leaky wave antenna with low cross-polarisation for Ku-band applications. Electron. Lett. 2016, 52, 1426–1428. [Google Scholar] [CrossRef]
- Dakhli, N.; Choubani, F.; David, J. Multiband small zeroth-order metamaterial antenna. Appl. Phys. A 2011, 103, 525–527. [Google Scholar] [CrossRef]
- Kushiyama, Y.; Arima, T.; Uno, T. Differential-Type CRLH Leaky-Wave Antenna Using Stepped Impedance Resonators. IEEE Antennas Wirel. Propag. Lett. 2016, 15, 321–324. [Google Scholar] [CrossRef]
- Wu, G.; Wang, G.; Liang, J.; Gao, X.J. Dual-band periodic beam scanning antenna using eighth mode substrate integrated waveguide based metamaterial transmission line. J. Phys. D Appl. Phys. 2017, 50, 185104. [Google Scholar] [CrossRef]
- Xu, H.X.; Wang, G.M.; Qi, M.Q. A leaky-wave antenna using double-layered metamaterial transmission line. Appl. Phys. A 2013, 111, 549–555. [Google Scholar] [CrossRef]
- Erni, D.; Rennings, A.; Svejda, J.T.; Sievert, B.; Chen, Z.; Liebig, T.; Froehlich, J. Multi-functional RF coils for ultra-high field MRI based on 1D/2D electromagnetic metamaterials. J. Phys. Conf. Ser. 2018, 1092, 012031. [Google Scholar] [CrossRef]
- Chu, D.A.; Hon, P.W.C.; Itoh, T.; Williams, B.S. Feasibility of graphene CRLH metamaterial waveguides and leaky wave antennas. J. Appl. Phys. 2016, 120, 013103. [Google Scholar] [CrossRef]
- Thior, A.; Lepage, A.C.; Begaud, X.; Maas, O. Analytical approach for CRLH-based antennas design. Appl. Phys. A 2012, 109, 1095–1101. [Google Scholar] [CrossRef]
- Caloz, C.; Nguyen, H.V. Novel broadband conventional-and dual-composite right/left-handed (C/D-CRLH) metamaterials: Properties, implementation and double-band coupler application. Appl. Phys. A 2007, 87, 309–316. [Google Scholar] [CrossRef]
- Tripathi, A.; Nafis, A.; Omer, S.; Agarwal, R. Substrate Integrated Waveguide based Leaky Wave Antenna. J. Phys. Conf. Ser. 2021, 1921, 012052. [Google Scholar]
- Iliyasu, A.Y.; Hamid, M.R.; Rahim, M.K.A.; Yusoff, M.F.; Aminu-Baba, M.; Gajibo, M.M. Wideband frequency reconfigurable metamaterial antenna design with double H slots. Bull. Electr. Eng. Inform. 2020, 9, 1971–1978. [Google Scholar] [CrossRef]
- Zhao, Q.; Guclu, C.; Huang, Y.; Capolino, F.; Boyraz, O. Experimental Demonstration of Directive Si3N4 Optical Leaky Wave Antennas With Semiconductor Perturbations. J. Light. Technol. 2016, 34, 4864–4871. [Google Scholar] [CrossRef]
- Shirkolaei, M.M.; Ghalibafan, J. Scannable leaky-wave antenna based on ferrite-blade waveguide operated below the cutoff frequency. IEEE Trans. Magn. 2021, 57, 2800510. [Google Scholar]
- Tikhonov, V.V.; Litvinenko, A.N. Resonance mechanism of exchange spin-wave excitation in a two-layer ferrite-ferrite structure. Bull. Russ. Acad. Sci. Phys. 2014, 78, 123–127. [Google Scholar] [CrossRef]
- Maria, J.P.; Boyette, B.A.; Kingon, A.I.; Ragaglia, C.; Stauf, G. Low loss tungsten-based electrode technology for microwave frequency BST varactors. J. Electroceramics 2005, 14, 75–81. [Google Scholar] [CrossRef]
- Kim, T.; Klapfenberger, R.; Vietzorreck, L. Tunable leaky-wave antennas with RF MEMS. In Proceedings of the 2016 URSI International Symposium on Electromagnetic Theory (EMTS), Espoo, Finland, 14–18 August 2016; pp. 748–750. [Google Scholar]
- Fuscaldo, W.; Tofani, S.; Zografopoulos, D.C.; Baccarelli, P.; Burghignoli, P.; Beccherelli, R.; Galli, A. Tunable Fabry–Perot Cavity THz Antenna Based on Leaky-Wave Propagation in Nematic Liquid Crystals. IEEE Antennas Wirel. Propag. Lett. 2017, 16, 2046–2049. [Google Scholar] [CrossRef]
- Roig, M.; Maasch, M.; Damm, C.; Jakoby, R. Dynamic beam steering properties of an electrically tuned liquid crystal based CRLH leaky wave antenna. In Proceedings of the 2014 8th International Congress on Advanced Electromagnetic Materials in Microwaves and Optics, Copenhagen, Denmark, 25–28 August 2014; pp. 253–255. [Google Scholar]
- Che, B.J.; Meng, F.Y.; Lyu, Y.L.; Wu, Q. Reconfigurable dual-band metamaterial antenna based on liquid crystals. J. Phys. D Appl. Phys. 2018, 51, 185102. [Google Scholar] [CrossRef]
- Ma, S.; Wang, P.Y.; Meng, F.Y.; Fu, J.H.; Wu, Q. Electronically controlled beam steering leaky wave antenna in nematic liquid crystal technology. Int. J. RF Microw. Comput.-Aided Eng. 2020, 30, e22188. [Google Scholar] [CrossRef]
- Kim, J.; Oh, J. Liquid-Crystal-Embedded Aperture-Coupled Microstrip Antenna for 5G Applications. IEEE Antennas Wirel. Propag. Lett. 2020, 19, 1958–1962. [Google Scholar] [CrossRef]
- Srilekha, G.; Pardhasaradhi, P.; Madhav, B.T.P.; VenkateswaraRao, M.; Rao, M.C. A compact low frequency dual band liquid crystal polymer antenna for VHF and UHF band applications. Mater. Today Proc. 2021, 42, 1356–1360. [Google Scholar] [CrossRef]
- Mohammadi Shirkolaei, M.; Ghalibafan, J. Magnetically scannable slotted waveguide antenna based on the ferrite with gain enhancement. Waves Random Complex Media 2021, 1–11. [Google Scholar] [CrossRef]
- Masoumi, M.; Dalili Oskouei, H.R.; Mohammadi Shirkolaei, M.; Mirtaheri, A.R. Substrate integrated waveguide leaky wave antenna with circular polarization and improvement of the scan angle. Microw. Opt. Technol. Lett. 2022, 64, 137–141. [Google Scholar] [CrossRef]
- Zheng, D.; Lyu, Y.L.; Wu, K. Transversely slotted SIW leaky-wave antenna featuring rapid beam-scanning for millimeter-wave applications. IEEE Trans. Antennas Propag. 2020, 68, 4172–4185. [Google Scholar] [CrossRef]
- Sarkar, A.; Sharma, A.; Biswas, A.; Akhtar, M.J. Compact CRLH leaky-wave antenna using TE 20-mode substrate-integrated waveguide for broad space radiation coverage. IEEE Trans. Antennas Propag. 2020, 68, 7202–7207. [Google Scholar] [CrossRef]
- Roig, M.; Maasch, M.; Damm, C.; Jakoby, R. Liquid crystal-based tunable CRLH-transmission line for leaky wave antenna applications at Ka-band. Int. J. Microw. Wirel. Technol. 2014, 6, 325–330. [Google Scholar] [CrossRef]
- Gao, Y.; Lyu, Y.-L.; Meng, F.-Y. Electrically steerable leaky-wave antenna capable of both forward and backward radiation based on liquid crystal. In Proceedings of the IEEE Asia-Pacific Microwave Conference (APMC), Nanjing, China, 6–9 December 2015; Volume 2, pp. 1–3. [Google Scholar]
- Roig, M.; Maasch, M.; Damm, C. Investigation and application of a liquid crystal loaded varactor in a voltage tunable CRLH leaky-wave antenna at Ka-band. Int. J. Microw. Wirel. Technol. 2015, 7, 361–367. [Google Scholar] [CrossRef]
- Li, X.; Jiang, D.; Liu, Y. A frequency and pattern reconfigurable leaky wave antenna based on HMCSIW and liquid crystal technology. In Proceedings of the IEEE International Conference on Microwave and Millimeter Wave Technology (ICMMT), Chengdu, China, 7–11 May 2018; pp. 1–3. [Google Scholar]
- Jiang, D.; Li, X.-Y.; Fu, Z.-H.; Zheng, Z. Liquid crystal-based wideband reconfigurable leaky wave X-band antenna. IEEE Access 2019, 7, 127320–127326. [Google Scholar] [CrossRef]








| Parameter | hLC | hm | hsub | p | r | LR | LL |
|---|---|---|---|---|---|---|---|
| Value | 0.25 mm | 0.018 mm | 0.8 mm | 2.5 mm | 0.2 mm | 1.02 nH | 0.5 nH |
| Parameter | wf | w1 | w2 | lf | win | CR | LL |
| Value | 0.4 mm | 1.5 mm | 0.5 mm | 1.3 mm | 2.5 mm | 0.625 pF | 0.04 pF |
| Bias Voltage State | CRLH Unit CellFreq. (βd = 0) (GHz) | AntennaFreq. (θ = 0) (GHz) |
|---|---|---|
| VDC1 = 0 V, VDC2 = 0 V | 14.4 | 14.42 |
| VDC1 = Vmax, VDC2 = 0 V | 14.65 | 14.66 |
| VDC1 = 0 V, VDC2 = Vmax | 14.78 | 14.8 |
| VDC1 = Vmax, VDC2 = Vmax | 15.1 | 15.11 |
Disclaimer/Publisher’s Note: The statements, opinions and data contained in all publications are solely those of the individual author(s) and contributor(s) and not of MDPI and/or the editor(s). MDPI and/or the editor(s) disclaim responsibility for any injury to people or property resulting from any ideas, methods, instructions or products referred to in the content. |
© 2023 by the authors. Licensee MDPI, Basel, Switzerland. This article is an open access article distributed under the terms and conditions of the Creative Commons Attribution (CC BY) license (https://creativecommons.org/licenses/by/4.0/).
Share and Cite
Ma, S.; Li, X.-N.; Li, Z.-D.; Ding, J.-J. Electronic Beam Steering Metamaterial Antenna with Dual-Tuned Mode of Liquid Crystal Material. Sensors 2023, 23, 2556. https://doi.org/10.3390/s23052556
Ma S, Li X-N, Li Z-D, Ding J-J. Electronic Beam Steering Metamaterial Antenna with Dual-Tuned Mode of Liquid Crystal Material. Sensors. 2023; 23(5):2556. https://doi.org/10.3390/s23052556
Chicago/Turabian StyleMa, Shuang, Xue-Nan Li, Zhan-Dong Li, and Jun-Jun Ding. 2023. "Electronic Beam Steering Metamaterial Antenna with Dual-Tuned Mode of Liquid Crystal Material" Sensors 23, no. 5: 2556. https://doi.org/10.3390/s23052556
APA StyleMa, S., Li, X.-N., Li, Z.-D., & Ding, J.-J. (2023). Electronic Beam Steering Metamaterial Antenna with Dual-Tuned Mode of Liquid Crystal Material. Sensors, 23(5), 2556. https://doi.org/10.3390/s23052556

