A Low-Cost Lightweight Deflectometer with an Arduino-Based Signal Interpretation Kit to Evaluate Soil Modulus
Abstract
:1. Introduction
2. Implementation of an LWD
2.1. Mechanical Frame
2.2. Sensors
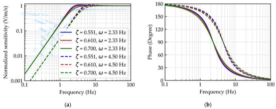
2.2.1. Geophone
2.2.2. Load Cell
2.3. Signal Interpretation Kit and Processing
2.3.1. Signal Interpretation Kit
2.3.2. Signal Processing and Calibration
Geophone Measurement
Load Cell Measurement
3. Materials and Testing Results
3.1. Materials
3.2. Testing Results
4. Conclusions
Author Contributions
Funding
Institutional Review Board Statement
Informed Consent Statement
Data Availability Statement
Conflicts of Interest
References
- ASTM E2835-21; Standard Test Method for Measuring Deflections Using a Portable Impulse Plate Load Test Device. ASTM International: West Conshohocken, PA, USA, 2011.
- Marradi, A.; Pinori, U.; Betti, G. Subgrade and foundation dynamic performance evaluation by means of lightweight Deflectometer tests. Transp. Res. Rec. 2014, 2457, 51–57. [Google Scholar] [CrossRef]
- Kumar, R.; Adigopula, V.K., Jr.; Guzzarlapudi, S.D. Stiffness-based quality control evaluation of modified subgrade soil using lightweight deflectometer. J. Mater. Civ. Eng. 2017, 29, 04017137. [Google Scholar] [CrossRef]
- Marecos, V.; Solla, M.; Fontul, S.; Antunes, V. Assessing the pavement subgrade by combining different non-destructive methods. Constr. Build. Mater. 2017, 135, 76–85. [Google Scholar] [CrossRef]
- Kaswan, K.S.; Singh, S.P.; Sagar, S. Role of Arduino in real world applications. Int. J. Sci. Technol. Res 2020, 9, 1113–1116. [Google Scholar]
- Sabharwal, N.; Kumar, R.; Thakur, A.; Sharma, J. A Low Cost Zigbee based Automatic Wireless Weather Station with Gui and Web Hosting Facility. Master’s Thesis, Punjab Technical University, Jalandhar, India, 2014. [Google Scholar]
- Smith, A.G. Introduction to Arduino; CreateSpace: Scotts Valley, CA, USA, 2011. [Google Scholar]
- Nozad Mahmood, S. Gsm interaction based real time climate change monitoring technique. Kirkuk Univ. J. Sci. Stud. 2018, 13, 1–17. [Google Scholar] [CrossRef]
- Garg, A.; Huang, Y.; He, H.; Huang, X.; Lin, P.; Kalra, K.; Mei, G.; Khandare, V.; Singh, L. Geotechnical engineering educational modules demonstrating measurement and regulation of soil moisture. Comput. Appl. Eng. Educ. 2022, 30, 973–985. [Google Scholar] [CrossRef]
- Zaman, A.T.; Hoque, N.M.R.; Islam, S.; Biswas, S.N. Developing a low-cost device for preliminary geotechnical site characterization using multi-channel analysis of surface wave. AIP Conf. Proc. 2023, 2713, 030001. [Google Scholar]
- Ruzza, G.; Guerriero, L.; Revellino, P.; Guadagno, F.M. A Low-Cost Chamber Prototype for Automatic Thermal Analysis of MEMS IMU Sensors in Tilt Measurements Perspective. Sensors 2019, 19, 2705. [Google Scholar] [CrossRef]
- Kafadar, O. A geophone-based and low-cost data acquisition and analysis system designed for microtremor measurements. Geosci. Instrum. Methods Data Syst. 2020, 9, 365–373. [Google Scholar] [CrossRef]
- Ahmed, H.E.; Sahandabadi, S.; Bhawya; Ahamed, M.J. Application of MEMS Accelerometers in Dynamic Vibration Monitoring of a Vehicle. Micromachines 2023, 14, 923. [Google Scholar] [CrossRef]
- Itikala, V. Arduino Weighing Machine Using Load Cell and HX711 Module; Elsevier: Amsterdam, The Netherlands, 2021; SSRN 3918720. [Google Scholar]
- Aravind, R.; Kumar, A.; Harisudhan, R.; Udhayakumar, G. Load cell based fuel level measurement using arduino uno microcontroller. Int. J. Adv. Res. Dev. 2018, 3, 159–164. [Google Scholar]
- Hons, M.S. Seismic Sensing: Comparison of Geophones and Accelerometers using Laboratory and Field Data. Master’s Thesis, University of Calgary, Department of Geoscience, Calgary, AB, Canada, 2008. [Google Scholar]
- Dennison, A. The design of electromagnetic geophones. Geophys. Prospect. 1953, 1, 3–28. [Google Scholar] [CrossRef]
- Prakla-Seismos-AG. The Geohone (Prakla). Available online: https://www.coursehero.com/file/193850093/Prakla-Geophonepdf/ (accessed on 24 September 2023).
- Barzilai, A.; VanZandt, T.; Kenny, T. Technique for measurement of the noise of a sensor in the presence of large background signals. Rev. Sci. Instrum. 1998, 69, 2767–2772. [Google Scholar] [CrossRef]
- Bowden, G. Calibration of Geophone Microseismic Sensors; SLAC National Accelerator Lab.: Menlo Park, CA, USA, 2018. [Google Scholar]
- Geospace Technologies. Sensing Systems Engineering Product/Customer Specification for HS-1-LT 2.0 Hz-3810 Ohm Vertical; Geospace Technologies: Houston, TX, USA, 2022. [Google Scholar]
- Racotech Geophysical Instruments. RGI-4.5 Hz Geophone. Available online: http://www.racotech.biz/product.php?id=84 (accessed on 23 September 2023).
- Stamp, D.H. Influence of Lightweight Deflectometer Design Parameters on Measured Deflection and Estimation of Modulus. Master’s Thesis, Colorado School of Mines, Goldem CO, USA, 2012. [Google Scholar]
- Hons, M.S.; Stewart, R.R. Transfer functions of geophones and accelerometers and their effects on frequency content and wavelets. CREWES Res. Rep 2006, 18, 1–18. [Google Scholar]
- Stamp, D.H.; Mooney, M.A. Influence of Lightweight Deflectometer Characteristics on Deflection Measurement; ASTM International: West Conshohocken, PA, USA, 2013. [Google Scholar]
- Kamble, V.; Shinde, V.; Kittur, J. Overview of Load Cells. J. Mech. Mech. Eng. 2020, 6, 22–29. [Google Scholar]
- Futek Advanced Sensor Technology, Inc. Strain Gauge Load Cell. Available online: https://www.futek.com/strain-gauge-load-cell (accessed on 10 April 2023).
- Dacell. Low Profile Tension or Compression Load Cells; Dacell: Chungcheongbuk-do, Republic of Korea, 2022. [Google Scholar]
- Vitchev, V. Mathematical basics of band-limited sampling and aliasing. RF Des. 2005, 26–32. [Google Scholar]
- TutorialsPoint. Signals Sampling Theorem. Available online: https://www.tutorialspoint.com/signals_and_systems/signals_sampling_theorem.htm (accessed on 15 March 2023).
- Bogdan, M. Sampling rate and aliasing on a virtual laboratory. J. Electr. Electron. Eng. 2009, 2, 121. [Google Scholar]
- Texas Instruments. ADS126x 32-Bit, Precision, 38-kSPS, Analog-to-Digital Converter (ADC) with Programmable Gain Amplifier (PGA) and Voltage Reference; Texas Instruments: Dallas, TX, USA, 2015. [Google Scholar]
- Venkatesh, B.A. K Whitchurch. ADS1262 Breakout Board. Available online: https://github.com/Protocentral/ProtoCentral_ads1262 (accessed on 15 March 2023).
- Alltest Instruments, Inc. R&S®RTE Oscilloscope User Manual; Version 20; Alltest Instruments, Inc.: Farmingdale, NJ, USA, 2021. [Google Scholar]
- Szymanowski, J. Impulse Noises Detection and Cancelation in Music Records; Code Project: Toronto, ON, Canada, 2014. [Google Scholar]
- Li, L. MATLAB User Manual; The MathWorks, Inc.: Natick, MA, USA, 2001. [Google Scholar]
- MathWorks. Trapezoidal Numerical Integration. Available online: https://www.mathworks.com/help/matlab/ref/trapz.html (accessed on 27 September 2023).
- Megantoro, P.; Widjanarko, A.; Rahim, R.; Kunal, K.; Arfianto, A.Z. The design of digital liquid density meter based on Arduino. J. Robot. Control. 2020, 1, 1–6. [Google Scholar] [CrossRef]
- Choi, Y.; Ahn, D.; Nguyen, T.H.; Ahn, J. Assessment of field compaction of aggregate base materials for permeable pavements based on plate load tests. Sustainability 2018, 10, 3817. [Google Scholar] [CrossRef]
- Zorn Instruments. User Manual for the Light Weight Deflectometer (LWD); ZFG 3.0.; Zorn Instruments: Stendal, Germany, 2011. [Google Scholar]
- Zhao, G.; Yao, Y.; Li, S.; Jiang, Y. Maximum Allowable Deflection by Light Weight Deflectometer and Its Calibration and Verification; Joint Transportation Research Program; Purdue University: West Lafayette, IN, USA, 2018. [Google Scholar]
- Vennapusa, P.K.; White, D.J. Comparison of light weight deflectometer measurements for pavement foundation materials. Geotech. Test. J. 2009, 32, 1–13. [Google Scholar]
- Choi, Y.; Ahn, D.; Lee, Y.; Ahn, J. Compaction quality monitoring of open-graded aggregates by light weight deflectometer and soil stiffness gauge. Sustainability 2020, 12, 2521. [Google Scholar] [CrossRef]
- Humboldt. H-4140 GeoGauge Product Manual; Humboldt: Elgin, IL, USA, 2014; Volume 2014. [Google Scholar]
- Davich, P. Analysis of LWD Load Estimation from Measurements of Deflection; Minnesota Department of Transportation: St. Paul, MN, USA, 2005. [Google Scholar]
- Davich, P.; Camargo, F.; Larsen, B.; Roberson, R.; Siekmeier, J. Validation of DCP and LWD Moisture Specifications for Granular Materials; Minnesota Department of Transportation: St. Paul, MN, USA, 2006. [Google Scholar]
- Keros Prima 100 Portable FWD; Dynatest: Copenhagen, Denmark, 2004.










| Rated Capacity (tf) | Rated Output (mV/V) | Excitation Voltage (V) |
|---|---|---|
| 5 | 2 ± 0.1% | 5~10 |
| No. | Oscilloscope Voltage: V0 (mV) | VK (mV) | V0/VK |
|---|---|---|---|
| 1 | 2120 | 1112.10 | 1.91 |
| 2 | 2403 | 1057.50 | 2.27 |
| 3 | 2603 | 1167.40 | 2.23 |
| 4 | 2606 | 1213.80 | 2.15 |
| 5 | 2080 | 952.20 | 2.18 |
| 6 | 3436 | 1487.20 | 2.31 |
| 7 | 3930 | 1800.90 | 2.18 |
| Mean = 2.18 | |||
| Material | Falling Height (m) | Measurement Force 1 (F1) (kN) | Calculation Force (F2) (kN) | from F1 (MPa) | (MPa) |
|---|---|---|---|---|---|
| D40 | 0.66 | 4678 | 7548 | 58.82 | 94.95 |
| 0.76 | 5010 | 8099 | 59.30 | 95.88 | |
| D25 | 0.66 | 4464 | 7548 | 47.30 | 79.98 |
| 0.76 | 4781 | 8099 | 46.77 | 79.23 |
Disclaimer/Publisher’s Note: The statements, opinions and data contained in all publications are solely those of the individual author(s) and contributor(s) and not of MDPI and/or the editor(s). MDPI and/or the editor(s) disclaim responsibility for any injury to people or property resulting from any ideas, methods, instructions or products referred to in the content. |
© 2023 by the authors. Licensee MDPI, Basel, Switzerland. This article is an open access article distributed under the terms and conditions of the Creative Commons Attribution (CC BY) license (https://creativecommons.org/licenses/by/4.0/).
Share and Cite
Nguyen, H.-T.; Lee, Y.; Ahn, J.; Han, T.H.; Park, J.K. A Low-Cost Lightweight Deflectometer with an Arduino-Based Signal Interpretation Kit to Evaluate Soil Modulus. Sensors 2023, 23, 9710. https://doi.org/10.3390/s23249710
Nguyen H-T, Lee Y, Ahn J, Han TH, Park JK. A Low-Cost Lightweight Deflectometer with an Arduino-Based Signal Interpretation Kit to Evaluate Soil Modulus. Sensors. 2023; 23(24):9710. https://doi.org/10.3390/s23249710
Chicago/Turabian StyleNguyen, Huyen-Tram, Yunje Lee, Jaehun Ahn, Taek Hee Han, and Jun Kil Park. 2023. "A Low-Cost Lightweight Deflectometer with an Arduino-Based Signal Interpretation Kit to Evaluate Soil Modulus" Sensors 23, no. 24: 9710. https://doi.org/10.3390/s23249710
APA StyleNguyen, H.-T., Lee, Y., Ahn, J., Han, T. H., & Park, J. K. (2023). A Low-Cost Lightweight Deflectometer with an Arduino-Based Signal Interpretation Kit to Evaluate Soil Modulus. Sensors, 23(24), 9710. https://doi.org/10.3390/s23249710

