Next Article in Journal
Recent Implementations of Hydrogel-Based Microbial Electrochemical Technologies (METs) in Sensing Applications
Next Article in Special Issue
Real-Life Wheelchair Mobility Metrics from IMUs
Previous Article in Journal
A Recommender System for Robust Smart Contract Template Classification
Previous Article in Special Issue
Video-Based Behaviorally Coded Movement Assessment for Adolescents with Intellectual Disabilities: Application in Leg Dribbling Performance
 
 
Font Type:
Arial Georgia Verdana
Font Size:
Aa Aa Aa
Line Spacing:
Column Width:
Background:
Article

Multi-Sensor Respiratory–Swallow Telecare System for Safe Feeding in Different Trunk Inclinations: System Development and Clinical Application

1
Department of Computer Science and Information Engineering, College of Engineering, Chang Gung University, No. 259, Wen-Hwa 1st Road, Kwei-Shan, Taoyuan 333, Taiwan
2
Department of Physical Medicine and Rehabilitation, Chang Gung Memorial Hospital, 5 Fu-Hsing Street, Kwei-Shan, Taoyuan 333, Taiwan
3
Collage of Medicine, Chang Gung University, Taoyuan 333, Taiwan
4
Department of Adapted Physical Education, National Taiwan Sport University, No. 250, Wen-Hwa 1st Road, Kwei-Shan, Taoyuan 333, Taiwan
5
Graduate Institute of Early Intervention, College of Medicine, Chang Gung University, No. 259, Wen-Hwa 1st Road, Kwei-Shan, Taoyuan 333, Taiwan
*
Author to whom correspondence should be addressed.
Sensors 2023, 23(2), 642; https://doi.org/10.3390/s23020642
Submission received: 10 November 2022 / Revised: 1 January 2023 / Accepted: 4 January 2023 / Published: 6 January 2023

Abstract

Proper positioning is especially important to ensure feeding and eating safely. With many nursing facilities restricting visitations and close contact during the coronavirus pandemic, there is an urgent need for remote respiratory–swallow monitoring. This study aimed to develop a semiautomatic feeding telecare system that provides instant feedback and warnings on-site and remotely. It also aimed to analyze the effects of trunk positions on respiratory–swallow coordination. A signal collector with multiple integrated sensors for real-time respiratory–swallow monitoring and warning was developed. A repeated measures design was implemented to evaluate the effects of trunk inclination angles on the swallow-related functions. Significant differences in inclination angles were discovered for swallowing apnea (p = 0.045) and total excursion time of thyroid cartilage (p = 0.037), and pairwise comparisons indicated that these differences were mostly present at 5° to 45°. Alerts were triggered successfully when undesired respiratory patterns or piecemeal occurred. The results indicated that a care recipient can swallow more easily when sitting upright (5°) than when leaning backward (45°). This telecare system provides on-site and remote respiratory–swallow monitoring and alerting for residents in care facilities and can serve as a pipeline for the early screening of swallowing dysfunction.

1. Introduction

Long-term care is increasingly required as populations begin to age. Between 10% and 20% of individuals who are older than 65 years are estimated to have swallowing difficulties [1,2]. Furthermore, individuals with multiple disabilities also have problems controlling their muscle tone and maintaining their posture. In particular, these individuals experience problems during feeding or eating. Therefore, feeding or assisted eating is a key daily routine for nursing institutions. A study revealed that call lights in nursing homes were used most frequently before and after mealtimes, indicating that staff assistance is most required during this period [3]. In the context of nursing care, the smoothness of feeding and effective swallowing directly affect the nutrient intake and quality of life of these individuals [4].
Swallowing and breathing cannot occur concurrently. When swallowing starts, breathing stops. This ensures that during the act of eating, food does not stray into the trachea and cause inhalation choking. Breathing does not resume until food passes through the pharynx and reaches the esophagus [5,6,7]. A typical symptom of swallowing dysfunction is residual food or liquid on the swallowing path, which tends to cause choking, aspiration, or potential complications. If this condition is treated inadequately, swallowing dysfunction and its complications can cause dehydration, malnutrition, aspiration pneumonia, or even death [8,9]. Problems relating to muscle tone and posture maintenance also increase the difficulty of maintaining a sitting or reclining posture when eating. This problem can even interfere with feeding/eating and swallowing movements. Only coordinated swallowing and breathing functions can ensure a smooth feeding process.
An appropriate seat-back and bed-board inclination angle benefits the feeding or eating process [10]. Positioning is regarded as a simple, effective, and noninvasive method that can be applied to a care recipient during feeding [11]. A reclining position facilitates the gravity-driven flow of bolus or liquid from the mouth to the pharynx [11,12]. The ideal inclination angle for smooth and effective swallowing during feeding is difficult to determine [13]. The optimal inclination angles can change depending on disease condition, food form or texture, and the physical environment. Although care recipients usually communicate their discomfort, institutionalized older adults or individuals with disabilities may not have the linguistic ability required to express themselves clearly. Consequently, if a caregiver is inattentive during feeding or under time constraints and fails to detect their care recipient’s reaction, the choking risks caused by feeding are considerably increased. Especially in the coronavirus (COVID-19) pandemic, most institutions restrict visitations and close contact between residents and caregivers [14,15,16]. Therefore, remote monitoring in lieu of in-person monitoring is more important. A respiratory–swallow monitoring and warning mechanism should be implemented to ensure the safety of care.
To evaluate respiratory–swallow coordination, videofluoroscopic swallow study (VFSS) has been most frequently used [6,17]. X-ray was used in VFSS for monitoring the swallowing events, especially those related to the hyoid bone and thyroid cartilage movements. Another method is fiberoptic endoscopic evaluation of swallowing (FEES) [18]. During FEES, a fiberoptic endoscope is inserted through the nasal cavity to the pharynx to obtain images of the swallowing process. However, both VFSS and FEES are invasive, and a VFSS also introduces radiation risks. In addition, performing a VFSS or FEES for patients at risk of dysphagia is impractical because a healthcare facility may not have the required equipment [19]. Triaxial accelerometers have also been used to measure pharynx movement, but a misjudgment may occur when the acceleration generated by the swallowing movement of a patient with dysphagia is overly small [20]. Considering the advantages and disadvantages of existing measurement methods, our team used surface electromyography (sEMG) for submentalis and piezoelectric sensors (force sensing resistor, FSR) to measure the movement of the thyroid cartilage and measured nasal airflow by using a nasal cannula [21,22]. Through the time locking of the signals from the three sensors on a frame, respiratory–swallow coordination can be evaluated accurately and efficiently in a noninvasive manner. An autodetection program with a customized algorithm was developed to conduct signal processing and capture temporal parameters. This program was verified to be viable and reliable for capturing and analyzing temporal parameters during a swallowing movement [8]. The previous analytic respiratory–swallow model is used only for offline analyses; it is still incapable of providing instant feedback or warnings to a caregiver.
The aim of the study was to develop a portable, noninvasive, multi-sensor semiautomatic feeding monitoring system with a respiratory–swallow analyzer and instant warning indicators, and to analyze the effects of various trunk inclination positions and various food types on respiratory–swallow coordination.

2. Materials and Methods

2.1. System Development

An integrated multi-sensor signal collector with real-time respiratory–swallow monitoring and warning functions was developed (Figure 1). Figure 1a illustrates the attached position and usage of each sensor, including sEMG, nasal airflow, and FSR. The aforementioned sensors were integrated into a portable signal collector to develop remote monitoring applications. Figure 1b illustrates the circuit of the designed signal collector, and Figure 1c illustrates the real-time respiratory-swallowing telecare model.

2.2. Multisensor-Based Analytical Swallowing Model

Figure 2 presents the synchronized signals that were detected by the sensors when a normal participant swallowed 10 mL of room-temperature water. The sEMG waveform indicated submentalis activity during swallowing (E1 to E3), with the largest force being recorded at E2. Synchronously, the nasal airflow waveform indicated a sign of apnea (A1 to A2). This was regarded as a protective phenomenon that allows for safe swallowing without aspiration. The FSR waveform typically displays a W-shaped response to represent the two phases of thyroid cartilage excursion. The first phase (F1 to F2) represents the movement of the thyroid cartilage upward and forward to block the trachea and ensure that water smoothly passes through the pharynx to the esophagus. The second phase (F2 to F3) represents the movement of the thyroid cartilage back to its original position. Table 1 lists the variables that describe a complete swallowing process, and they can be used to measure the latency, duration, and amplitude among the related signals. Two possible respiratory phases were observed before and after the respiration apnea period, namely, expiration (EXP) and inspiration (INP). These entail four possible respiratory patterns: EXP/EXP, EXP/INP, INP/EXP, and INP/INP. Only EXP/EXP was regarded as a physiologically safe swallowing pattern.
The occurrence of the feature points in Figure 2 (i.e., A1–A2, E1–E3, and F1–F3) can be detected automatically by monitoring the signal patterns along the time sequence. In our previous study [9], a slope-based method has been developed that involves monitoring the slope variation of the signal curve in a sliding window to verify whether the waveform fits the predefined swallowing patterns. This slope-based method has been implemented in the proposed portable signal collector (Figure 1b). Nine variables were monitored in this study (Table 1). The current method can run in real-time with minimal delay. The variable patterns registered with this portable system were validated by comparing those from the BIOPAC MP 150 (BIOPAC systems Inc., Goleta, CA, USA), a medical instrument widely used for data acquisition and display. The average response delay of the portable system was controlled within 20 ms.

2.3. Warning Mechanism

Swallowing disorders can be detected by monitoring the respiratory and swallowing variables. Table 2 lists two risk levels for swallowing disorders that relate to safe feeding and to which caregivers should be alerted. Level 1 is primarily triggered by two events, namely, piecemeal deglutition and long apnea duration (L_SAD). When the volume of water or bolus exceeds a specific limit, a participant may have insufficient strength to swallow the bolus in one gulp and divide it into smaller pieces for swallowing (i.e., piecemeal deglutition). In this situation, a caregiver should pause the feeding process. Otherwise, the bolus that remains in the oral or pharyngeal position may block the respiratory path and cause choking. The same situation may occur when the apnea duration (i.e., SAD in Table 1) of swallowing is longer than a specific period. Feeding can continue when the aforementioned events cease, when the individual returns to a stable condition.
The Level 2 alert is triggered by the abnormal presentation of other variables. Successful swallowing requires smooth coordination among nasal, oral, and pharyngeal positions. Thus, a large gap between each onset time point (i.e., E1 and F1 in Table 1), a long duration of physiological response in swallowing (i.e., DsEMG, TET, and D2DEF), or unsafe respiratory phases before and after respiration apnea (i.e., non-EXP/EXP Resp_phase) may indicate a swallowing disorder. In these situations, a caregiver should reduce the volume of the bolus or the speed of feeding.
Based on the risk levels, a warning mechanism was proposed. Level 1 events present a greater level of swallowing risk than Level 2 events. Thus, alerts of Level 1 and Level 2 events are color coded as red and yellow, respectively. When the situations that previously triggered an alert are no longer detected, the alert light changes to green, indicating that a participant has returned to their initial or normal state. Figure 3a is a state diagram that illustrates this warning mechanism. This warning mechanism can be implemented through an app that was designed to be used by caregivers in a practical setting. Figure 3b provides an example of the use of this application when a participant is sitting and adopting various trunk inclination positions while swallowing. A caregiver can receive the alert and monitor the respiratory–swallowing states remotely through telecommunication.

2.4. Clinical Evaluation

The aforementioned portable collection and analysis system was used to evaluate the effects of trunk inclination angles on respiratory–swallow monitoring. Thirty-three participants who were aged between 21 and 50 years and did not display any signs of swallowing difficulty were included. All participants provided informed consents in accordance with the regulations of Chang Gung Memorial Hospital (IRB number 201600752A3). The clinical trial registration number was NCT05221801. The aforementioned sensors were applied to the participants in accordance with the procedures described in an earlier section of the present study. The proposed portable signal collector and a caregiver’s app were used for data acquisition.
A reclining wheelchair (Guardian, Karma) was used to enable adjustments to inclination angle. The backrest of this wheelchair provided the required degree of back recline (5° to 45°). The two arms of an electrogoniometer were attached to the sides of the seat and the backrest and connected to the caregiver’s app to register the inclination angles. Four angles (5°, 15°, 30°, and 45°) were evaluated. When a participant leaned back, their head could rest on the headrest of the wheelchair. The neck of the participant was kept in a neutral (0° extension) position when they leaned back on the headrest. The examiner then located the anatomic markers for swallowing and respiration signal recording. Before sensors were attached to a participant, their submental muscles had to be in a relaxed state. Three food types (specifically, 1 mL water, 10 mL water, and 5 mL pudding) were used to examine the swallowing movements of the participant. A combination of seat inclination (four levels) and food type (three levels) was randomly assigned, with three repetitions being performed for each combination.
Before a test was conducted, water (measuring 5 mL) was first given to a participant in the upright position to allow them to familiarize themselves with the test procedures. At this time, the examiner also verified whether the swallowing movement of the participant triggered the green light on the signal collector. During the data collection process, water was measured and drawn using identical, disposable 20 mL syringes and given to participants in identical, small disposable cups. The formal test was then conducted after a 3 min rest. Each participant performed 36 swallows and rested for at least 30 s between each swallow. If the participant displayed any sign of tracheal aspiration (e.g., choking, coughing more than twice, or shortness of breath) during the test, the procedures were halted. During each swallowing test, the participants held the water/pudding in their mouths until a verbal cue was given for them to initiate the desired swallow. The variable measurements are listed in Table 1.
Statistical analyses were performed using SPSS 22 software (SPSS, Chicago, IL, USA). Descriptive statistics were used to describe the basic features of the data. Repeated measure analyses of variance were used to analyze the differences among the dependent variables concerning seat inclination and food content combination. Bonferroni pairwise multiple comparisons were performed when significant differences were detected. An alpha value of 0.05 was regarded as statistically significant.

3. Results

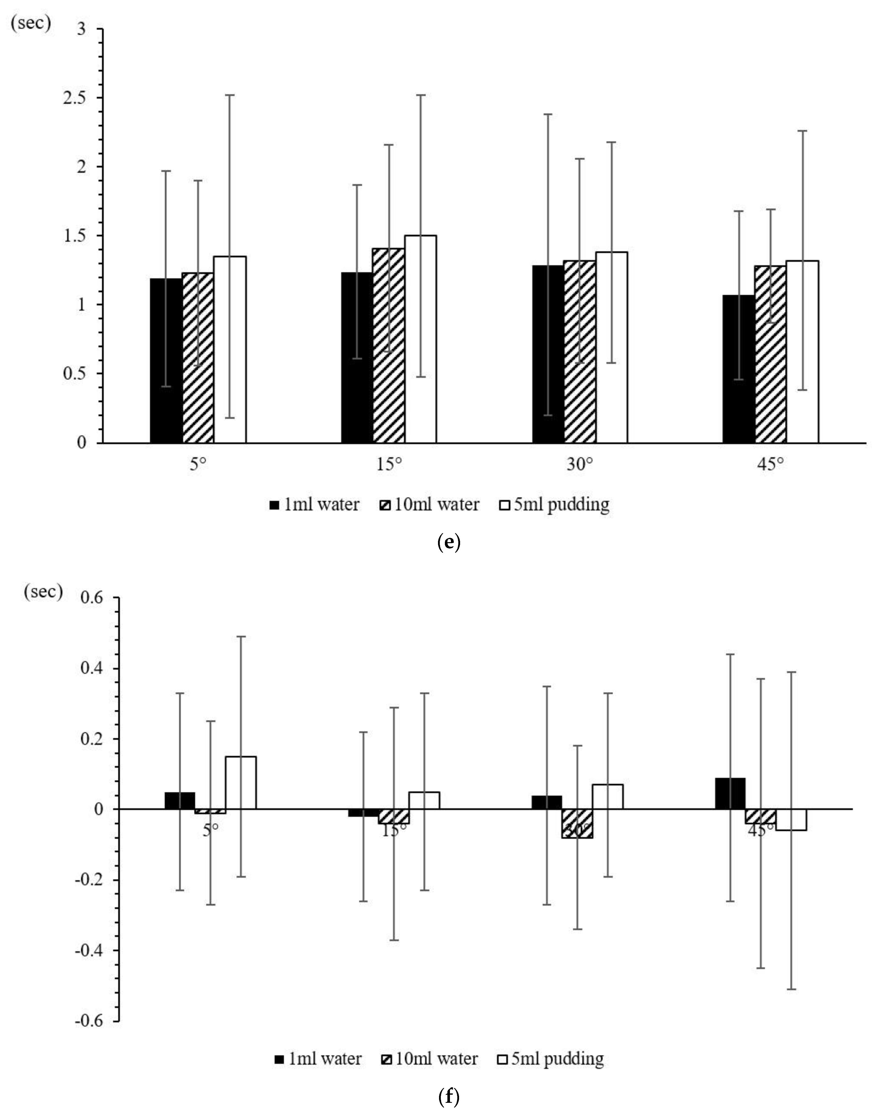
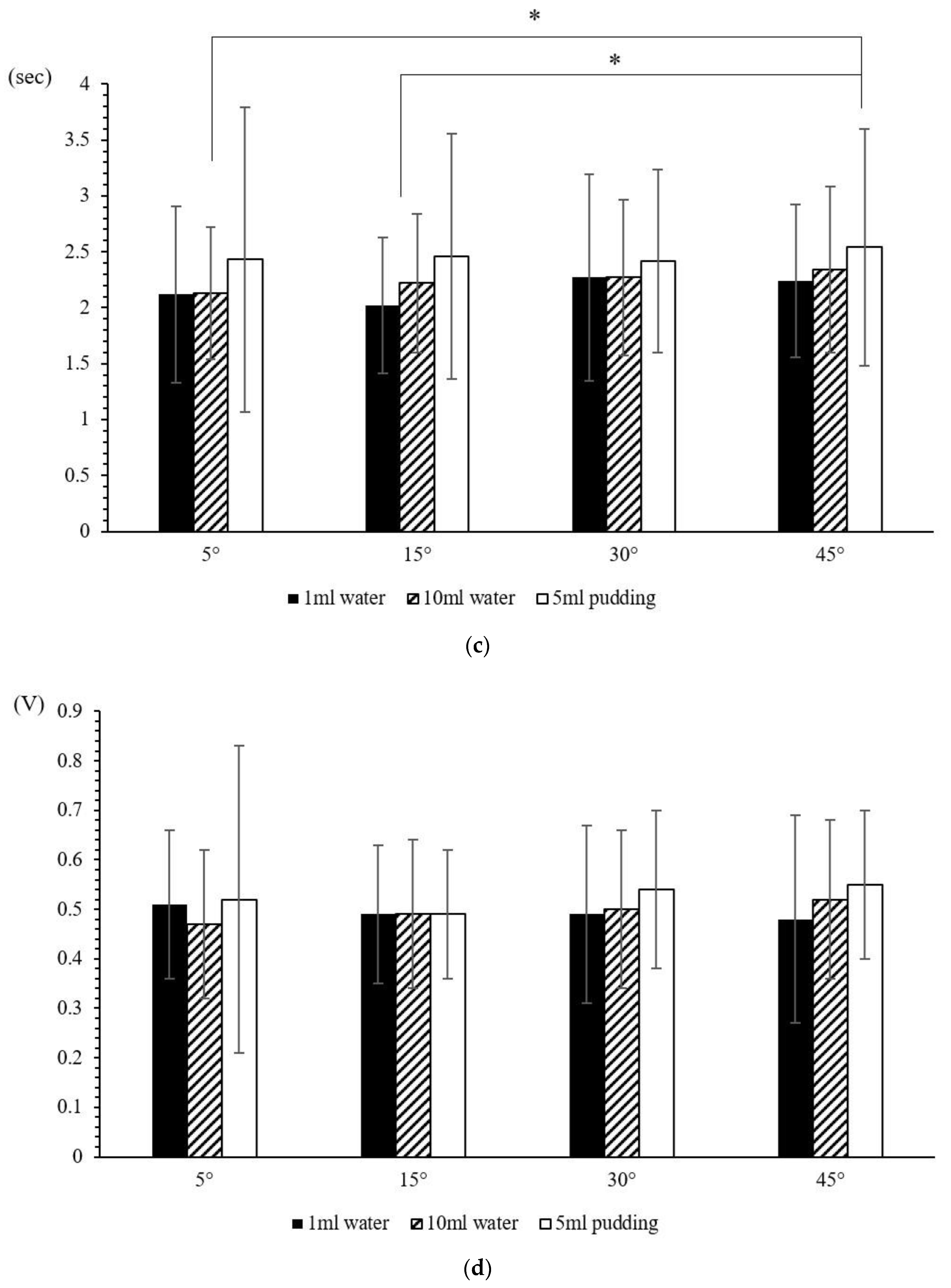
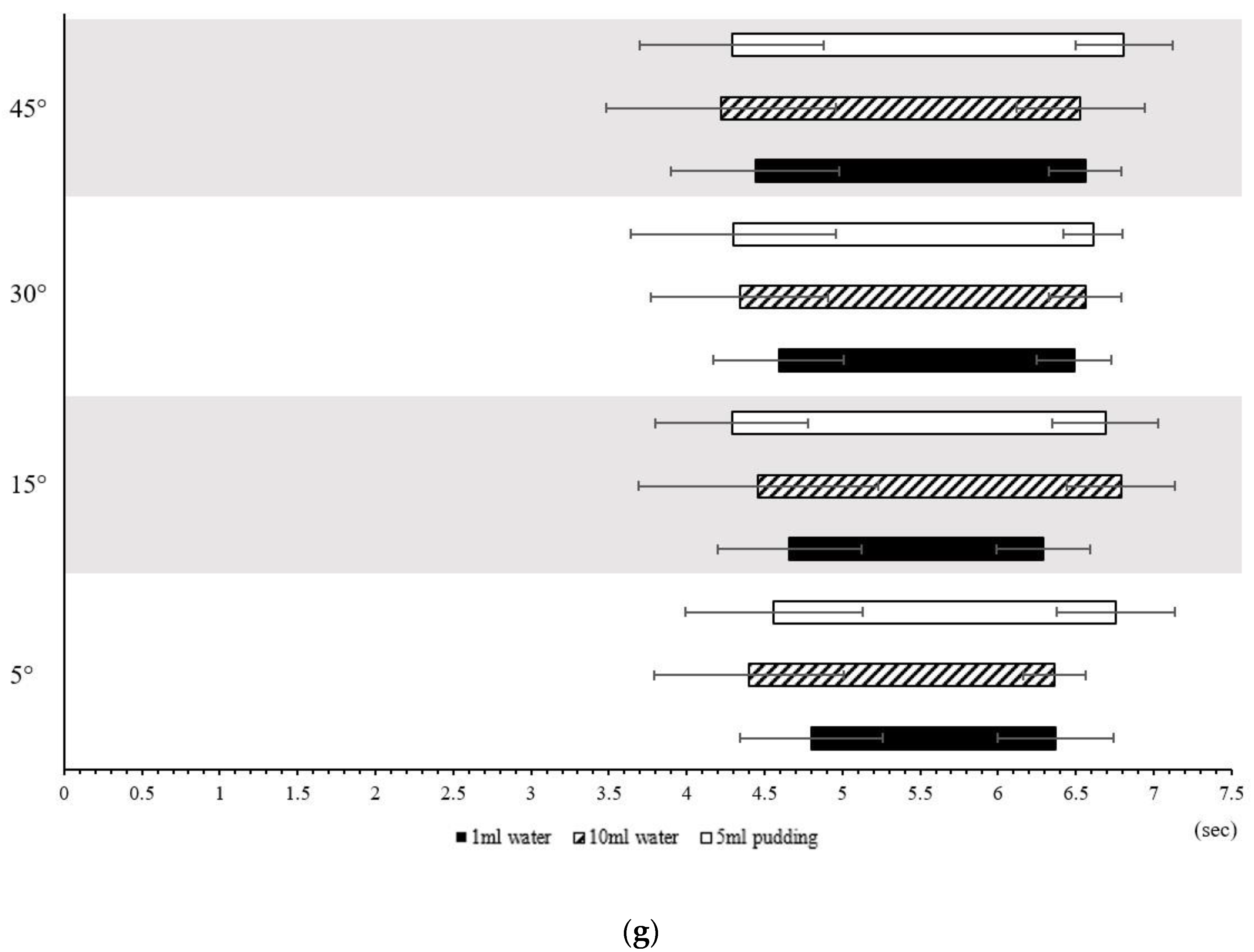
Three participants were determined to be incomplete. Therefore, the data of 30 participants (28.6 ± 7.1 years) were further analyzed (Table 3, Figure 4). Significant differences were found among angles only in SAD (p = 0.045) and TET (p = 0.037). Post hoc exams revealed significance differences between the angles of 5° and 45° (p = 0.036 for SAD; p = 0.009 for TET).
Significant differences were found among food patterns in DsEMG (p < 0.000), SAD (p < 0.000), TET (p = 0.048), and D2DEF (p = 0.043), with most differences being between 1 mL water and 5 mL pudding, and between 10 mL water and 5 mL pudding (Table 4). The negative OL shows that the participants had an earlier onset of the thyroid cartilage movement. No significant differences were found among food patterns in OL (p = 0.075) and FSR amplitude (p = 0.116). No significant interaction was observed between angle and food patterns whatsoever.
Table 5 shows the frequencies of signals triggered within the combinations of inclination angles and food types. Because the study consisted of healthy participants, the frequency of triggered warnings (yellow or red lights) was relatively low. In the 1 mL water tests, piecemeal swallowing or unsafe respiratory phase did not occur in any combination of conditions because of the minute volume. In the 10 mL water tests with 45° inclination, the warnings triggered were four times yellow and three times red; no warning was triggered with other inclination angles. As in the 5 mL pudding tests, the warnings triggered were eight times yellow and twelve times red with 45° inclination only.

4. Discussion

The respiratory–swallow telecare system developed in this study successfully detects various indicators of swallowing efficiency (i.e., submentalis muscle activity, apnea time, thyroid cartilage excursion, presence of piecemeal deglutition, and the breathing patterns before and after swallowing) and instantaneously alerts a caregiver/health care provider to check the positioning and safety of the service recipient. It is especially suitable for use in nursing homes and assisted living facilities. In addition to providing warning signals for on-site and remote personnel, this system can also record the respiratory–swallow coordination information of a service recipient for each meal, compile the relevant data, and upload such data to a remote database. Continuous in-home monitoring can provide extensive and sensitive data that capture the subtle behavioral changes and health information of at-risk individuals [23]. The unsafe conditions during the 45° inclination in this study successfully triggered warnings onsite and remotely. Remote healthcare providers can calculate the ratio of red, yellow, and green lights associated with a service recipient, adjust parameter standards to meet individual needs, or screen for early signs of dysphagia. The collected information can also be used to develop swallowing training programs. For individuals with dysphagia caused by diseases or disorders, the system can be customized to meet individual needs, thus providing safer feeding solutions and improving quality of life.
During feeding, trunk positioning directly affects respiratory–swallow coordination and feeding safety, especially for individuals with disabilities, but this problem is often neglected in practice. Because different types of care recipients have different means of compensating for swallowing (e.g., older adults with sarcopenic dysphagia [24], individuals with stroke or cerebral palsy with spasticity or spasm in the oral or pharyngeal muscles [25,26,27], and individuals with parkinsonism [22]), a caregiver may be unaware of the effects of body positioning on swallowing and breathing. When a care recipient cannot clearly express their feelings or actively change their body position during the feeding process, they are exposed to risks relating to the feeding process. With regard to the recommended angle of inclination during feeding, the results of the present study indicated that a care recipient can swallow more easily when they are sitting upright (5°) than when they are leaning backwards (45°). The recorded thyroid cartilage excursion and apnea time were significantly longer when the 45° inclination was adopted. This finding indicated that the participants required more time to return their thyroid cartilages back to their original positions after swallowing when the 45° inclination was adopted. This phenomenon is usually observed during the early stage of dysphagia [28]. In addition, the feedback from participants indicated that many of them felt discomfort and were concerned about choking when they were in the 45° inclination. The results also revealed significant differences in food content concerning numerous variables. Swallowing pudding required a significantly longer time than swallowing 1 mL of water during submentalis activity, thyroid cartilage excursion, and the second deflection.
However, the literature does not provide consistent recommendations on the appropriate positioning angle for feeding or assisted eating. The present study examined participants who had normal oral motor function and airways (including the laryngeal vestibule) that were closed during swallowing. Other studies with participants with dysphagia or cerebral palsy have controversial findings [12,27,29,30]. These inconsistencies can be related to oral motor dysfunction severity, neuromuscular compensation, body–head position interactions, food texture (liquid, barium solution, or bolus), amount of food consumed, the swallowing method that was used (single or piecemeal), and the evaluation method that was used [12,24,27,28,29,30,31,32]. Furthermore, the hip joint angle during a 45° inclination (e.g., a wheelchair with a tilt-in-space function can maintain the hip at a 90° angle, but the hip joint angle of a reclining wheelchair may be approximately 135°) may affect the comfort level experienced by a participant. A study highlighted that the risk of aspiration can increase unless the optimal position for an individual is selected [33].
The present study still has limitations. First, although the autodetection program with a customized algorithm has been verified previously [9], the criteria for triggering alerts that were applied in the present study have not been verified clinically, and further data collection and clinical comparisons have yet to be performed and validated. Second, the portable device is suitable for institutional and home use, but the throat belt and nasal cannula must be properly worn under instructions for accurate detection. Third, the present study focused on noninvasive measures for achieving swallowing comfort and efficiency, but the residuals after swallowing and the occurrence of aspiration cannot be precisely detected unless a VFSS or fiberoptic endoscopy is performed [34]. Fourth, coughing and talking have many phenotypes that demonstrate considerable variability; therefore, if there was a cough or talk during data collection, the particular trial was aborted. Fifth, because different types of care recipients adopt different strategies to compensate for the swallow, the current autodetection criteria for triggering alerts target common swallowing problems (e.g., piecemeal and non-EXP/EXP breathing pattern). In a practical setting, individualized criteria with greater accuracy can be used to assess swallowing status. It is possible to make customized adjustments for the individual swallowing characteristics of different users in the future.

5. Conclusions

The COVID-19 pandemic underlines the importance of telecare. This respiratory–swallow telecare system provides healthcare providers/caregivers a useful and applicable form of remote monitoring and alerting for residents in care facilities. Essential swallowing information of each meal can also be recorded and uploaded to cloud-based platforms for further assessment. With the further development of the relevant algorithms, this system can serve as a pipeline for early screening for swallowing dysfunction. The results can provide references for proper feeding positions for older adults or individuals with disabilities.

Author Contributions

Conceptualization, H.-Y.K.C. and W.-Y.S.; methodology, H.-Y.K.C., W.-Y.S. and C.-M.W.; software, W.-Y.S. and Y.-Y.J.; validation, H.-Y.K.C. and Y.-Y.J.; formal analysis, H.-Y.K.C. and W.-Y.S.; investigation, H.-Y.K.C. and C.-M.W.; resources, H.-Y.K.C. and C.-M.W.; data curation, H.-Y.K.C. and Y.-Y.J.; writing—original draft preparation, H.-Y.K.C. and W.-Y.S.; writing—review and editing, H.-Y.K.C., W.-Y.S., C.-M.W. and Y.-Y.J.; funding acquisition, H.-Y.K.C., W.-Y.S. and C.-M.W. All authors have read and agreed to the published version of the manuscript.

Funding

This work was funded by the National Science and Technology Council of Taiwan (MOST110-2221-E-182-012-MY3, MOST108-2221-E-182-016-MY3, MOST110-2221-E-182-013-MY3, MOST110-2221-E-179-001-MY3) and by Chang Gung Memorial Hospital (CMRPD1F0601-2, CMRPD2H0141, CMRPD2M0221, BMRPA68, and BMRP765).

Institutional Review Board Statement

The study was conducted in accordance with the Declaration of Helsinki, and approved by the Institutional Review Board of Chang Gung Memorial Hospital (protocol code 201600752A3 and date of approval 2016/8/9).

Informed Consent Statement

Informed consent was obtained from all participants involved in the study.

Data Availability Statement

Not applicable.

Acknowledgments

The authors want to thank the participants for their contribution.

Conflicts of Interest

The authors declare that they have no competing interest.

Abbreviations

VFSSVideofluoroscopic swallow study
FSRForce sensing resistor
DsEMGDuration of surface electromyography (for submentalis activity)
SADSwallowing apnea duration
OLOnset latency
TETTotal excursion time
D2DEFDuration of 2nd deflection

References

  1. Barczi, S.R.; Sullivan, P.A.; Robbins, J.A. How should dysphagia care of older adults differ? Establishing optimal practice patterns. Semin. Speech Lang. 2000, 21, 0347–0364. [Google Scholar] [CrossRef] [PubMed]
  2. Cichero, J.A. Age-related changes to eating and swallowing impact frailty: Aspiration, choking risk, modified food texture and autonomy of choice. Geriatrics 2018, 3, 69. [Google Scholar] [CrossRef] [PubMed]
  3. Ali, H.; Li, H. Use of notification and communication technology (call light systems) in nursing homes: Observational study. J. Med. Internet Res. 2020, 22, e16252. [Google Scholar] [CrossRef] [PubMed]
  4. Blumberg, R.; Feldman, C.; Murray, D.; Burnes, N.; Murawski, D. Food and nutrition care in long-term care facilities: Examining the perspectives of frontline workers. J. Nutr. Gerontol. Geriatr. 2018, 37, 145–157. [Google Scholar] [CrossRef] [PubMed]
  5. Martin-Harris, B.; Brodsky, M.B.; Michel, Y.; Ford, C.L.; Walters, B.; Heffner, J. Breathing and swallowing dynamics across the adult lifespan. Arch. Otolaryngol. Head Neck Surg. 2005, 131, 762–770. [Google Scholar] [CrossRef] [PubMed]
  6. Martin-Harris, B.; Brodsky, M.B.; Price, C.C.; Michel, Y.; Walters, B. Temporal coordination of pharyngeal and laryngeal dynamics with breathing during swallowing: Single liquid swallows. J. Appl. Physiol. 2003, 94, 1735–1743. [Google Scholar] [CrossRef]
  7. Dozier, T.S.; Brodsky, M.B.; Michel, Y.; Walters Jr, B.C.; Martin-Harris, B. Coordination of swallowing and respiration in normal sequential cup swallows. Laryngoscope 2006, 116, 1489–1493. [Google Scholar] [CrossRef]
  8. Shieh, W.-Y.; Wang, C.-M.; Cheng, H.-Y.K.; Wang, C.-H. Using wearable and non-invasive sensors to measure swallowing function: Detection, verification, and clinical application. Sensors 2019, 19, 2624. [Google Scholar] [CrossRef]
  9. Shieh, W.Y.; Wang, C.M.; Cheng, H.Y.K.; Imbang, T.I. Noninvasive measurement of tongue pressure and its correlation with swallowing and respiration. Sensors 2021, 21, 2603. [Google Scholar] [CrossRef]
  10. Portillo-Velez, R.J.; Vazquez-Santacruz, E.; Morales-Cruz, C.; Gamboa-Zuniga, M. Mechatronic design and manufacturing of an affordable healthcare robotic bed. J. Rehabil. Assist. Technol. Eng. 2016, 3, 1–13. [Google Scholar] [CrossRef]
  11. Umay, E.; Eyigor, S.; Ertekin, C.; Unlu, Z.; Selcuk, B.; Bahat, G.; Karahan, A.Y.; Secil, Y.; Gurcay, E.; Kıylioglu, N. Best Practice Recommendations for Stroke Patients with Dysphagia: A Delphi-Based Consensus Study of Experts in Turkey-Part II: Rehabilitation. Dysphagia 2021, 36, 800–820. [Google Scholar] [CrossRef] [PubMed]
  12. Kagaya, H.; Inamoto, Y.; Okada, S.; Saitoh, E. Body positions and functional training to reduce aspiration in patients with dysphagia. JMAJ 2011, 54, 35–38. [Google Scholar]
  13. Bath, P.M.; Lee, H.S.; Everton, L.F. Swallowing therapy for dysphagia in acute and subacute stroke. Cochrane Database Syst. Rev. 2018, 10, CD000323. [Google Scholar] [CrossRef] [PubMed]
  14. Wu, C.N.; Luo, S.D.; Lin, H.C.; Huang, J.T.; Lee, C.H.; Liu, S.Y.; Tsai, M.H.; Wang, C.C.; Fan, S.; Wang, P.S.; et al. Eligibility for live, interactive otolaryngology telemedicine: 19-Month experience before and during the COVID-19 pandemic in Taiwan. Biomed. J. 2021, 44, 582–588. [Google Scholar] [CrossRef] [PubMed]
  15. Tsai, H.H.; Cheng, C.Y.; Shieh, W.Y. Effectiveness of laptop-based versus smartphone-based videoconferencing interaction on loneliness, depression and social support in nursing home residents: A secondary data analysis. J. Telemed. Telecare 2020. [Google Scholar] [CrossRef]
  16. Centers for Disease Control and Prevention. Preparing for Covid-19 in Nursing Homes. Available online: https://pesquisa.bvsalud.org/global-literature-on-novel-coronavirus-2019-ncov/resource/pt/grc-747117 (accessed on 5 October 2022).
  17. Valenzano, T.J.; Guida, B.T.; Peladeau-Pigeon, M.; Steele, C.M. Respiratory-Swallow Coordination in Healthy Adults During Drinking of Thin to Extremely Thick Liquids: A Research Note. J. Speech Lang. Hear. Res. 2020, 63, 702–709. [Google Scholar] [CrossRef]
  18. Hiss, S.G.; Postma, G.N. Fiberoptic endoscopic evaluation of swallowing. Laryngoscope 2003, 113, 1386–1393. [Google Scholar] [CrossRef]
  19. Rofes, L.; Arreola, V.; Mukherjee, R.; Clave, P. Sensitivity and specificity of the Eating Assessment Tool and the Volume-Viscosity Swallow Test for clinical evaluation of oropharyngeal dysphagia. Neurogastroenterol. Motil. 2014, 26, 1256–1265. [Google Scholar] [CrossRef]
  20. Greco, C.S.; Nunes, L.G.; Melo, P.L. Instrumentation for bedside analysis of swallowing disorders. In Proceedings of the 2010 Annual International Conference of the IEEE Engineering in Medicine and Biology, Buenos Aires, Argentina, 31 August–4 September 2010; pp. 923–926. [Google Scholar] [CrossRef]
  21. Shieh, W.Y.; Wang, C.M.; Chang, C.S. Development of a portable non-invasive swallowing and respiration assessment device. Sensors 2015, 15, 12428–12453. [Google Scholar] [CrossRef]
  22. Wang, C.-M.; Shieh, W.-Y.; Weng, Y.-H.; Hsu, Y.-H.; Wu, Y.-R. Non-invasive assessment determine the swallowing and respiration dysfunction in early Parkinson’s disease. Park. Relat. Disord. 2017, 42, 22–27. [Google Scholar] [CrossRef]
  23. Wild, K.; Sharma, N.; Mattek, N.; Karlawish, J.; Riley, T.; Kaye, J. Application of In-Home Monitoring Data to Transition Decisions in Continuing Care Retirement Communities: Usability Study. J. Med. Internet Res. 2021, 23, e18806. [Google Scholar] [CrossRef] [PubMed]
  24. Sakai, K.; Nakayama, E.; Rogus-Pulia, N.; Takehisa, T.; Takehisa, Y.; Urayama, K.Y.; Takahashi, O. Submental Muscle Activity and Its Role in Diagnosing Sarcopenic Dysphagia. Clin. Interv. Aging 2020, 15, 1991–1999. [Google Scholar] [CrossRef] [PubMed]
  25. Schrock, J.W.; Bernstein, J.; Glasenapp, M.; Drogell, K.; Hanna, J. A novel emergency department dysphagia screen for patients presenting with acute stroke. Acad. Emerg. Med. 2011, 18, 584–589. [Google Scholar] [CrossRef] [PubMed]
  26. Ozdemirkiran, T.; Secil, Y.; Tarlaci, S.; Ertekin, C. An EMG screening method (dysphagia limit) for evaluation of neurogenic dysphagia in childhood above 5 years old. Int. J. Pediatr. Otorhinolaryngol. 2007, 71, 403–407. [Google Scholar] [CrossRef]
  27. Larnert, G.; Ekberg, O. Positioning improves the oral and pharyngeal swallowing function in children with cerebral palsy. Acta Paediatr. 1995, 84, 689–692. [Google Scholar] [CrossRef]
  28. Ertekin, C.; Aydogdu, I.; Yuceyar, N. Piecemeal deglutition and dysphagia limit in normal subjects and in patients with swallowing disorders. J. Neurol. Neurosurg. Psychiatry 1996, 61, 491–496. [Google Scholar] [CrossRef]
  29. Ota, K.; Saitoh, E.; Kagaya, H.; Sonoda, S.; Shibata, S. Effect of postural combinations—The reclined seated position combined with head rotation—On the transport of boluses and aspiration. Jpn. J. Compr. Rehabil. Sci. 2011, 2, 36–41. [Google Scholar] [CrossRef]
  30. Park, B.H.; Seo, J.H.; Ko, M.H.; Park, S.H. Effect of 45 degrees reclining sitting posture on swallowing in patients with dysphagia. Yonsei Med. J. 2013, 54, 1137–1142. [Google Scholar] [CrossRef]
  31. Garguilo, M.; Lejaille, M.; Vaugier, I.; Orlikowski, D.; Terzi, N.; Lofaso, F.; Prigent, H. Noninvasive mechanical ventilation improves breathing-swallowing interaction of ventilator dependent neuromuscular patients: A prospective crossover study. PLoS ONE 2016, 11, e0148673. [Google Scholar] [CrossRef]
  32. Otsuka, R.; Ono, T.; Ishiwata, Y.; Kuroda, T. Respiratory-related genioglossus electromyographic activity in response to head rotation and changes in body position. Angle Orthod. 2000, 70, 63–69. [Google Scholar] [CrossRef]
  33. Ota, K.; Saitoh, E.; Matsuo, K. Clinical consideration about the combinations of positioning for dysphagia. J. Clin. Diagn. Res. 2002, 6, 64–67. [Google Scholar]
  34. Steele, C.M.; Grace-Martin, K. Reflections on clinical and statistical use of the penetration-aspiration scale. Dysphagia 2017, 32, 601–616. [Google Scholar] [CrossRef] [PubMed]
Figure 1. (a) Positions of each sensor: sEMG, nasal airflow, and FSR; (b) the circuit of the designed signal collector; (c) the real-time respiratory–swallowing telecare model.
Figure 1. (a) Positions of each sensor: sEMG, nasal airflow, and FSR; (b) the circuit of the designed signal collector; (c) the real-time respiratory–swallowing telecare model.
Sensors 23 00642 g001
Figure 2. Swallowing and respiration signals from three sensors.
Figure 2. Swallowing and respiration signals from three sensors.
Sensors 23 00642 g002
Figure 3. (a) A state diagram that illustrates the warning mechanism; (b) an example of the remote respiratory–swallowing monitoring when a participant is sitting and adopting various trunk inclination positions while swallowing.
Figure 3. (a) A state diagram that illustrates the warning mechanism; (b) an example of the remote respiratory–swallowing monitoring when a participant is sitting and adopting various trunk inclination positions while swallowing.
Sensors 23 00642 g003
Figure 4. Comparisons among four different trunk inclinations and three different food types: (a) DsEMG; (b) SAD; (c) TET; (d) FSR amplitude; (e) D2DEF; (f) onset latency; (g) duration between FSR onset–offset. * p < 0.05.
Figure 4. Comparisons among four different trunk inclinations and three different food types: (a) DsEMG; (b) SAD; (c) TET; (d) FSR amplitude; (e) D2DEF; (f) onset latency; (g) duration between FSR onset–offset. * p < 0.05.
Sensors 23 00642 g004aSensors 23 00642 g004bSensors 23 00642 g004cSensors 23 00642 g004d
Table 1. Variables about the respiration and swallowing signals.
Table 1. Variables about the respiration and swallowing signals.
VariablesDefinitionCalculation
DsEMGDuration of submentalis muscle EMG activityE1 to E3
SADSwallowing apnea duration via nasal airflowA1 to A2
OLOnset latency between sEMG and the thyroid cartilage movementF1 to E1
TETTotal excursion time of the thyroid cartilage excursionF1 to F3
D2DEFDuration of 2nd deflection in the W-shaped response of the thyroid cartilageF2 to F3
FSR AmplitudeThyroid movement
DsEMG onset/offset timeOnset/offset time of sEMGE1/E3
FSR onset/offset timeOnset/offset time of FSRF1/F3
Resp_phaserespiratory phases before/after SADState before A1/state after A2
(i.e., EXP/EXP, EXP/INP, INP/EXP, and INP/INP)
Table 2. Definition of the risk levels.
Table 2. Definition of the risk levels.
Risk LevelEvents Definition
Level 1
(Red alert)
PMD Piece-meal deglutitionTET > T a and
FSR Amplitude < d a
L_SADLong apnea durationSAD > T a
Level 2
(Yellow alert)
L_OnsetLong onset latency between sEMG and thyroid cartilage excursionOL > (1/2)T a
L_TETLong total excursion time of thyroid cartilageTET > T a
L_ D2DEFLong duration of second deflection in the W-shaped response of the thyroid cartilageD2DEF > (1/2)T a
L_ DsEMGLong duration of submental muscle EMG activityDsEMG > T a
U_Resp_phase Unsafe respiratory phases before/after SADNone-EXP/EXP phases before A1 and after A2
a Note. T: a predefined time threshold, d: a predefined pressure threshold.
Table 3. Descriptive statistics of each variable under different inclination angles and food types.
Table 3. Descriptive statistics of each variable under different inclination angles and food types.
VariablesDsEMG
(s)
SAD
(s)
TET
(s)
D2DEF
(s)
FSR Amplitude (V)OL
(s)
ConditionsMean
(SD)
5° vs. 1 mL water1.66
(0.82)
0.58 (0.18)2.12 (0.79)1.19 (0.78)0.51
(0.15)
0.05
(0.28)
5° vs. 10 mL water1.72
(0.64)
0.64 (0.20)2.13 (0.59)1.23 (0.67)0.47
(0.15)
−0.01
(0.26)
5° vs. 5 mL pudding2.17
(1.17)
0.62 (0.21)2.43 (1.36)1.35 (1.17)0.52
(0.31)
0.15
(0.34)
15° vs. 1 mL water1.60
(0.49)
0.59 (0.29)2.02 (0.61)1.24 (0.63)0.49
(0.14)
−0.02
(0.24)
15° vs. 10 mL water1.58
(0.59)
0.63 (0.15)2.22 (0.62)1.41 (0.75)0.49
(0.15)
−0.04
(0.33)
15° vs. 5 mL pudding2.06
(0.84)
0.65 (0.17)2.46 (1.10)1.50 (1.02)0.49
(0.13)
0.05
(0.28)
30° vs. 1 mL water1.59
(0.63)
0.57 (0.13)2.27 (0.92)1.29 (1.09)0.49
(0.18)
0.04
(0.31)
30° vs. 10 mL water1.49
(0.54)
0.64 (0.14)2.27 (0.70)1.32 (0.74)0.50
(0.16)
−0.08
(0.26)
30° vs. 5 mL pudding1.88
(0.73)
0.72 (0.13)2.42 (0.82)1.38 (0.80)0.54
(0.16)
0.07
(0.26)
45° vs. 1 mL water1.46
(0.43)
0.60 (0.12)2.24 (0.68)1.07 (0.61)0.48
(0.21)
0.09
(0.35)
45° vs. 10 mL water1.51
(0.60)
0.69 (0.09)2.34 (0.74)1.25 (0.41)0.52
(0.16)
−0.04
(0.41)
45° vs. 5 mL pudding1.86
(0.81)
0.77 (0.21)2.54 (1.06)1.32 (0.94)0.55
(0.15)
−0.06
(0.45)
Table 4. Differences of variables between different inclination angles and food types.
Table 4. Differences of variables between different inclination angles and food types.
InclinationConditionInteraction
pBonferronipBonferronip
p p
DsEMG0.5165° vs. 15°0.3680.000 *1 mL water × 10 mL water0.7860.459
5° vs. 30°0.904 1 mL water × 5 mL pudding0.000 *
5° vs. 45°0.485 10 mL water × 5 mL pudding0.000 *
15° vs. 30°0.367
15° vs. 45°0.161
30° vs. 45°0.402
SAD0.045 *5° vs. 15°0.6510.000 *1 mL water × 10 mL water0.0690.115
5° vs. 30°0.383 1 mL water × 5 mL pudding0.000 *
5° vs. 45°0.036 * 10 mL water × 5 mL pudding0.016 *
15° vs. 30°0.684
15° vs. 45°0.109
30° vs. 45°0.228
TET0.037 *5° vs. 15°0.4020.048 *1 mL water × 10 mL water0.2920.129
5° × 30°0.096 1 mL water × 5 mL pudding0.047 *
5° vs. 45°0.009 * 10 mL water × 5 mL pudding0.212
15° vs. 30°0.127
15° vs. 45°0.044 *
30° vs. 45°0.517
FSR
Amplitude
0.6285° vs. 15°0.5680.1161 mL water vs. 10 mL water0.7870.441
5° vs. 30°0.742 1 mL water vs. 5 mL pudding0.125
5° vs. 45°0.669 10 mL water vs. 5 mL pudding0.062
15° vs. 30°0.276
15° vs. 45°0.188
30° vs. 45°0.784
D2DEF0.1665° vs. 15°0.0640.043 *1 mL water × 10 mL water0.0520.823
5° vs. 30°0.083 1 mL water × 5 mL pudding0.037 *
5° vs. 45°0.093 10 mL water × 5 mL pudding0.362
15° vs. 30°0.063
15° vs. 45°0.083
30° vs. 45°0.080
OL0.3285° vs. 15°0.0950.0751 mL water × 10 mL water0.0620.057
5° vs. 30°0.087 1 mL water × 5 mL pudding0.803
5° vs. 45°0.254 10 mL water × 5 mL pudding0.056
15° vs. 30°0.623
15° vs. 45°0.995
30° vs. *45°0.793
* p < 0.05. α Alpha value for Bonferroni was 0.05.
Table 5. Signals triggered within different combinations of inclination angles and food types. (Number of participants = 30; repetitions for each combination = 3).
Table 5. Signals triggered within different combinations of inclination angles and food types. (Number of participants = 30; repetitions for each combination = 3).
Inclination15°30°45°15°30°45°15°30°45°
Food types1 mL water10 mL water5 mL pudding
Total trials in each combination909090909090909090909090
Frequency of lights triggered (%)
Base level:
Green indicators
90 (100%)90 (100%)90 (100%)90 (100%)90 (100%)90 (100%)90 (100%)83
(92.2%)
90 (100%)90 (100%)90 (100%)70
(77.8%)
Level 2:
Yellow indicators
0
(0%)
0
(0%)
0
(0%)
0
(0%)
0
(0%)
0
(0%)
0
(0%)
4
(4.4%)
0
(0%)
0
(0%)
0
(0%)
8
(8.9%)
Level 1:
Red indicators
0
(0%)
0
(0%)
0
(0%)
0
(0%)
0
(0%)
0
(0%)
0
(0%)
3
(3.3%)
0
(0%)
0
(0%)
0
(0%)
12
(13.3%)
Disclaimer/Publisher’s Note: The statements, opinions and data contained in all publications are solely those of the individual author(s) and contributor(s) and not of MDPI and/or the editor(s). MDPI and/or the editor(s) disclaim responsibility for any injury to people or property resulting from any ideas, methods, instructions or products referred to in the content.

Share and Cite

MDPI and ACS Style

Shieh, W.-Y.; Wang, C.-M.; Ju, Y.-Y.; Cheng, H.-Y.K. Multi-Sensor Respiratory–Swallow Telecare System for Safe Feeding in Different Trunk Inclinations: System Development and Clinical Application. Sensors 2023, 23, 642. https://doi.org/10.3390/s23020642

AMA Style

Shieh W-Y, Wang C-M, Ju Y-Y, Cheng H-YK. Multi-Sensor Respiratory–Swallow Telecare System for Safe Feeding in Different Trunk Inclinations: System Development and Clinical Application. Sensors. 2023; 23(2):642. https://doi.org/10.3390/s23020642

Chicago/Turabian Style

Shieh, Wann-Yun, Chin-Man Wang, Yan-Ying Ju, and Hsin-Yi Kathy Cheng. 2023. "Multi-Sensor Respiratory–Swallow Telecare System for Safe Feeding in Different Trunk Inclinations: System Development and Clinical Application" Sensors 23, no. 2: 642. https://doi.org/10.3390/s23020642

APA Style

Shieh, W.-Y., Wang, C.-M., Ju, Y.-Y., & Cheng, H.-Y. K. (2023). Multi-Sensor Respiratory–Swallow Telecare System for Safe Feeding in Different Trunk Inclinations: System Development and Clinical Application. Sensors, 23(2), 642. https://doi.org/10.3390/s23020642

Note that from the first issue of 2016, this journal uses article numbers instead of page numbers. See further details here.

Article Metrics

Back to TopTop