Video-Based Behaviorally Coded Movement Assessment for Adolescents with Intellectual Disabilities: Application in Leg Dribbling Performance
Abstract
1. Introduction
2. Materials and Methods
2.1. Participants
2.2. Instruments
2.3. Coded Parameters
2.4. Procedure
3. Results
3.1. Total Time (in Seconds)
3.2. Number of Out of Bounds
3.3. Number of Missed Cones
3.4. Total Number of Kicks
3.5. Total Number of Blocks
3.6. Total Number of Steps
3.7. Total Number of Movement
3.8. Trunk Forward-Backward Angle
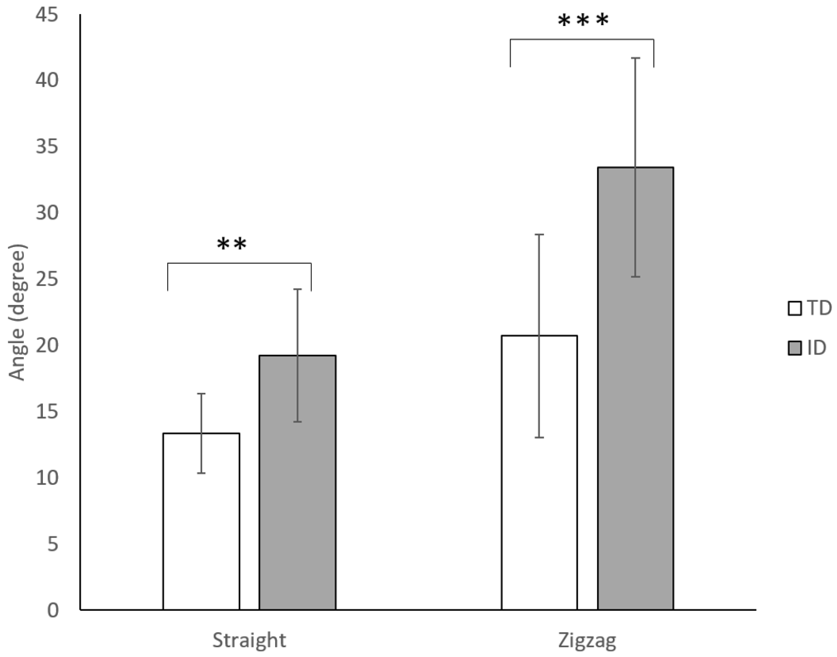
3.9. Trunk Lateral Sway Angle
4. Discussion
5. Conclusions
Author Contributions
Funding
Institutional Review Board Statement
Informed Consent Statement
Data Availability Statement
Acknowledgments
Conflicts of Interest
References
- Giagazoglou, P.; Kokaridas, D.; Sidiropoulou, M.; Patsiaouras, A.; Karra, C.; Neofotistou, K. Effects of a trampoline exercise intervention on motor performance and balance ability of children with intellectual disabilities. Res. Dev. Disabil. 2013, 34, 2701–2707. [Google Scholar] [CrossRef] [PubMed]
- Frey, G.C.F.; Stanish, H.I.; Temple, V.A. Physical activity of youth with intellectual disability: Review and research agenda. Adapt. Phys. Act. 2008, 25, 95–117. [Google Scholar] [CrossRef] [PubMed]
- Carmeli, E.; Bar-Yossef, T.; Ariav, C.; Levy, R.; Liebermann, D.G. Perceptual-motor coordination in persons with mild intellectual disability. Disabil. Rehabil. 2008, 30, 323–329. [Google Scholar] [CrossRef] [PubMed]
- Guidetti, L.; Franciosi, E.; Gallotta, M.C.; Emerenziani, G.P.; Baldari, C. Could sport specialization influence fitness and health of adults with mental retardation? Res. Dev. Disabil. 2010, 31, 1070–1075. [Google Scholar] [CrossRef]
- Hale, L.; Miller, R.; Barach, A.; Skinner, M.; Gray, A. Motor Control Test responses to balance perturbations in adults with an intellectual disability. J. Intellect. Dev. Disabil. 2009, 34, 81–86. [Google Scholar] [CrossRef]
- Lifter, K.; Foster-Sanda, S.; Arzamarski, C.; Briesch, J.; McClure, E. Overview of play: Its uses and importance in early intervention/early childhood special education. Infants Young Child. 2011, 24, 225–245. [Google Scholar] [CrossRef]
- Cabeza-Ruiz, R.; Sánchez-López, A.M.; Trigo, M.E.; Gómez-Píriz, P.T. Feasibility and reliability of the Assessing Levels of Physical Activity health-related fitness test battery in adults with intellectual disabilities. J. Intellect. Disabil. Res. 2020, 64, 612–628. [Google Scholar] [CrossRef]
- Santos, D.P.; Pareja, M.T.; Coll, M.V.G.; Láiz, N.M. Analysis of reaction time in people with and without intellectual disabilities depending on the sport practiced. Cult. Cienc. Y Deporte 2015, 10, 145–154. [Google Scholar] [CrossRef]
- Perera, B.; McCarthy, J.; Courtenay, K. Assessing and managing attention-deficit hyperactivity disorder in people with intellectual disability. BJPsych Adv. 2022, 28, 363–370. [Google Scholar] [CrossRef]
- Balayi, E.; Sedaghati, P.; Ahmadabadi, S. Effects of neuromuscular training on postural control of children with intellectual disability and developmental coordination disorders: Neuromuscular training and postural control. BMC Musculoskelet. Disord. 2022, 23, 631. [Google Scholar] [CrossRef]
- Wang, K.Y.; Hsieh, K.; Heller, T.; Davidson, P.W.; Janicki, M.P.C. reports of health status among adults with intellectual/developmental disabilities in Taiwan living at home and in institutions. J. Intellect. Disabil. Res. 2007, 51, 173–183. [Google Scholar] [CrossRef] [PubMed]
- Smits-Engelsman, B.; Verbecque, E. Pediatric care for children with developmental coordination disorder, can we do better? Biomed. J. 2022, 45, 250–264. [Google Scholar] [CrossRef] [PubMed]
- Iosa, M.; Morelli, D.; Nisi, E.; Sorbara, C.; Negrini, S.; Gentili, P.; Paolucci, S.; Fusco, A. Assessment of upper body accelerations in young adults with intellectual disabilities while walking, running, and dual-task running. Hum. Mov. Sci. 2014, 34, 187–195. [Google Scholar] [CrossRef] [PubMed]
- Kavanagh, J.J.; Menz, H.B. Accelerometry: A technique for quantifying movement patterns during walking. Gait Posture 2008, 28, 1–15. [Google Scholar] [CrossRef] [PubMed]
- Shieh, W.Y.; Ju, Y.Y.; Yu, Y.C.; Lin, C.K.; Lin, Y.T.; Cheng, H.Y.K. Stair-walking performance in adolescents with intellectual disabilities. Sensors 2016, 16, 1066. [Google Scholar] [CrossRef] [PubMed]
- Abreu, P.H.; Moura, J.; Silva, D.C.; Reis, L.P.; Garganta, J. Performance analysis in soccer: A Cartesian coordinates based approach using RoboCup data. Soft Comput. 2012, 16, 47–61. [Google Scholar] [CrossRef]
- Quinzi, F.; Camomilla, V.; Sbriccoli, P.; Piacentini, M.F.; Vannozzi, G. Assessing motor competence in kicking in individuals with Down syndrome through wearable motion sensors. J. Intellect. Disabil. Res. 2022, 66, 558–567. [Google Scholar] [CrossRef]
- Anderson, D.L.; Sidaway, B. Coordination Changes Associated with Practice of a Soccer Kick. Res. Q. Exerc. Sport 1994, 65, 93–99. [Google Scholar] [CrossRef]
- Morgans, R.; Orme, P.; Anderson, L.; Drust, B. Principles and practices of training for soccer. J. Sport Health Sci. 2014, 3, 251–257. [Google Scholar] [CrossRef]
- Young, W.B.; James, R.; Montgomery, I. Is muscle power related to running speed with changed of direction? J. Sport. Med. Phys. Fit. 2002, 42, 282–288. [Google Scholar]
- Leo, M.; Bernava, G.M.; Carcagnì, P.; Distante, C. Video-Based Automatic Baby Motion Analysis for Early Neurological Disorder Diagnosis: State of the Art and Future Directions. Sensors 2022, 22, 866. [Google Scholar] [CrossRef] [PubMed]
- Hunter, H.H.; Ugbolue, U.C.; Sorbie, G.G.; Lam, W.K.; Grace, F.M.; Dello Iacono, A.; Liang, M.; Dutheil, F.; Gu, Y.; Baker, J.S. An evaluation of temporal and club angle parameters during golf swings using low cost video analyses packages. Sci. Rep. 2022, 12, 14012. [Google Scholar] [CrossRef] [PubMed]
- Ozkaya, G.; Jung, H.R.; Jeong, I.S.; Choi, M.R.; Shin, M.Y.; Lin, X.; Heo, W.S.; Kim, M.S.; Kim, E.; Lee, K.K. Data descriptor: Three-dimensional motion capture data during repetitive overarm throwing practice. Sci. Data 2018, 5, 180272. [Google Scholar] [CrossRef] [PubMed]
- Jo, S.; Kim, H.; Song, C. A Novel Approach to Increase Attention during Mirror Therapy among Stroke Patients: A Video-Based Behavioral Analysis. Brain Sci. 2022, 12, 297. [Google Scholar] [CrossRef]
- Johansson, M.; Laureshyn, A.; Nilsson, M. Video analysis of pedestrian movement (VAPM) under different lighting conditions—Method exploration. Energies 2020, 13, 4141. [Google Scholar] [CrossRef]
- Kupper, Z.; Ramseyer, F.; Hoffmann, H.; Kalbermatten, S.; Tschacher, W. Video-based quantification of body movement during social interaction indicates the severity of negative symptoms in patients with schizophrenia. Schizophr. Res. 2010, 121, 90–100. [Google Scholar] [CrossRef]
- Burggraaff, J.; Dorn, J.; D’Souza, M.; Morrison, C.; Kamm, C.P.; Kontschieder, P.; Tewarie, P.; Steinheimer, S.; Sellen, A.; Dahlke, F.; et al. Video-Based Pairwise Comparison: Enabling the Development of Automated Rating of Motor Dysfunction in Multiple Sclerosis. Arch. Phys. Med. Rehabil. 2020, 101, 234–241. [Google Scholar] [CrossRef]
- Papić, V.; Zanchi, V.; Cecić, M. Motion analysis system for identification of 3D human locomotion kinematics data and accuracy testing. Simulation Model. Pract. Theory 2004, 12, 159–170. [Google Scholar] [CrossRef]
- Goffredo, M.; Bouchrika, I.; Carter, J.N.; Nixon, M.S. Performance analysis for gait in camera networks. In Proceedings of the MM’08—Proceedings of the 2008 ACM International Conference on Multimedia, with Co-Located Symposium and Workshops, Vancouver, BC, Canada, 27–31 October 2008; pp. 73–80. [Google Scholar]
- Birch, I.; Vernon, W.; Burrow, G.; Walker, J. The effect of frame rate on the ability of experienced gait analysts to identify characteristics of gait from closed circuit television footage. Sci. Justice 2014, 54, 159–163. [Google Scholar] [CrossRef]
- Euston, M.; Coote, P.; Mahony, R.; Kim, J.; Hamel, T. A complementary filter for attitude estimation of a fixed-wing UAV. In Proceedings of the 2008 IEEE/RSJ International Conference on Intelligent Robots and Systems, Nice, France, 22–26 September 2008; pp. 340–345. [Google Scholar]
- Jankowicz-Szymanska, A.; Mikolajczyk, E.; Wojtanowski, W. The effect of physical training on static balance in young people with intellectual disability. Res. Dev. Disabil. 2012, 33, 675–681. [Google Scholar] [CrossRef]
- Dehghani, M.; Gunay, M. The effect of balance training on static and dynamic balance in children with intellectual disability. J. Appl. Environ. Biol. Sci. 2015, 5, 127–131. [Google Scholar]
- Shieh, W.-Y.; Ju, Y.-Y.; Yu, Y.-C.; Pandelaki, S.; Cheng, H.-Y.K. Development of a Smart Ball to Evaluate Locomotor Performance: Application in Adolescents with Intellectual Disabilities. Sensors 2020, 20, 5444. [Google Scholar] [CrossRef] [PubMed]
- Oppewal, A.; Hilgenkamp, T.I.M. The association between gait and physical fitness in adults with intellectual disabilities. J. Intellect. Disabil. Res. 2018, 62, 454–466. [Google Scholar] [CrossRef] [PubMed]
- Zago, M.; Federolf, P.A.; Levy, S.R.; Condoluci, C.; Galli, M. Down syndrome: Gait pattern alterations in posture space kinematics. IEEE Trans. Neural Syst. Rehabil. Eng. 2019, 27, 1589–1596. [Google Scholar] [CrossRef]
- Trecroci, A.; Bongiovanni, T.; Cavaggioni, L.; Pasta, G.; Formenti, D.; Alberti, G. Agreement between dribble and change of direction deficits to assess directional asymmetry in young elite football players. Symmetry 2020, 12, 787. [Google Scholar] [CrossRef]
- Developing Fundamental Movement Skills: Striking with the Feet. Available online: https://sportnz.org.nz/resources/developing-fundamental-movement-skills/ (accessed on 20 December 2022).
- Black, D.P.; Smith, B.A.; Wu, J.; Ulrich, B.D. Uncontrolled manifold analysis of segmental angle variability during walking: Preadolescents with and without Down syndrome. Exp. Brain Res. 2007, 183, 511–521. [Google Scholar] [CrossRef]
- Marques, M.C.; Pereira, F.; Marinho, D.A.; Reis, M.; Cretu, M.; van den Tillaar, R. A comparison of ball velocity in different kicking positions with dominant and non-dominant leg in junior soccer players. J. Phys. Educ. Sport 2011, 11, 49–56. [Google Scholar]
- Wuang, Y.-P.; Wang, C.-C.; Huang, M.-H.; Su, C.-Y. Prospective Study of the Effect of Sensory Integration, Neurodevelopmental Treatment, and Perceptual-Motor Therapy on the Sensorimotor Performance in Children With Mild Mental Retardation. Am. J. Occup. Ther. 2009, 63, 441–452. [Google Scholar] [CrossRef]
- Chan, Y.S.; Jang, J.T.; Ho, C.S. Effects of physical exercise on children with attention deficit hyperactivity disorder. Biomed. J. 2022, 45, 265–270. [Google Scholar] [CrossRef]







| Source | Parameter | Definition |
|---|---|---|
| Video clips | Total Time (s) | The time participants spent dribbling a soccer ball from the start to finish line. The start was defined as the first part of the ball touched the start line. The finish was defined as the last part of the ball crossed over the finish line. |
| Number of Out of Bounds | How many times the last part of the ball rolled out the side lines. | |
| Number of Missed Cones | During zigzag dribbling, the participants must dribble the ball around five cones placed in the mid-line of the site. The number of missed cones refers to how many cones the ball misses as participants dribbled between the whistles signaling start and finish. | |
| Total Number of Kicks | A kick refers to the action in which a participants’ foot leaves the ground and contacts the ball. The ball and the foot should change in the same direction in at least three consecutive frames. The number of kicks refers to how many times participants kick the ball between the whistles signaling start and finish. The left and right foot was registered separately for further analysis. | |
| Total Number of Blocks | A block refers to the situation in which the foot contacts the ball as it touches the ground. In at least three consecutive frames the ball changes direction but the foot keeps moving in the same direction. The number of blocks refers to how many times participants block the ball between the whistles signaling start and finish. The left and right foot was registered separately for further analysis. | |
| Total Number of Steps | A step refers to the situation in which the foot touches the ground but the ball does not change direction and without touching the ball. The number of steps refers to how many times participants step between the whistles signaling start and finish. The left and right foot was registered separately for further analysis. | |
| Total Number of movements | The total number of movements refers to the sum of all above movements (i.e., kicks, blocks, and steps). The left and right foot was counted separately for further analysis. | |
| Accelerometer | Trunk forward-backward Angle | This angle was defined as the tilt angle of a participant’s trunk on the sagittal plane (forward-backward) during dribbling. A sample waveform of the trunk for-ward-backward tilt angle is depicted in Figure 3. A positive degree indicates forward tilting. |
| Trunk lateral sway Angle | This angle was defined as the sway of a participant’s trunk on the frontal plane during dribbling. |
| Groups | Mean ± SD | p | |
|---|---|---|---|
| Physiological age (years) | TD | 17.64 ± 0.60 | 0.561 |
| ID | 16.98 ± 1.05 | ||
| Height (cm) | TD | 161.75 ± 10.78 | 0.768 |
| ID | 158.74 ± 11.13 | ||
| Gender (M/F) | TD | 11/14 | 0.685 |
| ID | 14/15 |
| Time_Absolute_hms | Time_Absolute_ms | Time_Relative_hms | Time_Relative_ms | Time_Relative_s | Duration_s | Obervation | Event_Log | Subject | Behavior | Event_Type | |
|---|---|---|---|---|---|---|---|---|---|---|---|
| 1 | 14:48:48 | 109 | 00:00:04 | 938 | 4.938 | 19.452 | E09L03 | Event log0001 | E01 | start | State start |
| 2 | 14:48:48 | 610 | 00:00:05 | 439 | 5.439 | 0.534 | E09L03 | Event log0001 | E01 | kickL | State start |
| 3 | 14:48:49 | 143 | 00:00:05 | 973 | 5.973 | 1.535 | E09L03 | Event log0001 | E01 | kickR | State start |
| 4 | 14:48:49 | 944 | 00:00:06 | 773 | 6.773 | 7.374 | E09L03 | Event log0001 | E01 | blockL | State start |
| 5 | 14:48:50 | 678 | 00:00:07 | 507 | 7.507 | 0.467 | E09L03 | Event log0001 | E01 | kickR | State start |
| 6 | 14:48:51 | 145 | 00:00:07 | 974 | 7.974 | 0.634 | E09L03 | Event log0001 | E01 | kickL | State start |
| 7 | 14:48:51 | 779 | 00:00:08 | 608 | 8.608 | 1.935 | E09L03 | Event log0001 | E01 | kickR | State start |
| 8 | 14:48:52 | 814 | 00:00:09 | 643 | 9.643 | 0.534 | E09L03 | Event log0001 | E01 | stepL | State start |
| 9 | 14:48:53 | 348 | 00:00:10 | 177 | 10.177 | 4.771 | E09L03 | Event log0001 | E01 | stepR | State start |
| 10 | 14:48:53 | 715 | 00:00:10 | 544 | 10.544 | 0.634 | E09L03 | Event log0001 | E01 | kickL | State start |
| 11 | 14:48:54 | 348 | 00:00:11 | 178 | 11.178 | 0.5 | E09L03 | Event log0001 | E01 | kickR | State start |
| 12 | 14:48:54 | 849 | 00:00:11 | 678 | 11.678 | 0.667 | E09L03 | Event log0001 | E01 | kickL | State start |
| 13 | 14:48:55 | 516 | 00:00:12 | 345 | 12.345 | 0.567 | E09L03 | Event log0001 | E01 | kickR | State start |
| 14 | 14:48:56 | 84 | 00:00:12 | 913 | 12.913 | 0.567 | E09L03 | Event log0001 | E01 | kickL | State start |
| 15 | 14:48:56 | 651 | 00:00:13 | 480 | 13.48 | 2.302 | E09L03 | Event log0001 | E01 | kickR | State start |
| 16 | 14:48:57 | 318 | 00:00:14 | 147 | 14.147 | 2.369 | E09L03 | Event log0001 | E01 | blockL | State start |
| 17 | 14:48:58 | 119 | 00:00:14 | 948 | 14.948 | 0.5 | E09L03 | Event log0001 | E01 | stepR | State start |
| 18 | 14:48:58 | 619 | 00:00:15 | 448 | 15.448 | 5.439 | E09L03 | Event log0001 | E01 | stepL | State start |
| 19 | 14:48:58 | 953 | 00:00:15 | 782 | 15.782 | 1.268 | E09L03 | Event log0001 | E01 | kickR | State start |
| 20 | 14:48:59 | 687 | 00:00:16 | 516 | 16.516 | 2.536 | E09L03 | Event log0001 | E01 | blockL | State start |
| 21 | 14:49:00 | 221 | 00:00:17 | 50 | 17.5 | 0.534 | E09L03 | Event log0001 | E01 | kickR | State start |
| 22 | 14:49:00 | 755 | 00:00:17 | 584 | 17.584 | 0.701 | E09L03 | Event log0001 | E01 | kickL | State start |
| 23 | 14:49:01 | 455 | 00:00:18 | 285 | 18.285 | 1.401 | E09L03 | Event log0001 | E01 | kickR | State start |
| 24 | 14:49:02 | 223 | 00:00:19 | 52 | 19.052 | 1.201 | E09L03 | Event log0001 | E01 | blockL | State start |
| 25 | 14:49:02 | 857 | 00:00:19 | 686 | 19.686 | 2.569 | E09L03 | Event log0001 | E01 | kickR | State start |
| 26 | 14:49:03 | 424 | 00:00:20 | 253 | 20.253 | 1.468 | E09L03 | Event log0001 | E01 | blockL | State start |
| 27 | 14:49:04 | 58 | 00:00:20 | 886 | 20.886 | 0.567 | E09L03 | Event log0001 | E01 | stepR | State start |
| 28 | 14:49:04 | 625 | 00:00:21 | 454 | 21.454 | 8.329 | E09L03 | Event log0001 | E01 | stepL | State start |
| 29 | 14:49:04 | 892 | 00:00:21 | 721 | 21.721 | 2.569 | E09L03 | Event log0001 | E01 | blockR | State start |
| 30 | 14:49:05 | 426 | 00:00:22 | 255 | 22.255 | 0.634 | E09L03 | Event log0001 | E01 | kickL | State start |
| 31 | 14:49:06 | 60 | 00:00:22 | 889 | 22.889 | 0.734 | E09L03 | Event log0001 | E01 | kickR | State start |
| 32 | 14:49:06 | 794 | 00:00:23 | 623 | 23.623 | 6.16 | E09L03 | Event log0001 | E01 | kickL | State start |
| 33 | 14:49:07 | 461 | 00:00:24 | 290 | 24.29 | 5.493 | E09L03 | Event log0001 | E01 | blockR | State start |
| 34 | 14:49:07 | 561 | 00:00:24 | 391 | 24.391 | 5.392 | E09L03 | Event log0001 | E01 | stop | State start |
| Straight-Line | Zigzag | ||||
|---|---|---|---|---|---|
| Groups | Mean ± SD | t | Mean ± SD | t | |
| Total Time (s) | TD | 8.08 ± 2.08 | 5.269 *** | 16.35 ± 4.41 | 6.153 *** |
| ID | 12.94 ± 4.77 | 29.12 ± 10.97 | |||
| Number of Out of Bounds | TD | 0.11 ± 0.62 | 4.327 ** | 0.32 ± 0.46 | 5.296 *** |
| ID | 0.19 ± 0.24 | 1.25 ± 0.95 | |||
| Number of Missed Cones | TD | - | - | 0.13 ± 0.31 | 1.903 |
| ID | - | 0.39 ± 0.72 | |||
| Total Number of Kicks | TD | 4.55 ± 1.33 | 3.553 ** | 11.28 ± 2.94 | 2.092 * |
| ID | 7.20 ± 3.64 | 17.68 ± 15.27 | |||
| Total Number of Blocks | TD | 1.62 ± 1.27 | 2.279 * | 2.55 ± 1.76 | 2.989 ** |
| ID | 3.40 ± 3.30 | 6.28 ± 5.53 | |||
| Total Number of Steps | TD | 13.59 ± 3.18 | 1.716 | 20.34 ± 4.83 | 4.067 *** |
| ID | 16.72 ± 7.96 | 34.80 ± 17.02 | |||
| Total Number of Movement | TD | 19.76 ± 3.51 | 3.553 ** | 34.17 ± 5.45 | 2.320 ** |
| ID | 27.32 ± 9.39 | 58.76 ± 34.20 | |||
| Trunk forward- backward angle | TD | 27.64 ± 3.32 | −4.723 *** | 45.32 ± 7.65 | 1.929 |
| ID | 33.28 ± 5.577 | 40.66 ± 6.87 | |||
| Trunk lateral sway angle | TD | 13.36 ± 4.82 | −3.345 ** | 20.72 ± 6.97 | −4.077 *** |
| ID | 19.24 ± 7.92 | 33.45 ± 15.04 | |||
Disclaimer/Publisher’s Note: The statements, opinions and data contained in all publications are solely those of the individual author(s) and contributor(s) and not of MDPI and/or the editor(s). MDPI and/or the editor(s) disclaim responsibility for any injury to people or property resulting from any ideas, methods, instructions or products referred to in the content. |
© 2022 by the authors. Licensee MDPI, Basel, Switzerland. This article is an open access article distributed under the terms and conditions of the Creative Commons Attribution (CC BY) license (https://creativecommons.org/licenses/by/4.0/).
Share and Cite
Cheng, H.-Y.K.; Shieh, W.-Y.; Yu, Y.-C.; Li, P.-W.; Ju, Y.-Y. Video-Based Behaviorally Coded Movement Assessment for Adolescents with Intellectual Disabilities: Application in Leg Dribbling Performance. Sensors 2023, 23, 179. https://doi.org/10.3390/s23010179
Cheng H-YK, Shieh W-Y, Yu Y-C, Li P-W, Ju Y-Y. Video-Based Behaviorally Coded Movement Assessment for Adolescents with Intellectual Disabilities: Application in Leg Dribbling Performance. Sensors. 2023; 23(1):179. https://doi.org/10.3390/s23010179
Chicago/Turabian StyleCheng, Hsin-Yi Kathy, Wann-Yun Shieh, Yu-Chun Yu, Pao-Wen Li, and Yan-Ying Ju. 2023. "Video-Based Behaviorally Coded Movement Assessment for Adolescents with Intellectual Disabilities: Application in Leg Dribbling Performance" Sensors 23, no. 1: 179. https://doi.org/10.3390/s23010179
APA StyleCheng, H.-Y. K., Shieh, W.-Y., Yu, Y.-C., Li, P.-W., & Ju, Y.-Y. (2023). Video-Based Behaviorally Coded Movement Assessment for Adolescents with Intellectual Disabilities: Application in Leg Dribbling Performance. Sensors, 23(1), 179. https://doi.org/10.3390/s23010179

