Lead-Free Piezoelectric Acceleration Sensor Built Using a (K,Na)NbO3 Bulk Ceramic Modified by Bi-Based Perovskites
Abstract
1. Introduction
2. Materials and Methods
3. Results
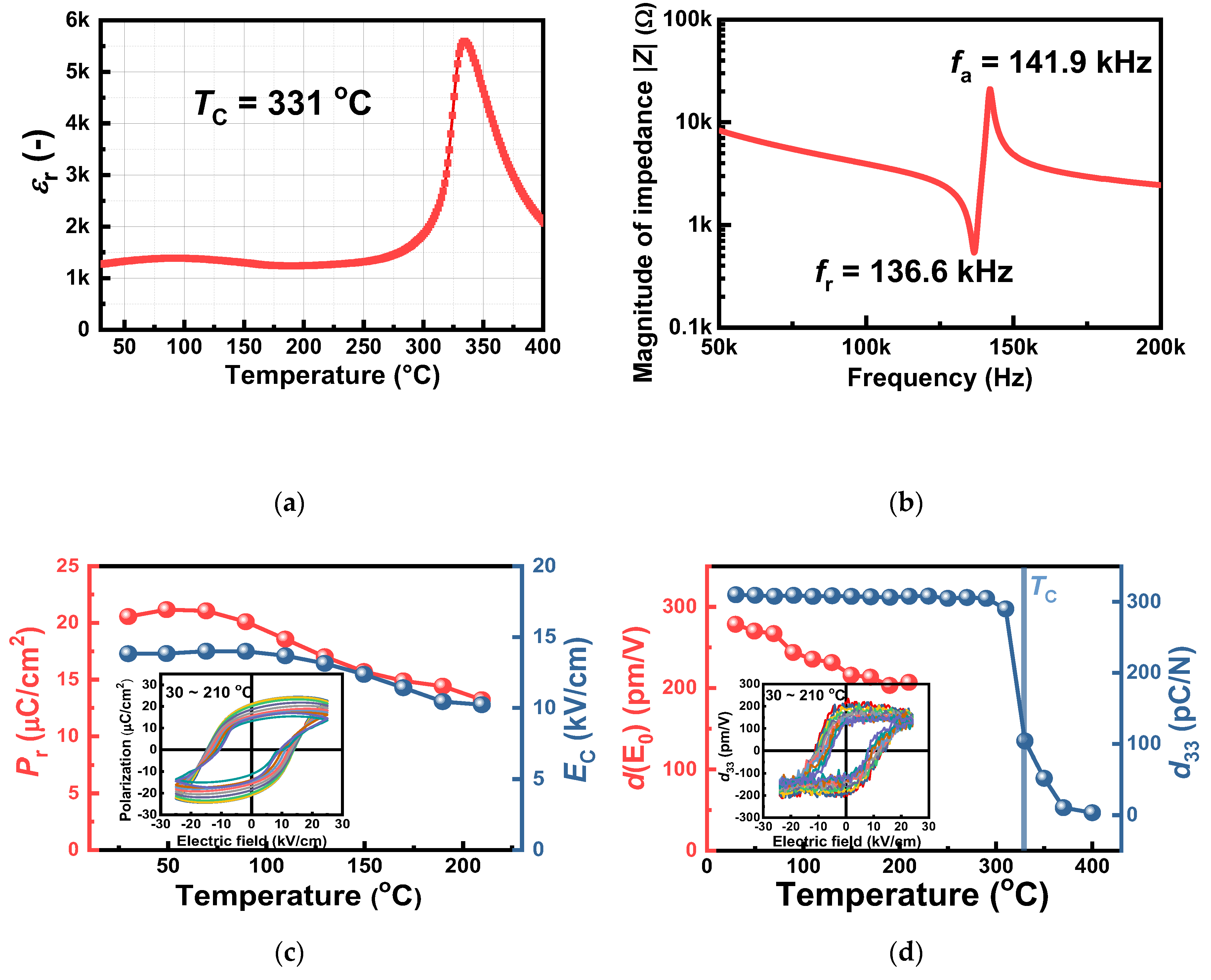
3.1. Properties of Lead-Free KNN-BNKLZ-BS Ceramic Rings
3.2. Numerical Simulations of the KNN-Based Piezoelectric Accelerometer Design
3.3. Characterization of Accelerometer Prototype Built Using Lead-Free KNN-BNKLZ-BS Ceramics
4. Conclusions
Supplementary Materials
Author Contributions
Funding
Institutional Review Board Statement
Informed Consent Statement
Data Availability Statement
Conflicts of Interest
References
- Gautschi, G. Piezoelectric Sensorics: Force, Strain, Pressure, Acceleration and Acoustic Emission Sensors, Materials and Amplifiers; Springer: Berlin, Germany, 2002. [Google Scholar]
- Restriction of the Use of Certain hazardous Substances in Electrical and Electronic Equipment (RoHS), EU-Directive 2002/95/EC. Off. J. Eur. Union 2003, 46, 19–23.
- Rödel, J.; Li, J.F. Lead-free piezoceramics: Status and perspectives. MRS Bull. 2018, 43, 576–580. [Google Scholar] [CrossRef]
- Zheng, T.; Wu, J.; Xiao, D.; Zhu, J. Recent development in lead-free perovskite piezoelectric bulk materials. Prog. Mater. Sci. 2018, 98, 552–624. [Google Scholar] [CrossRef]
- Wu, J. Advances in Lead-Free Piezoelectric Materials; Springer: Singapore, 2018. [Google Scholar]
- Aksel, E.; Jones, J.L. Advances in lead-free piezoelectric materials for sensors and actuators. Sensors 2010, 10, 1935–1954. [Google Scholar] [CrossRef]
- Wu, J.; Xiao, D.; Zhu, J. Potassium-sodium niobate lead-free piezoelectric materials: Past, present, and future of phase boundaries. Chem. Rev. 2015, 115, 2559–2595. [Google Scholar] [CrossRef]
- Wu, J.; Xiao, D.; Zhu, J. Potassium-sodium niobate lead-free piezoelectric ceramics: Recent advances and perspectives. J. Mater. Sci. Mater. Electron. 2015, 26, 9297–9308. [Google Scholar] [CrossRef]
- Saito, Y.; Takao, H.; Tani, T.; Nonoyama, T.; Takatori, K.; Homma, T.; Nagaya, T.; Nakamura, M. Lead-free piezoelectrics. Nature 2004, 432, 84–87. [Google Scholar] [CrossRef]
- Xu, K.; Li, J.; Lv, X.; Wu, J.; Zhang, X.; Xiao, D.; Zhu, J. Superior piezoelectric properties in potassium-sodium niobate lead-free ceramics. Adv. Mater. 2016, 28, 8519–8523. [Google Scholar] [CrossRef]
- Wang, X.; Wu, J.; Xiao, D.; Zhu, J.; Cheng, X.; Zheng, T.; Zhang, B.; Lou, X.; Wang, X. Giant piezoelectricity in potassium-sodium niobate lead-free ceramics. J. Am. Chem. Soc. 2014, 136, 2905–2910. [Google Scholar] [CrossRef]
- Wu, B.; Wu, H.; Wu, J.; Xiao, D.; Zhu, J.; Pennycook, S.J. Giant piezoelectricity and high Curie temperature in nanostructured alkali niobate lead-free piezoceramics through phase coexistence. J. Am. Chem. Soc. 2016, 138, 15459–15464. [Google Scholar] [CrossRef]
- Wang, X.; Zheng, T.; Wu, J.; Xiao, D.; Zhu, J.; Wang, H.; Wang, X.; Lou, X.; Gu, Y. Characteristics of giant piezoelectricity around the rhombohedral-tetragonal phase boundary in (K,Na)NbO3-based ceramics with different additives. J. Mater. Chem. A 2015, 3, 15951–15961. [Google Scholar] [CrossRef]
- Wang, X.; Wu, J.; Xiao, D.; Cheng, X.; Zheng, T.; Zhang, B.; Lou, X.; Zhu, J. Large d33 in (K,Na)(Nb,Ta,Sb)O3-(Bi,Na,K)ZrO3 lead-free ceramics. J. Mater. Chem. A 2014, 2, 4122–4126. [Google Scholar] [CrossRef]
- Oh, Y.; Noh, J.; Yoo, J.; Kang, J.; Hwang, L.; Hong, J. Dielectric and piezoelectric properties of CeO2-added nonstoichiometric (Na0.5K0.5)0.97(Nb0.96Sb0.04)O3 ceramics for piezoelectric energy harvesting device applications. IEEE Trans. Ultrason. Ferroelectr. Freq. Control 2011, 58, 1860–1866. [Google Scholar] [CrossRef]
- Kim, S.H.; Leung, A.; Koo, C.Y.; Kuhn, L.; Jiang, W.; Kim, D.J.; Kingon, A.I. Lead-free (Na0.5K0.5)(Nb0.95Ta0.05)O3-BiFeO3 thin films for MEMS piezoelectric vibration energy harvesting devices. Mater. Lett. 2012, 69, 24–26. [Google Scholar] [CrossRef]
- Jeong, C.K.; Park, K.I.; Ryu, J.; Hwang, G.T.; Lee, K.J. Large-area and flexible lead-free nanocomposite generator using alkaline niobate particles and metal nanorod filler. Adv. Funct. Mater. 2014, 24, 2620–2629. [Google Scholar] [CrossRef]
- Seo, I.T.; Choi, C.H.; Song, D.; Jang, M.S.; Kim, B.Y.; Nahm, S.; Kim, Y.S.; Sung, T.H.; Song, H.C. Piezoelectric properties of lead-free piezoelectric ceramics and their energy harvester characteristics. J. Am. Ceram. Soc. 2013, 96, 1024–1028. [Google Scholar] [CrossRef]
- Wang, X.X.; Or, S.W.; Lam, K.H.; Chan, H.L.W.; Choy, P.K.; Liu, P.C.K. Cymbal actuator fabricated using (Na0.46K0.46Li0.08)NbO3 lead-free piezoceramic. J. Electroceram. 2006, 16, 385–388. [Google Scholar] [CrossRef]
- Kim, M.S.; Jeon, S.; Lee, D.S.; Jeong, S.J.; Song, J.S. Lead-free NKN-5LT piezoelectric materials for multilayer ceramic actuator. J. Electroceram. 2009, 23, 372–375. [Google Scholar] [CrossRef]
- Lee, K.S.; Yoo, J.; Hwang, L. Electrical properties of (Na,K,Li)(Nb,Sb,Ta)O3 ceramics for multilayer-type piezoelectric actuator. Ferroelectrics 2017, 515, 18–24. [Google Scholar] [CrossRef]
- Gao, L.; Ko, S.W.; Guo, H.; Hennig, E.; Randall, C.A. Demonstration of copper co-fired (Na,K)NbO3 multilayer structures for piezoelectric applications. J. Am. Ceram. Soc. 2016, 99, 2017–2023. [Google Scholar] [CrossRef]
- Hagh, N.M.; Jadidian, B.; Ashbahian, E.; Safari, A. Lead-free piezoelectric ceramic transducer in the donor-doped K1/2Na1/2NbO3 solid solution system. IEEE Trans. Ultrason. Ferroelectr. Freq. Control 2008, 55, 214–224. [Google Scholar] [CrossRef] [PubMed]
- Shen, Z.Y.; Li, J.F.; Chen, R.M.; Zhou, Q.F.; Shung, K.K. Microscale 1-3-type (Na,K)NbO3-based Pb-free piezocomposites for high-frequency ultrasonic transducer applications. J. Am. Ceram. Soc. 2011, 94, 1346–1349. [Google Scholar] [CrossRef] [PubMed]
- Ma, J.P.; Xue, S.D.; Zhao, X.Y.; Wang, F.F.; Tang, Y.X.; Duan, Z.H.; Wang, T.; Shi, W.Z.; Yue, Q.W.; Zhou, H.F.; et al. High frequency transducer for vessel imaging based on lead-free Mn-doped (K0.44Na0.56)NbO3 single crystal. Appl. Phys. Lett. 2017, 111, 092903. [Google Scholar] [CrossRef]
- Yang, J.O.; Zhu, B.P.; Zhang, Y.; Chen, S.; Yang, X.F.; Wei, W. New KNN-based lead-free piezoelectric ceramic for high-frequency ultrasound transducer applications. Appl. Phys. A 2015, 118, 1177–1181. [Google Scholar]
- Lam, K.H.; Lin, D.M.; Chan, H.L.W. Lead-free acoustic emission sensors. Rev. Sci. Instrum. 2007, 78, 115109. [Google Scholar] [CrossRef]
- Jeong, Y.; Byeon, S.; Park, M.; Yoo, J. Sensitivity properties of acoustic emission sensor using lead-free (Na,K,Li)(Nb,Ta,Zn)O3 system ceramics. Integr. Ferroelectr. 2012, 140, 123–131. [Google Scholar] [CrossRef]
- Hong, J.; Yoo, J.; Lee, K.; Lee, S.; Song, H. Characteristics of acoustic emission sensor using lead-free (Li,Na,K)(Na,Ta,Sb)O3 ceramics for fluid leak detection at power plant valves. Jpn. J. Appl. Phys. 2008, 47, 2192–2194. [Google Scholar] [CrossRef]
- Duan, W.H.; Wang, Q.; Quek, S.T. Applications of piezoelectric materials in structural health monitoring and repair. Materials 2010, 3, 5169–5194. [Google Scholar] [CrossRef]
- Baptista, F.G.; Filho, J.V. A new impedance measurement system for PZT-based structural health monitoring. IEEE Trans. Instrum. Meas. 2009, 58, 3603–3608. [Google Scholar] [CrossRef]
- Choy, S.H.; Wang, X.X.; Chan, H.L.W.; Choy, C.L. Study of compressive type accelerometer based on lead-free BNKBT piezoceramics. Appl. Phys. A 2006, 82, 715–718. [Google Scholar] [CrossRef]
- Choy, S.H.; Wang, X.X.; Chan, H.L.W.; Choy, C.L. Electromechanical and ferroelectric properties of (Bi1/2Na1/2)TiO3-(Bi1/2K1/2)TiO3-(Bi1/2Li1/2)TiO3-BaTiO3 lead-free piezoelectric ceramics for accelerometer application. Appl. Phys. A 2007, 89, 775–781. [Google Scholar] [CrossRef]
- Lee, M.K.; Yang, S.A.; Park, J.J.; Lee, G.J. Proposal of a rhombohedral-tetragonal phase composition for maximizing piezoelectricity of (K,Na)NbO3 ceramics. Sci. Rep. 2019, 9, 4195. [Google Scholar] [CrossRef] [PubMed]
- Shi, H.; Chen, J.; Wang, R.; Dong, S. Full set of material constants of (Na0.5K0.5)NbO3-BaZrO3-(Bi0.5Li0.5)TiO3 lead-free piezoelectric ceramics at the morphotropic phase boundary. J. Alloys Compd. 2016, 655, 290–295. [Google Scholar] [CrossRef]
- Lee, M.K.; Han, S.H.; Park, J.J.; Lee, G.J. A theoretical and empirical investigation of design characteristics in a Pb(Zr,Ti)O3-based piezoelectric accelerometer. Sensors 2020, 20, 3545. [Google Scholar] [CrossRef]
- Lee, M.K.; Bu, S.D.; Lee, G.J. Co-doping effect of BiGaO3 and (Bi,Na,K,Li)ZrO3 on multi-phase structure and piezoelectric properties of (K,Na)NbO3 lead-free ceramics. Energies 2019, 12, 886. [Google Scholar] [CrossRef]
- Cheng, X.; Wu, J.; Wang, X.; Zhang, B.; Zhu, J.; Xiao, D.; Wang, X.; Lou, X. Giant d33 in (K,Na)(Nb,Sb)O3-(Bi,Na,K,Li)ZrO3 based lead free piezoelectrics with high Tc. Appl. Phys. Lett. 2013, 103, 052906. [Google Scholar] [CrossRef]
- Cheng, X.; Gou, Q.; Wu, J.; Wang, X.; Zhang, B.; Xiao, D.; Zhu, J.; Wang, X.; Lou, X. Dielectric, ferroelectric, and piezoelectric properties in potassium sodium niobate ceramics with rhombohedral-orthorhombic and orthorhombic-tetragonal phase boundaries. Ceram. Int. 2014, 40, 5771–5779. [Google Scholar] [CrossRef]
- Cheng, X.; Wu, J.; Wang, X.; Zhang, B.; Lou, X.; Wang, X.; Xiao, D.; Zhu, J. Mediating the contradiction of d33 and Tc in potassium-sodium niobate lead-free piezoceramics. ACS Appl. Mater. Interfaces 2013, 5, 10409–10417. [Google Scholar] [CrossRef]
- Yang, Y.; Dai, Q.; Chen, T.; Liu, Y.; Zhang, T.; Zhang, J. Role of BiScO3 in phase structure and electrical properties of potassium sodium niobate ternary materials. J. Alloys Compd. 2019, 770, 466–472. [Google Scholar] [CrossRef]
- Wang, K.; Yao, F.Z.; Jo, W.; Gobeljic, D.; Shvartsman, V.V.; Lupascu, D.C.; Li, J.F.; Rӧdel, J. Temperature-insensitive (K,Na)NbO3-based lead-free piezoactuator ceramics. Adv. Funct. Mater. 2013, 23, 4079–4089. [Google Scholar] [CrossRef]
- Zhou, J.S.; Wang, K.; Yao, F.Z.; Zheng, T.; Wu, J.; Xiao, D.; Zhu, J.; Li, J.F. Multi-scale thermal stability of niobate-based lead-free piezoceramics with large piezoelectricity. J. Mater. Chem. C 2015, 3, 8780–8787. [Google Scholar] [CrossRef]
- Kwon, J.R. Influence of effective piezoelectric properties on performance of piezoelectric accelerometer for vibration measurements. J. Korean Ceram. Soc. 1995, 32, 945–949. [Google Scholar]
- Koo, G.H. Design, Fabrication, and Calibration of Piezoelectric Accelerometer. Master’s Thesis, Korea Advanced Institute of Science and Technology, Daejeon, Korea, 1989. [Google Scholar]
- Serridge, M.; Licht, T.R. Piezoelectric Accelerometer and Vibration Preamplifiers. In Theory and Application Handbook; Brüel & Kjær: Nærum, Denmark, 1987. [Google Scholar]
- Available online: http://www.skf.com/group/products/condition-monitoring-systems/sensors/vibration-sensors (accessed on 1 August 2022).
- Ross, P. Taguchi Techniques for Quality Engineering; McGraw-Hill: New York, NY, USA, 1996. [Google Scholar]
- Montgomery, D.C. Design Analyses of Experiments, 3rd ed.; John Wiley & Sons: New York, NY, USA, 1997. [Google Scholar]
- Kumar, V. Optimization and modelling of process parameters involved in ultrasonic machining of glass using design of experiments and regression approach. Am. J. Mater. Eng. Technol. 2013, 1, 13–18. [Google Scholar]
- Kumar, J.P.N.; Kumar, S.J.; Jeyathilak, R.K.S.; Venkatesh, M.; Christopher, A.S.; Ganesh, K.C. Effect of design parameters on the static mechanical behavior of metal bellows using design of experiment and finite element analysis. Int. J. Interact. Des. Manuf. 2017, 11, 535–545. [Google Scholar] [CrossRef]
- Huang, D.; Allen, T.T.; Notz, W.I.; Zeng, N. Global optimization of stochastic black-box systems via sequential Kriging meta-models. J. Glob. Optim. 2006, 34, 441–466. [Google Scholar] [CrossRef]







| Material Property | KNN-BNKLZ-BS | PZT (Ref. [36]) |
|---|---|---|
| Weight m (g) | 0.809 | 1.616 |
| Density ρ (kg/m3) | 4101.2 | 7767.7 |
| Outer diameter O.D. (mm) | 12.40 | 12.62 |
| Inner diameter I.D. (mm) | 7.46 | 7.52 |
| Thickness t (mm) | 2.56 | 2.57 |
| Remanent polarization Pr (μC/cm2) | 20.5 | 15.9 |
| Coercive field EC (kV/cm) | 13.8 | 14.7 |
| Dielectric constant εr | 1530 | 1850 |
| Loss factor tanδ | 0.03 | 0.02 |
| Electromechanical coupling factor kp | 0.30 | 0.36 |
| Mechanical quality factor Qm | 72 | 81 |
| Large-signal piezoelectric coefficient d33* (pm/V) | 441.1 | 726.2 |
| Static piezoelectric coefficient d33 (pC/N) | 310.0 ± 4.8 | 400.0 ± 2.1 |
| Curie temperature TC (°C) | 331 | 367 |
| Design no. | x1 (mm) | x2 (mm) | x3 (mm) | x4 (mm) | x5 (mm) | x6 (mm) | Free Mode | Fixed Mode | ||
|---|---|---|---|---|---|---|---|---|---|---|
| fr (kHz) | Sq (pC/g) | fr (kHz) | Sq (pC/g) | |||||||
| 1 | 23 | 7 | 13.94 | 5.68 | 26.4 | 2.35 | 25.9 | 216.8 | 16.6 | 216.8 |
| 2 | 20.5 | 5.75 | 15.1 | 4.91 | 24.4 | 3.2 | 30.6 | 135.3 | 20.8 | 135.3 |
| 3 | 15.08 | 7 | 15.1 | 4.53 | 24.4 | 1.63 | 36.2 | 90.5 | 26.4 | 90.5 |
| 4 | 15 | 4.28 | 15.2 | 4.78 | 24.4 | 3.03 | 41.6 | 57.9 | 32.2 | 57.9 |
| Design No. | Acceleration Range (g) | Pearson’s Correlation Coefficient r | Charge Sensitivity Sq (pC/g) | Weight of Head ms (gram) |
|---|---|---|---|---|
| 1 | 0.1–7 | 1 | 223.8 ± 0.1 | 51.8 |
| 2 | 0.1–10 | 1 | 140.0 ± 0.1 | 33.8 |
| 3 | 0.1–10 | 1 | 94.7 ± 0.03 | 21.6 |
| 4 | 0.1–10 | 0.9999 | 55.1 ± 0.04 | 12.9 |
| Design No. | Frequency Response | Mounted fr (kHz) | ||
|---|---|---|---|---|
| ±5% | ±10% | ±3 dB | ||
| 1 | 10 Hz to 4.2 kHz | 10 Hz to 5 kHz | 10 Hz to8.0 kHz | 14.1 |
| 2 | 10 Hz to 5.1 kHz | 10 Hz to 6.1 kHz | 10 Hz to 9.6 kHz | 17.0 |
| 3 | 10 Hz to 6.9 kHz | 10 Hz to 8.3 Hz | 10 Hz to 12.7 kHz | 21.9 |
| 4 | 10 Hz to 7.1 Hz | 10 Hz to 10.9 kHz | 10 Hz to 16.6 kHz | 28.4 |
Disclaimer/Publisher’s Note: The statements, opinions and data contained in all publications are solely those of the individual author(s) and contributor(s) and not of MDPI and/or the editor(s). MDPI and/or the editor(s) disclaim responsibility for any injury to people or property resulting from any ideas, methods, instructions or products referred to in the content. |
© 2023 by the authors. Licensee MDPI, Basel, Switzerland. This article is an open access article distributed under the terms and conditions of the Creative Commons Attribution (CC BY) license (https://creativecommons.org/licenses/by/4.0/).
Share and Cite
Lee, M.-K.; Kim, B.-H.; Lee, G.-J. Lead-Free Piezoelectric Acceleration Sensor Built Using a (K,Na)NbO3 Bulk Ceramic Modified by Bi-Based Perovskites. Sensors 2023, 23, 1029. https://doi.org/10.3390/s23021029
Lee M-K, Kim B-H, Lee G-J. Lead-Free Piezoelectric Acceleration Sensor Built Using a (K,Na)NbO3 Bulk Ceramic Modified by Bi-Based Perovskites. Sensors. 2023; 23(2):1029. https://doi.org/10.3390/s23021029
Chicago/Turabian StyleLee, Min-Ku, Byung-Hoon Kim, and Gyoung-Ja Lee. 2023. "Lead-Free Piezoelectric Acceleration Sensor Built Using a (K,Na)NbO3 Bulk Ceramic Modified by Bi-Based Perovskites" Sensors 23, no. 2: 1029. https://doi.org/10.3390/s23021029
APA StyleLee, M.-K., Kim, B.-H., & Lee, G.-J. (2023). Lead-Free Piezoelectric Acceleration Sensor Built Using a (K,Na)NbO3 Bulk Ceramic Modified by Bi-Based Perovskites. Sensors, 23(2), 1029. https://doi.org/10.3390/s23021029

