Incipient Fault Detection in a Hydraulic System Using Canonical Variable Analysis Combined with Adaptive Kernel Density Estimation
Abstract
:1. Introduction
2. MSPM for Incipient Faults Detection Section
3. Canonical Variable Analysis of Hydraulic Systems
4. Upper Control Limits Determination Using AKDE
5. Case Study
5.1. Hydraulic Lubrication System of a Large Marine Power Plan
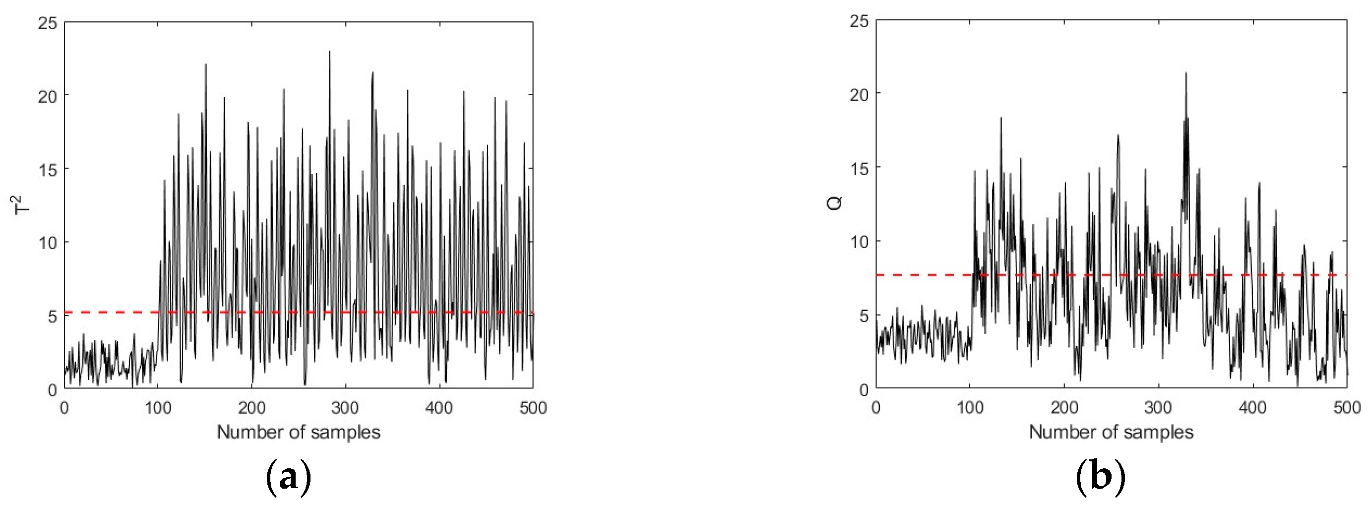
5.2. Incipient Fault Detection Using CVA Combined with AKDE
6. Conclusions
Author Contributions
Funding
Institutional Review Board Statement
Informed Consent Statement
Data Availability Statement
Conflicts of Interest
Abbreviations
| State space vectors | |
| Residual space vectors | |
| Input vectors | |
| Observation vector | |
| , , , and | Unknown nonlinear functions |
| System disturbance noise | |
| System measurement noise | |
| and | Coefficient matrices |
| and | Modelling errors |
| Number of sample data | |
| Number of training sets | |
| All time points | |
| Hankel matrix | |
| Past column measurement vector | |
| Future column measurement vector | |
| Past column measurement matrix | |
| Future column measurement matrix | |
| Correlation of past and future variables | |
| and | Coefficient vectors of the linear combinations |
| Left sight singular vectors of Hankel matrix | |
| Right singular vectors of Hankel matrix | |
| Diagonal matrix of singular values | |
| Hankel matrix | |
| Projection matrices of state space | |
| Projection matrices of residual space | |
| and | Hotelling’s statistics |
| and | Upper control limit of Hotelling’s statistics |
| Initial bandwidth | |
| Bandwidth | |
| Confidence level | |
| Probability density function | |
| Local bandwidth factor | |
| Confidence level | |
| Probability density function | |
| Fault detection rate | |
| Total number of fault samples | |
| Fault sample number identified | |
| , , and | Hydraulic system fault type |
| , , , and | Operating parameters of hydraulic system |
References
- Qiu, Z.; Min, R.; Wang, D.; Fan, S. Energy features fusion based hydraulic cylinder seal wear and internal leakage fault diagnosis method. Measurement 2022, 195, 111042. [Google Scholar] [CrossRef]
- Tang, S.; Zhu, Y.; Yuan, S. An adaptive deep learning model towards fault diagnosis of hydraulic piston pump using pressure signal. Eng. Fail. Anal. 2022, 138, 106300. [Google Scholar] [CrossRef]
- Pilario, K.E.S.; Cao, Y. Canonical variate dissimilarity analysis for process incipient fault detection. IEEE Trans. Ind. Informatics 2018, 14, 5308–5315. [Google Scholar] [CrossRef]
- Isermann, R. Model-based fault-detection and diagnosis—Status and applications. Annu. Rev. Control 2005, 29, 71–85. [Google Scholar] [CrossRef]
- Bensaad, D.; Soualhi, A.; Guillet, F. A new leaky piston identification method in an axial piston pump based on the extended Kalman filter. Measurement 2019, 148, 106921. [Google Scholar] [CrossRef]
- Jiang, W.; Zheng, Z.; Zhu, Y.; Li, Y. Demodulation for hydraulic pump fault signals based on local mean decomposition and improved adaptive multiscale morphology analysis. Mech. Syst. Signal Process. 2015, 58, 179–205. [Google Scholar] [CrossRef]
- Fu, X.-B.; Liu, B.; Zhang, Y.-C.; Lian, L.-N. Fault diagnosis of hydraulic system in large forging hydraulic press. Measurement 2014, 49, 390–396. [Google Scholar] [CrossRef]
- Tang, S.; Zhu, Y.; Yuan, S. Intelligent fault identification of hydraulic pump using deep adaptive normalized CNN and synchrosqueezed wavelet transform. Reliab. Eng. Syst. Saf. 2022, 224, 108560. [Google Scholar] [CrossRef]
- Sepasi, M.; Sassani, F. On-line fault diagnosis of hydraulic systems using Unscented Kalman Filter. Int. J. Control Autom. Syst. 2010, 8, 149–156. [Google Scholar] [CrossRef]
- Ji, X.; Ren, Y.; Tang, H.; Shi, C.; Xiang, J. An intelligent fault diagnosis approach based on Dempster-Shafer theory for hydraulic valves. Measurement 2020, 165, 108129. [Google Scholar] [CrossRef]
- Zhang, H.; Li, P.; Du, H.; Wang, Y.; Nguyen, A. Emerging trends in LPV-based control of intelligent automotive systems. Inst. Eng. Technol. (IET) Control Theory Appl. 2020, 14, 2715–2716. [Google Scholar]
- Arunthavanathan, R.; Khan, F.; Ahmed, S.; Imtiaz, S. A deep learning model for process fault prognosis. Process. Saf. Environ. Prot. 2021, 154, 467–479. [Google Scholar] [CrossRef]
- Deng, Z.; Han, T.; Cheng, Z.; Jiang, J.; Duan, F. Fault detection of petrochemical process based on space-time compressed matrix and Naive Bayes. Process Saf. Environ. Prot. 2022, 160, 327–340. [Google Scholar] [CrossRef]
- Cheded, L.; Doraiswami, R. A novel integrated framework for fault diagnosis with application to process safety. Process Saf. Environ. Prot. 2021, 154, 168–188. [Google Scholar] [CrossRef]
- Huang, K.; Wu, S.; Li, F.; Yang, C.; Gui, W. Fault diagnosis of hydraulic systems based on deep learning model with multirate data samples. IEEE Trans. Neural Networks Learn. Syst. 2022, 33, 6789–6801. [Google Scholar] [CrossRef]
- Vasquez, S.; Kinnaert, M.; Pintelon, R. Active fault diagnosis on a hydraulic pitch system based on frequency-domain identification. IEEE Trans. Control. Syst. Technol. 2019, 27, 663–678. [Google Scholar] [CrossRef]
- Chen, H.; Chua, P.S.; Lim, G. Vibration analysis with lifting scheme and generalized cross validation in fault diagnosis of water hydraulic system. J. Sound Vib. 2007, 301, 458–480. [Google Scholar] [CrossRef]
- Du, J.; Wang, S.; Zhang, H. Layered clustering multi-fault diagnosis for hydraulic piston pump. Mech. Syst. Signal Process. 2013, 36, 487–504. [Google Scholar] [CrossRef]
- Shi, J.; Ren, Y.; Yi, J.; Sun, W.; Tang, H.; Xiang, J. A new multisensor information fusion technique using processed images: Algorithms and application on hydraulic components. IEEE Trans. Instrum. Meas. 2022, 71, 3512712. [Google Scholar] [CrossRef]
- Yang, T.; Yu, X.; Li, G.; Dou, J.; Duan, B. An early fault diagnosis method based on the optimization of a variational modal decomposition and convolutional neural network for aeronautical hydraulic pipe clamps. Meas. Sci. Technol. 2020, 31, 055007. [Google Scholar]
- Barale, M.S.; Shirke, D.T. A control chart based on data depth for monitoring the variability in a multivariate process. Commun. Stat.—Simul. Comput. 2023, 1–15. [Google Scholar] [CrossRef]
- Jiang, Q.; Yan, X.; Huang, B. Performance-driven distributed PCA process monitoring based on fault-relevant variable selection And Bayesian inference. IEEE Trans. Ind. Electron. 2016, 63, 377–386. [Google Scholar] [CrossRef]
- Zhang, K.; Ding, S.X.; Shardt, Y.A.; Chen, Z.; Peng, K. Assessment of T2- and Q-statistics for detecting additive and multiplicative faults in multivariate statistical process monitoring. J. Frankl. Inst. 2017, 354, 668–688. [Google Scholar] [CrossRef]
- Wang, Y.; Si, Y.; Huang, B.; Lou, Z. Survey on the theoretical research and engineering applications of multivariate statistics process monitoring algorithms: 2008–2017. Can. J. Chem. Eng. 2018, 96, 2073–2085. [Google Scholar] [CrossRef]
- Boullosa, D.; Larrabe, J.L.; Lopez, A.; Gomez, M.A. Monitoring through T2 Hotelling of cylinder lubrication process of marine diesel engine. Appl. Therm. Eng. 2017, 110, 32–38. [Google Scholar] [CrossRef]
- Amin, T.; Khan, F.; Ahmed, S.; Imtiaz, S. Risk-based fault detection and diagnosis for nonlinear and non-Gaussian process systems using R-vine copula. Process Saf. Environ. Prot. 2021, 150, 123–136. [Google Scholar] [CrossRef]
- Feng, Z.; Li, Y.; Xiao, B.; Sun, B.; Yang, C. Process monitoring of abnormal working conditions in the zinc roasting process with an ALD-based LOF-PCA method. Process Saf. Environ. Prot. 2022, 161, 640–650. [Google Scholar] [CrossRef]
- Madakyaru, M.; Harrou, F.; Sun, Y. Improved data-based fault detection strategy and application to distillation columns. Process Saf. Environ. Prot. 2017, 107, 22–34. [Google Scholar] [CrossRef]
- Wang, J.; Zhang, C.; Ma, X.; Wang, Z.; Xu, Y.; Cattley, R. A Multivariate statistics-based approach for detecting diesel engine faults with weak signatures. Energies 2020, 13, 873. [Google Scholar] [CrossRef]
- Wang, J.; Lv, X.; Zhou, M.; Vicenc, P. An integrated design method for active fault diagnosis and control. Int. J. Robust Nonlinear Control 2023, 33, 5583–5603. [Google Scholar] [CrossRef]
- Alcala, C.F.; Qin, S.J. Analysis and generalization of fault diagnosis methods for process monitoring. J. Process Control 2011, 21, 322–330. [Google Scholar] [CrossRef]
- Fan, J.; Chow, T.W.S.; Qin, S.J. Kernel-based statistical process monitoring and fault detection in the presence of missing data. IEEE Trans. Ind. Informatics 2022, 18, 4477–4487. [Google Scholar] [CrossRef]
- Harrou, F.; Nounou, M.N.; Nounou, H.N.; Madakyaru, M. Statistical fault detection using PCA-based GLR hypothesis testing. J. Loss Prev. Process Ind. 2013, 26, 129–139. [Google Scholar] [CrossRef]
- Atoui, M.A.; Verron, S.; Kobi, A. Fault detection with conditional gaussian network. Eng. Appl. Artif. Intell. 2015, 45, 473–481. [Google Scholar] [CrossRef]
- Wang, J.; Sun, X.; Zhang, C.; Ma, X. An integrated methodology for system-level early fault detection and isolation. Expert Syst. Appl. 2022, 201, 117080. [Google Scholar] [CrossRef]
- Ku, W.; Storer, R.H.; Georgakis, C. Disturbance detection and isolation by dynamic principal component analysis. Chemom. Intell. Lab. Syst. 1995, 30, 179–196. [Google Scholar] [CrossRef]
- Komulainen, T.; Sourander, M.; Jämsä-Jounela, S.-L. An online application of dynamic PLS to a dearomatization process. Comput. Chem. Eng. 2004, 28, 2611–2619. [Google Scholar] [CrossRef]
- Richard, T.; Uwe, K.; Jonathan, E. Dynamic multivariate statistical process control using subspace identification. J. Process Control 2004, 14, 279–292. [Google Scholar]
- Negiz, A.; Çinar, A. Monitoring of multivariable dynamic processes and sensor auditing. J. Process Control 1998, 8, 375–380. [Google Scholar] [CrossRef]
- de la Fuente, M.J.; Sainz-Palmero, G. Dynamic decentralized monitoring for large-scale industrial processes using multiblock canonical variate analysis based regression. IEEE ACCESS 2023, 11, 26611–26623. [Google Scholar] [CrossRef]
- Odiowei, P.; Cao, Y. Nonlinear dynamic process monitoring using canonical variate analysis and kernel density estimations. IEEE Trans. Ind. Inform. 2009, 6, 36–45. [Google Scholar] [CrossRef]
- Deng, X.; Liu, X.; Cao, Y.; Cong, L.; Li, Z. Incipient fault detection for dynamic chemical processes based on enhanced CVDA integrated with probability information and fault-sensitive features. J. Process Control 2022, 114, 29–41. [Google Scholar] [CrossRef]
- Wu, P.; Ferrari, R.M.G.; Liu, Y.; van Wingerden, J.-W. Data-driven incipient fault detection via canonical variate dissimilarity and mixed kernel principal component analysis. IEEE Trans. Ind. Informatics 2021, 17, 5380–5390. [Google Scholar] [CrossRef]
- Dong, J.; Jiang, L.; Zhang, C.; Peng, K. A novel quality-related incipient fault detection method based on canonical variate analysis and Kullback–Leibler divergence for large-scale industrial processes. IEEE Trans. Instrum. Meas. 2022, 71, 3520410. [Google Scholar] [CrossRef]
- Li, X.; Yang, X.; Yang, Y.; Bennett, I.; Collop, A.; Mba, D. Canonical variate residuals-based contribution map for slowly evolving faults. J. Process Control 2019, 76, 87–97. [Google Scholar] [CrossRef]
- Yang, L.; Liu, Y.; Yang, G.; Peng, S.-T. Dynamic monitoring and anomaly tracing of the quality in tobacco strip processing based on improved canonical variable analysis and transfer entropy. Math. Biosci. Eng. 2023, 20, 15309–15325. [Google Scholar] [CrossRef]
- Davies, T.M.; Lawson, A.B. An evaluation of likelihood-based bandwidth selectors for spatial and spatiotemporal kernel estimates. J. Stat. Comput. Simul. 2019, 89, 1131–1152. [Google Scholar] [CrossRef]
- Heda, K.; Louani, D. Optimal bandwidth selection in kernel density estimation for continuous time dependent processes. Stat. Probab. Lett. 2018, 138, 9–19. [Google Scholar] [CrossRef]
- Yadav, R.; Raj, S.; Pradhan, A.K. Real-time event classification in power system with renewables using kernel density estimation and deep neural network. IEEE Trans. Smart Grid 2019, 10, 6849–6859. [Google Scholar] [CrossRef]
- Zhang, F.; Liu, Y.; Chen, C.; Li, Y.-F.; Huang, H.-Z. Fault diagnosis of rotating machinery based on kernel density estimation and Kullback-Leibler divergence. J. Mech. Sci. Technol. 2014, 28, 4441–4454. [Google Scholar] [CrossRef]
- Martin, E.; Morris, A. Non-parametric confidence bounds for process performance monitoring charts. J. Process Control 1996, 6, 349–358. [Google Scholar] [CrossRef]
- Park, G.-D.; Lee, J. Performance improvement of a pressure sensor using fast median algorithm. Int. J. Precis. Eng. Manuf. 2022, 23, 459–468. [Google Scholar] [CrossRef]







| Dataset No. | Fault Type | Working Condition | Dataset Length |
|---|---|---|---|
| A1 | pump failure | 25% full load, 1800 r/min | 400 |
| A2 | pump failure | 50% full load, 1800 r/min | 400 |
| A3 | pump failure | 75% full load, 1800 r/min | 400 |
| A4 | pipe leakage | 25% full load, 1800 r/min | 400 |
| A5 | pipe leakage | 50% full load, 1800 r/min | 400 |
| A6 | pipe leakage | 75% full load, 1800 r/min | 400 |
| A7 | filter blockage | 25% full load, 1800 r/min | 400 |
| A8 | filter blockage | 50% full load, 1800 r/min | 400 |
| A9 | filter blockage | 75% full load, 1800 r/min | 400 |
| Working Condition | Fault Type | Pauta Criterion | PLS | PCA | CVA with AKDE |
|---|---|---|---|---|---|
| 25% full load, 1800 r/min | pump failure | 0.4125 | 0.7325 | 0.7250 | 0.8200 |
| pipe leakage | 0.4025 | 0.5800 | 0.6875 | 0.8250 | |
| filter blockage | 0.7075 | 0.5925 | 0.7525 | 0.8400 | |
| 50% full load, 1800 r/min | pump failure | 0.3600 | 0.6950 | 0.7475 | 0.8675 |
| pipe leakage | 0.4125 | 0.6300 | 0.7925 | 0.8925 | |
| filter blockage | 0.5675 | 0.6825 | 0.7900 | 0.8750 | |
| 75% full load, 1800 r/min | pump failure | 0.4800 | 0.6750 | 0.6400 | 0.8875 |
| pipe leakage | 0.6450 | 0.7575 | 0.7100 | 0.8225 | |
| filter blockage | 0.5700 | 0.6425 | 0.6550 | 0.8725 |
| Method Type | Time Consumption (Second) | ||||||||||
|---|---|---|---|---|---|---|---|---|---|---|---|
| Test 1 | Test 2 | Test 3 | Test 4 | Test 5 | Test 6 | Test 7 | Test 8 | Test 9 | Test 10 | Average | |
| PCA | 1.5157 | 1.5909 | 1.4964 | 1.4989 | 1.4711 | 1.5309 | 1.4597 | 1.5190 | 1.4909 | 1.5225 | 1.5096 |
| CVA with AKDE | 1.1756 | 1.2176 | 1.2517 | 1.1536 | 1.1662 | 1.1707 | 1.1116 | 1.1674 | 1.1731 | 1.0909 | 1.1678 |
Disclaimer/Publisher’s Note: The statements, opinions and data contained in all publications are solely those of the individual author(s) and contributor(s) and not of MDPI and/or the editor(s). MDPI and/or the editor(s) disclaim responsibility for any injury to people or property resulting from any ideas, methods, instructions or products referred to in the content. |
© 2023 by the authors. Licensee MDPI, Basel, Switzerland. This article is an open access article distributed under the terms and conditions of the Creative Commons Attribution (CC BY) license (https://creativecommons.org/licenses/by/4.0/).
Share and Cite
Wang, J.; Zhao, S.; Wang, E.; Zhao, J.; Liu, X.; Li, Z. Incipient Fault Detection in a Hydraulic System Using Canonical Variable Analysis Combined with Adaptive Kernel Density Estimation. Sensors 2023, 23, 8096. https://doi.org/10.3390/s23198096
Wang J, Zhao S, Wang E, Zhao J, Liu X, Li Z. Incipient Fault Detection in a Hydraulic System Using Canonical Variable Analysis Combined with Adaptive Kernel Density Estimation. Sensors. 2023; 23(19):8096. https://doi.org/10.3390/s23198096
Chicago/Turabian StyleWang, Jinxin, Shenglei Zhao, Enyuan Wang, Jiyun Zhao, Xiaofei Liu, and Zhonghui Li. 2023. "Incipient Fault Detection in a Hydraulic System Using Canonical Variable Analysis Combined with Adaptive Kernel Density Estimation" Sensors 23, no. 19: 8096. https://doi.org/10.3390/s23198096
APA StyleWang, J., Zhao, S., Wang, E., Zhao, J., Liu, X., & Li, Z. (2023). Incipient Fault Detection in a Hydraulic System Using Canonical Variable Analysis Combined with Adaptive Kernel Density Estimation. Sensors, 23(19), 8096. https://doi.org/10.3390/s23198096

