Temperature Dependence of the Thermo-Optic Coefficient of SiO2 Glass
Abstract
1. Introduction
2. Determination of the Thermo-Optic Coefficients of SiO2 Samples
3. Ghosh’s Model
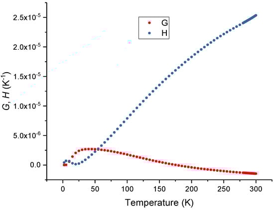
4. Wemple’s Model
5. Conclusions
Funding
Institutional Review Board Statement
Informed Consent Statement
Data Availability Statement
Conflicts of Interest
References
- Ivanov, O.V.; Caldas, P.; Rego, G. High Sensitivity Cryogenic Temperature Sensors Based on Arc-Induced Long-Period Fiber Gratings. Sensors 2022, 22, 7119. [Google Scholar] [CrossRef] [PubMed]
- Flockhart, G.; Maier, R.R.J.; Barton, J.S.; MacPherson, W.; Jones, J.D.C.; Chisholm, K.E.; Zhang, L.; Bennion, I.; Read, I.; Foote, P.D. Quadratic behavior of fiber Bragg grating temperature coefficients. Appl. Opt. 2004, 43, 2744–2751. [Google Scholar] [CrossRef] [PubMed]
- Filho, E.S.D.L.; Baiad, M.D.; Gagné, M.; Kashyap, R. Fiber Bragg gratings for low-temperature measurement. Opt. Express 2014, 22, 27681–27694. [Google Scholar] [CrossRef]
- Hsieh, T.-S.; Chen, Y.-C.; Chiang, C.-C. Analysis and Optimization of Thermodiffusion of an FBG Sensor in the Gas Nitriding Process. Micromachines 2016, 7, 227. [Google Scholar] [CrossRef]
- Brückner, R. Properties and structure of vitreous silica. I. J. Non-Cryst. Solids 1970, 5, 123–175. [Google Scholar] [CrossRef]
- Malitson, I.H. Interspecimen Comparison of the Refractive Index of Fused Silica. J. Opt. Soc. Am. 1965, 55, 1205–1209. [Google Scholar] [CrossRef]
- Butov, O.V.; Golant, K.M.; Tomashuk, A.L.; Van Stralen, M.J.N.; Breuls, A.H.E. Refractive index dispersion of doped silica for fiber optics. Opt. Commun. 2002, 213, 301–308. [Google Scholar] [CrossRef]
- Kitamura, N.; Fukumi, K.; Nishii, J.; Ohno, N. Effect of hydroxyl impurity on temperature coefficient of refractive index of synthetic silica glasses. J. Non-Cryst. Solids 2009, 355, 2216–2219. [Google Scholar] [CrossRef]
- Fleming, J.W.; Shiever, J.W. Thermal History Dependence of Refractive Index Dispersion of Fused Silica. J. Am. Ceram. Soc. 1979, 62, 526. [Google Scholar] [CrossRef]
- Pan, G.; Yu, N.; Meehan, B.; Hawkins, T.W.; Ballato, J.; Dragic, P.D. Thermo-optic coefficient of B2O3 and GeO2 co-doped silica fibers. Opt. Mater. Express 2020, 10, 1509–1521. [Google Scholar] [CrossRef]
- Han, Y.-G.; Han, W.-T.; Lee, B.H.; Paek, U.-C.; Chung, Y.; Kim, C.-S. Temperature sensitivity control and mechanical stress effect of boron-doped long-period fiber gratings. Fiber Integr. Opt. 2001, 20, 591–600. [Google Scholar]
- Shibata, N.; Shibata, S.; Edahiro, T. Refractive index dispersion of lightguide glasses at high temperature. Electron. Lett. 1981, 17, 310–311. [Google Scholar] [CrossRef]
- Waxler, R.M.; Cleek, G.W. The Effect of Temperature and Pressure on the Refractive Index of Some Oxide Glasses. J. Res. Natl. Bur. Stand. A Phys. Chem. 1973, 77, 755–763. [Google Scholar] [CrossRef] [PubMed]
- Ghosh, G. Model for the thermo-optic coefficients of some standard optical glasses. J. Non-Cryst. Solids 1995, 189, 191–196. [Google Scholar] [CrossRef]
- Wray, J.H.; Neu, J.T. Refractive Index of Several Glasses as a Function of Wavelength and Temperature. J. Opt. Soc. Am. 1969, 59, 774–776. [Google Scholar] [CrossRef]
- Shu, X.; Allsop, T.; Gwandu, B.; Zhang, L.; Bennion, I. High-temperature sensitivity of long-period gratings in B-Ge codoped fiber. IEEE Photonics Technol. Lett. 2001, 13, 818–820. [Google Scholar]
- Kim, K.S.; Lines, M.E. Temperature dependence of chromatic dispersion in dispersion-shifted fibers: Experiment and analysis. J. Appl. Phys. 1993, 73, 2069–2074. [Google Scholar] [CrossRef]
- Esposito, M.; Buontempo, S.; Petriccione, A.; Zarrelli, M.; Breglio, G.; Saccomanno, A.; Szillasi, Z.; Makovec, A.; Cusano, A.; Chiuchiolo, A.; et al. Fiber Bragg Grating sensors to measure the coefficient of thermal expansion of polymers at cryogenic temperatures. Sens. Actuators A Phys. 2013, 189, 195–203. [Google Scholar] [CrossRef]
- Jewell, J.M.; Askins, C.; Aggarwal, I.D. Interferometric method for concurrent measurement of thermo-optic and thermal expansion coefficients. Appl. Opt. 1991, 30, 3656–3660. [Google Scholar] [CrossRef]
- Fleming, J.W. Dispersion in GeO2-SiO2 Glasses. Appl. Opt. 1984, 23, 4486–4493. [Google Scholar] [CrossRef]
- Fleming, J.W. Material and Mode Dispersion in GeO2·B2O3·SiC2 Glasses. J. Am. Ceram. Soc. 1976, 59, 503–507. [Google Scholar] [CrossRef]
- Dragic, P.D.; Cavillon, M.; Ballato, A.; Ballato, J. A unified materials approach to mitigating optical nonlinearities in optical fiber. II. A. Material additivity models and basic glass properties. Int. J. Appl. Glass Sci. 2018, 9, 278–287. [Google Scholar]
- Huang, Y.Y.; Sarkar, A.; Schultz, P.C. Relationship between composition, density and refractive index for germania silica glasses. J. Non-Cryst. Solids 1978, 27, 29–37. [Google Scholar] [CrossRef]
- Ghosh, G. Temperature dispersion of refractive indexes in some silicate fiber glasses. IEEE Photon-Technol. Lett. 1994, 6, 431–433. [Google Scholar] [CrossRef]
- Ghosh, G. Preface. In Handbook of Optical Constants of Solids; Palik, E.D., Ed.; Academic Press: Cambridge, MA, USA, 2002. [Google Scholar]
- Wemple, S.H. Material dispersion in optical fibers. Appl. Opt. 1979, 18, 31–35. [Google Scholar] [CrossRef]
- Hammond, C.R. Silica-based binary glass systems: Wavelength dispersive properties and composition in optical fibres. Opt. Quantum Electron. 1978, 10, 163–170. [Google Scholar] [CrossRef]
- Hammond, C.R.; Norman, S.R. Silica based binary glass systems ? Refractive index behaviour and composition in optical fibres. Opt. Quantum Electron. 1977, 9, 399–409. [Google Scholar] [CrossRef]
- Wemple, S.H.; Pinnow, D.A.; Rich, T.C.; Jaeger, R.E.; Van Uitert, L.G. Binary SiO2–B2O3 glass system: Refractive index behavior and energy gap considerations. J. Appl. Phys. 1973, 44, 5432–5437. [Google Scholar] [CrossRef]
- Rajini-Kumar, R.; Suesser, M.; Narayankhedkar, K.; Krieg, G.; Atrey, M. Performance evaluation of metal-coated fiber Bragg grating sensors for sensing cryogenic temperature. Cryogenics 2008, 48, 142–147. [Google Scholar] [CrossRef]
- Halstuch, A.; Shamir, A.; Ishaaya, A.A. Femtosecond inscription of fiber Bragg gratings through the coating with a Low-NA lens. Opt. Express 2019, 27, 16935–16944. [Google Scholar] [CrossRef]
- Tentori-Santa-Cruz, D.; Lerma, J.R. Refractometry by minimum deviation: Accuracy analysis. Opt. Eng. 1990, 29, 160–168. [Google Scholar] [CrossRef]
- Kuiper, M.; Koops, R.; Nieuwland, R.; van der Pol, E. Method to traceably determine the refractive index by measuring the angle of minimum deviation. Metrologia 2022, 59, 055006. [Google Scholar] [CrossRef]
- Haken, U.; Humbach, O.; Ortner, S.; Fabian, H. Refractive index of silica glass: Influence of fictive temperature. J. Non-Cryst. Solids 2000, 265, 9–18. [Google Scholar] [CrossRef]
- Kim, D.-L.; Tomozawa, M.; Dubois, S.; Orcel, G. Fictive temperature measurement of single-mode optical-fiber core and cladding. J. Light. Technol. 2001, 19, 1155–1158. [Google Scholar]
- Kim, D.-L.; Tomozawa, M. Fictive temperature of silica glass optical fibers—Re-examination. J. Non-Cryst. Solids 2001, 286, 132–138. [Google Scholar] [CrossRef]
- Gross, T.; Tomozawa, M. Fictive temperature of GeO2 glass: Its determination by IR method and its effects on density and refractive index. J. Non-Cryst. Solids 2007, 353, 4762–4766. [Google Scholar] [CrossRef]
- Kakiuchida, H.; Saito, K.; Ikushima, A.J. Precise determination of fictive temperature of silica glass by infrared absorption spectrum. J. Appl. Phys. 2003, 93, 777–779. [Google Scholar] [CrossRef]
- Kakiuchida, H.; Saito, K.; Ikushima, A.J. Refractive Index, Density and Polarizability of Silica Glass with Various Fictive Temperatures. Jpn. J. Appl. Phys. 2004, 43, L743–L745. [Google Scholar] [CrossRef]
- Devyatykh, G.G.; Dianov, E.M.; Karpychev, N.S.; Mazavin, S.M.; Mashinskiĭ, V.M.; Neustruev, V.B.; Nikolaĭchik, A.V.; Prokhorov, A.M.; Ritus, A.I.; Sokolov, N.I.; et al. Material dispersion and Rayleigh scattering in glassy germanium dioxide, a substance with promising applications in low-loss optical fiber waveguides. Sov. J. Quantum Electron. 1980, 10, 900–902. [Google Scholar] [CrossRef]
- Wang, P.; Jenkins, M.H.; Gaylord, T.K. Arc-discharge effects on residual stress and refractive index in single-mode optical fibers. Appl. Opt. 2016, 55, 2451–2456. [Google Scholar] [CrossRef]
- Abrishamian, F.; Dragomir, N.; Morishita, K. Refractive index profile changes caused by arc discharge in long-period fiber gratings fabricated by a point-by-point method. Appl. Opt. 2012, 51, 8271–8276. [Google Scholar] [CrossRef] [PubMed]
- Dürr, F.; Rego, G.; Marques, P.V.S.; Semjonov, S.L.; Dianov, E.M.; Limberger, H.G.; Salathé, R. Tomographic stress profiling of arc-induced long-period fiber gratings. J. Light. Technol. 2005, 23, 3947–3953. [Google Scholar] [CrossRef]
- Hutsel, M.R.; Gaylord, T.K. Residual-stress relaxation and densification in CO2-laser-induced long-period fiber gratings. Appl. Opt. 2012, 51, 6179–6187. [Google Scholar] [CrossRef] [PubMed]
- Rego, G.; Dürr, F.; Marques, P.V.S.; Limberger, H.G. Strong asymmetric stresses arc-induced in pre-annealed nitrogen-doped fibres. Electron. Lett. 2006, 42, 334–335. [Google Scholar] [CrossRef]
- Rego, G. Long-period fiber gratings mechanically induced by winding a string around a fiber/grooved tube set. Microw. Opt. Technol. Lett. 2008, 50, 2064–2068. [Google Scholar] [CrossRef]
- Leviton, D.B.; Frey, B.J. Temperature-dependent absolute refractive index measurements of synthetic fused silica. In Optomechanical Technologies for Astronomy; SPIE: Bellingham, WA, USA, 2006; Volume 6273, pp. 800–810. [Google Scholar]
- Leviton, D.B.; Frey, B.J.; Madison, T.J. Temperature-dependent refractive index of CaF2 and Infrasil 301. In Cryogenic Optical Systems and Instruments XII; SPIE: Bellingham, WA, USA, 2007; Volume 6692, pp. 20–30. [Google Scholar]
- Leviton, D.B.; Miller, K.H.; Quijada, M.A.; Grupp, F.U. Temperature-dependent refractive index measurements of CaF2, Suprasil 3001, and S-FTM16 for the Euclid near-infrared spectrometer and photometer. In Current Developments in Lens Design and Optical Engineering XVI; SPIE: Bellingham, WA, USA, 2015; Volume 9578, pp. 137–148. [Google Scholar]
- Miller, K.H.; Quijada, M.A.; Leviton, D.B. Cryogenic refractive index of Heraeus homosil glass. In Current Developments in Lens Design and Optical Engineering XVIII; SPIE: Bellingham, WA, USA, 2017. [Google Scholar]
- Leviton, D.; Frey, B. Design of a cryogenic high-accuracy absolute prism refractometer for infrared through far-ultraviolet optical materials. In Specialized Optical Developments in Astronomy; SPIE: Bellingham, WA, USA, 2003; Volume 4842, pp. 259–269. [Google Scholar]
- Leviton, D.; Frey, B. Cryogenic High-Accuracy Refraction Measuring System (CHARMS): A new facility for cryogenic infrared through far-ultraviolet refractive index measurements. In Optical Fabrication, Metrology, and Material Advancements for Telescopes; SPIE: Bellingham, WA, USA, 2004; Volume 5494, pp. 492–504. [Google Scholar]
- Yang, N.; Qiu, Q.; Su, J.; Shi, S.J. Research on the temperature characteristics of optical fiber refractive index. Optik 2014, 125, 5813–5815. [Google Scholar] [CrossRef]
- Richet, N.F. Heat capacity and low-frequency vibrational density of states. Inferences for the boson peak of silica and alkali silicate glasses. Phys. B Condens. Matter 2009, 404, 3799–3806. [Google Scholar]
- Tan, C.Z. Dependence of the refractive index on density, temperature, and the wavelength of the incident light. Eur. Phys. J. B 2021, 94, 139. [Google Scholar] [CrossRef]
- Jewell, J.M.; Askins, C.; Aggarwal, I.D. Interferometric technique for the concurrent determination of thermo-optic and thermal expansion coefficients. In Laser-Induced Damage in Optical Materials: 1990; SPIE: Bellingham, WA, USA, 1991; Volume 1441, pp. 38–44. [Google Scholar]
- Matsuoka, J.; Kitamura, N.; Fujinaga, S.; Kitaoka, T.; Yamashita, H. Temperature dependence of refractive index of SiO2 glass. J. Non-Cryst. Solids 1991, 135, 86–89. [Google Scholar] [CrossRef]
- Dupouy, P.-E.; Büchner, M.; Paquier, P.; Trénec, G.; Vigué, J. Interferometric measurement of the temperature dependence of an index of refraction: Application to fused silica. Appl. Opt. 2010, 49, 678–682. [Google Scholar] [CrossRef]
- Jewell, J.M. Thermooptic Coefficients of Some Standard Reference Material Glasses. J. Am. Ceram. Soc. 1991, 74, 1689–1691. [Google Scholar] [CrossRef]
- Tan, C. Review and analysis of refractive index temperature dependence in amorphous SiO2. J. Non-Cryst. Solids 1998, 238, 30–36. [Google Scholar] [CrossRef]
- Okaji, M.; Yamada, N.; Nara, K.; Kato, H. Laser interferometric dilatometer at low temperatures: Application to fused silica SRM 739. Cryogenics 1995, 35, 887–891. [Google Scholar] [CrossRef]
- Patrick, E. Shrinks When It’s Colder; NCSL International Workshop & Symposium: Grapevine, TX, USA, 2022. [Google Scholar]
- Messina, F.; Vella, E.; Cannas, M.; Boscaino, R. Evidence of Delocalized Excitons in Amorphous Solids. Phys. Rev. Lett. 2010, 105, 116401. [Google Scholar] [CrossRef] [PubMed]
- Schreiber, M.; Toyozawa, Y. Numerical Experiments on the Absorption Lineshape of the Exciton under Lattice Vibrations. I. The Overall Lineshape. J. Phys. Soc. Jpn. 1982, 51, 1528–1536. [Google Scholar] [CrossRef]
- Karim, M.F.; Islam, M.F.; Barua, T.; Md, S.; Alim, A. Analysis on Dispersion & Propagation Optical Fiber of Different Materials at Different Temperatures. Am. J. Eng. Res. 2016, 5, 30–36. [Google Scholar]
- Lines, M.E. Physical origin of the temperature dependence of chromatic dispersion in fused silica. J. Appl. Phys. 1993, 73, 2075–2079. [Google Scholar] [CrossRef]













| Sample | n | dn/dT × 10−6 K−1 |
|---|---|---|
| Suprasil 3001 | 1.4446836 | 8.38 |
| Infrasil 301 | 1.4445161 | 8.27 |
| Heraeus Homosil | 1.4444717 | 8.53 |
| Corning 7980 | 1.4444147 | 8.16 |
| Sample | λ0m (nm) | dλ0m/dT (pm/K) | dM0m/dT × 10−3 (ps/nm.km.K) | M (ps/nm.km) | dM/dT × 10−3 (ps/nm.km.K) |
|---|---|---|---|---|---|
| Suprasil | 1275.40 | 22.46 | −2.21 | 21.64 | −1.54 |
| Infrasil | 1276.17 | 17.38 | −1.71 | 21.61 | −1.06 |
| Homosil | 1274.59 | 23.24 | −2.29 | 21.69 | −1.14 |
| Corning | 1274.34 | 32.93 | −3.29 | 22.11 | −5.02 |
| Sample | Ed (eV) | E0 (eV) | El (eV) | E′l (eV/K) |
|---|---|---|---|---|
| Suprasil | 14.755 | 13.296 | 0.13056 | −4.2 × 10−7 |
| Infrasil | 14.716 | 13.266 | 0.13066 | 1.6 × 10−7 |
| Homosil | 14.761 | 13.309 | 0.13056 | 9.7 × 10−7 |
| Corning | 14.631 | 13.188 | 0.13184 | −9.1 × 10−6 |
| Sample | E′d (eV/K) | E′0 (eV/K) | E′l (eV/K) |
|---|---|---|---|
| Suprasil | −2.1 × 10−7 | −2.9 × 10−4 | −4.0 × 10−7 |
| Infrasil | 5.1 × 10−5 | −2.4 × 10−4 | 1.8 × 10−7 |
| Homosil | −1.6 × 10−4 | −4.4 × 10−4 | 9.8 × 10−7 |
| Corning | 6.3 × 10−4 | 3.3 × 10−4 | −8.9 × 10−6 |
Disclaimer/Publisher’s Note: The statements, opinions and data contained in all publications are solely those of the individual author(s) and contributor(s) and not of MDPI and/or the editor(s). MDPI and/or the editor(s) disclaim responsibility for any injury to people or property resulting from any ideas, methods, instructions or products referred to in the content. |
© 2023 by the author. Licensee MDPI, Basel, Switzerland. This article is an open access article distributed under the terms and conditions of the Creative Commons Attribution (CC BY) license (https://creativecommons.org/licenses/by/4.0/).
Share and Cite
Rego, G. Temperature Dependence of the Thermo-Optic Coefficient of SiO2 Glass. Sensors 2023, 23, 6023. https://doi.org/10.3390/s23136023
Rego G. Temperature Dependence of the Thermo-Optic Coefficient of SiO2 Glass. Sensors. 2023; 23(13):6023. https://doi.org/10.3390/s23136023
Chicago/Turabian StyleRego, Gaspar. 2023. "Temperature Dependence of the Thermo-Optic Coefficient of SiO2 Glass" Sensors 23, no. 13: 6023. https://doi.org/10.3390/s23136023
APA StyleRego, G. (2023). Temperature Dependence of the Thermo-Optic Coefficient of SiO2 Glass. Sensors, 23(13), 6023. https://doi.org/10.3390/s23136023

