Prediction of Preterm Labor from the Electrohysterogram Signals Based on Different Gestational Weeks
Abstract
1. Introduction
2. Dataset
3. The Proposed Method
3.1. Preprocessing
3.2. EHG Signal Decomposition
- 1.
- Detecting the local extrema of ;
- 2.
- Synthesizing the upper and lower signal’s envelopes from the detected extrema using cubic spline;
- 3.
- Forming the local mean signal, , by averaging the upper and lower signal’s envelopes;
- 4.
- Subtracting the local mean signal from the original signal to acquire the first possible IMF candidate .
- 1.
- The number of zero-crossings and local extrema must either be equal or differ at most by one.
- 2.
- The average value of the envelopes defined by the local maxima and minima is zero.
3.3. Feature Extraction
3.4. Data Balancing
3.5. Feature Selection
3.6. Data Segmentation
3.7. Classification
4. Results and Discussion
4.1. Selected Features
4.2. Classification Results
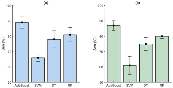
4.3. Sensitivity of Classifiers for Preterm Labor Based on Only Real EHG Data
4.4. Comparison against the State-of-the-Art Methods
4.5. Future Work
5. Conclusions
Author Contributions
Funding
Institutional Review Board Statement
Informed Consent Statement
Data Availability Statement
Conflicts of Interest
Abbreviations
| EHG | electrohysterogram |
| EMD | empirical mode decomposition |
| IMF | intrinsic mode functions |
| RMS | root mean square |
| MTKE | mean Teager–Kaiser energy |
| WLE | wavelet log energy |
| SE | Shannon entropy |
| KFD | Katz fractal dimension |
| HE | Hurst exponent |
| RF | random forest |
| DT | decision tree |
| SVM | support vector machine |
| Acc | accuracy |
| Sen | sensitivity |
| Spe | specificity |
| AUC | area under the curve |
References
- Zhang, Y.; Hao, D.; Yang, L.; Zhou, X.; Ye-Lin, Y.; Yang, Y. Assessment of Features between Multichannel Electrohysterogram for Differentiation of Labors. Sensors 2022, 22, 3352. [Google Scholar] [CrossRef] [PubMed]
- Available online: www.who.int (accessed on 15 September 2019).
- Available online: https://www.euro.who.int/ (accessed on 19 February 2023).
- Frey, H.A.; Klebanoff, M.A. The epidemiology, etiology, and costs of preterm birth. Semin. Fetal Neonatal Med. 2016, 21, 68–73. [Google Scholar] [CrossRef] [PubMed]
- Schleußner, E. The prevention, diagnosis and treatment of premature labor. Dtsch. Arztebl. Int. 2013, 110, 227–235. [Google Scholar] [CrossRef]
- Iams, J.D.; Goldenberg, R.L.; Mercer, B.M.; Moawad, A.H.; Meis, P.J.; Das, A.F.; Caritis, S.N.; Miodovnik, M.; Menard, M.K.; Thurnau, G.R.; et al. The preterm prediction study: Can low-risk women destined for spontaneous preterm birth be identified? Am. J. Obstet. Gynecol. 2001, 184, 652–655. [Google Scholar] [CrossRef]
- Prats-Boluda, G.; Pastor-Tronch, J.; Garcia-Casado, J.; Monfort-Ortíz, R.; Perales Marín, A.; Diago, V.; Roca Prats, A.; Ye-Lin, Y. Optimization of Imminent Labor Prediction Systems in Women with Threatened Preterm Labor Based on Electrohysterography. Sensors 2021, 21, 2496. [Google Scholar] [CrossRef]
- Henderson, J.; Carson, C.; Redshaw, M. Impact of preterm birth on maternal well-being and women’s perceptions of their baby: A population-based survey. BMJ Open 2016, 8, e012676. [Google Scholar] [CrossRef] [PubMed]
- Nieto-del-Amor, F.; Beskhani, R.; Ye-Lin, Y.; Garcia-Casado, J.; Diaz-Martinez, A.; Monfort-Ortiz, R.; Diago-Almela, V.J.; Hao, D.; Prats-Boluda, G. Assessment of Dispersion and Bubble Entropy Measures for Enhancing Preterm Birth Prediction Based on Electrohysterographic Signals. Sensors 2021, 21, 6071. [Google Scholar] [CrossRef]
- Mas-Cabo, J.; Prats-Boluda, G.; Ye-Lin, Y.; Alberola-Rubio, J.; Perales, A.; Garcia-Casado, J. Characterization of the effects of Atosiban on uterine electromyograms recorded in women with threatened preterm labor. Biomed. Signal Process. Control 2019, 52, 198–205. [Google Scholar] [CrossRef]
- Horoba, K.; Wrobel, J.; Jezewski, J.; Kupka, T.; Roj, D.; Jezewski, M. Automated detection of uterine contractions in tocography signals-comparison of algorithms. Biocybern. Biomed. Eng. 2016, 36, 610–618. [Google Scholar] [CrossRef]
- Barber, M.A.; Eguiluz, I.; Plasencia, W.; Medina, M.; Valle, L.; Garcia, J.A. Preterm delivery and ultrasound measurement of cervical length in Gran Canaria, Spain. Int. J. Gynecol. Obstet. 2010, 108, 58–60. [Google Scholar] [CrossRef]
- Mourguesa, C.; Rossic, A.; Favrec, N.; Delabaereb, A.; Roszykd, L.; Sapind, V.; Debost-Legrandb, A.; Gallot, D. Fetal fibronectin test for threatened preterm delivery 48h after admission: Cost-effectiveness study. Eur. J. Obstet. Gynecol. Reprod. Biol. 2019, 234, 75–78. [Google Scholar] [CrossRef] [PubMed]
- Euliano, T.Y.; Darmanjian, M.T.N.M.T.S.; Mcgorray, S.P.; Euliano, N.; Onkala, A.; Gregg, A.R. Monitoring uterine activity during labor: A comparison of 3 methods. Am. J. Obstet. Gynecol. 2013, 208, 66-e1. [Google Scholar] [CrossRef] [PubMed]
- Almeida, M.; Mouriño, H.; Batista, A.G.; Russo, S.; Esgalhado, F.; Reis, C.R.P.d.; Serrano, F.; Ortigueira, M. Electrohysterography extracted features dependency on anthropometric and pregnancy factors. Biomed. Signal Process. Control 2022, 75, 103556. [Google Scholar] [CrossRef]
- Tian, G.; Lang, Z.; Zhang, D.; Anumba, D. A filter-predictor polynomial feature based machine learning approach to predicting preterm birth from cervical electrical impedance spectroscopy. Biomed. Signal Process. Control 2023, 80, 104345. [Google Scholar] [CrossRef]
- Fele-Zorz, G.; Kavsek, G.; Novak-Antolic, Z.; Jager, F. A comparison of various linear and non-linear signal processing techniques to separate uterine EMG records of term and preterm delivery groups. Med. Biol. Eng. Comput. 2008, 46, 911–922. [Google Scholar] [CrossRef] [PubMed]
- Shahrdad, M.; Amirani, M.C. Detection of preterm labor by partitioning and clustering the EHG signal. Biomed. Signal Process. Control 2018, 45, 109–116. [Google Scholar] [CrossRef]
- Nieto-del-Amor, F.; Prats-Boluda, G.; Garcia-Casado, J.; Diaz-Martinez, A.; Diago-Almela, V.J.; Monfort-Ortiz, R.; Hao, D.; Ye-Lin, Y. Combination of Feature Selection and Resampling Methods to Predict Preterm Birth Based on Electrohysterographic Signals from Imbalance Data. Sensors 2022, 22, 5098. [Google Scholar] [CrossRef]
- Esgalhado, F.; Batista, A.G.; Mouriño, H.; Russo, S.; dos Reis, C.R.P.; Serrano, F.; Vassilenko, V.; Duarte Ortigueira, M. Automatic Contraction Detection Using Uterine Electromyography. Appl. Sci. 2020, 10, 7014. [Google Scholar] [CrossRef]
- Şan, M.; Batista, A.; Russo, S.; Esgalhado, F.; dos Reis, C.R.P.; Serrano, F.; Ortigueira, M. A Preliminary Exploration of the Placental Position Influence on Uterine Electromyography Using Fractional Modelling. Sensors 2022, 22, 1704. [Google Scholar] [CrossRef]
- Diaz-Martinez, A.; Monfort-Ortiz, R.; Ye-Lin, Y.; Garcia-Casado, J.; Nieto-Tous, M.; Nieto-Del-Amor, F.; Diago-Almela, V.; Prats-Boluda, G. Uterine myoelectrical activity as biomarker of successful induction with Dinoprostone: Influence of parity. Biocybern. Biomed. Eng. 2023, 43, 142. [Google Scholar] [CrossRef]
- Pirnar, Ž.; Jager, F.; Geršak, K. Characterization and separation of preterm and term spontaneous, induced, and cesarean EHG records. Comput. Biol. Med. 2022, 151, 106238. [Google Scholar] [CrossRef] [PubMed]
- Nieto-del-Amor, F.; Prats-Boluda, G.; Martinez-De-Juan, J.L.; Diaz-Martinez, A.; Monfort-Ortiz, R.; Diago-Almela, V.J.; Ye-Lin, Y. Optimized Feature Subset Selection Using Genetic Algorithm for Preterm Labor Prediction Based on Electrohysterography. Sensors 2021, 21, 3350. [Google Scholar] [CrossRef] [PubMed]
- Beiranvand, M.; Shahbakhti, M.; Eslamizadeh, M.; Bavi, M.; Mohammadifar, S. Investigating Wavelet Energy Vector for pre-term labor detection using EHG signals. In Proceedings of the 2017 Signal Processing: Algorithms, Architectures, Arrangements, and Applications (SPA), Poznan, Poland, 20–22 September 2017; pp. 269–274. [Google Scholar]
- Mohammadi Far, S.; Beiramvand, M.; Shahbakhti, M.; Augustyniak, P. Prediction of Preterm Delivery from Unbalanced EHG Database. Sensors 2022, 22, 1507. [Google Scholar] [CrossRef]
- Jager, F.; Geršak, K.; Vouk, P.; Pirnar, Ž.; Trojner-Bregar, A.; Lucovnik, M.; Borovac, A. Assessing velocity and directionality of uterine electrical activity for preterm birth prediction using EHG surface records. Sensors 2020, 20, 7328. [Google Scholar] [CrossRef]
- Diaz-Martinez, A.; Mas-Cabo, J.; Prats-Boluda, G.; Garcia-Casado, J.; Cardona-Urrego, K.; Monfort-Ortiz, R.; Lopez-Corral, A.; De Arriba-Garcia, M.; Perales, A.; Ye-Lin, Y. A Comparative Study of Vaginal Labor and Caesarean Section Postpartum Uterine Myoelectrical Activity. Sensors 2020, 20, 3023. [Google Scholar] [CrossRef] [PubMed]
- Mas-Cabo, J.; Prats-Boluda, G.; Garcia-Casado, J.; Alberola-Rubio, J.; Monfort-Ortiz, R.; Martinez-Saez, C.; Perales, A.; Ye-Lin, Y. Electrohysterogram for ANN-Based Prediction of Imminent Labor in Women with Threatened Preterm Labor Undergoing Tocolytic Therapy. Sensors 2020, 20, 2681. [Google Scholar] [CrossRef]
- Mas-Cabo, J.; Ye-Lin, Y.; Garcia-Casado, J.; Díaz-Martinez, A.; Perales-Marin, A.; Monfort-Ortiz, R.; Roca-Prats, A.; López-Corral, Á.; Prats-Boluda, G. Robust Characterization of the Uterine Myoelectrical Activity in Different Obstetric Scenarios. Entropy 2020, 22, 743. [Google Scholar] [CrossRef]
- Reyes-Lagos, J.J.; Pliego-Carrillo, A.C.; Ledesma-Ramírez, C.I.; Peña-Castillo, M.Á.; García-González, M.T.; Pacheco-López, G.; Echeverría, J.C. Phase Entropy Analysis of Electrohysterographic Data at the Third Trimester of Human Pregnancy and Active Parturition. Entropy 2020, 22, 798. [Google Scholar] [CrossRef]
- Xu, I.; Chen, Z.; Lou, H.; Shen, G.; Pumir, A. Review on EHG signal analysis and its application in preterm diagnosis. Biomed. Signal Process. Control 2022, 71, 103231. [Google Scholar] [CrossRef]
- Far, D.T.; Beiranvand, M.; Shahbakhti, M. Prediction of preterm labor from EHG signals using statistical and non-linear features. In Proceedings of the 2015 8th Biomedical Engineering International Conference (BMEiCON), Pattaya, Thailand, 25–27 November 2015; pp. 1–5. [Google Scholar]
- Shahbakhti, M.; Beiramvand, M.; Bavi, M.R.; Mohammadi Far, S. A New Efficient Algorithm for Prediction of Preterm Labor. In Proceedings of the 41st Annual International Conference of the IEEE Engineering in Medicine and Biology Society (EMBC), Berlin, Germany, 23–27 July 2019; pp. 4669–4672. [Google Scholar]
- Jager, F.; Libensek, S.; Gersak, K. Characterization and automatic classification of preterm and term uterine records. PLoS ONE 2018, 13, e0202125. [Google Scholar] [CrossRef]
- Huang, N.E.; Shen, Z.; Long, S.R.; Wu, M.C.; Shih, H.H.; Zheng, Q.; Yen, N.C.; Tung, C.C.; Liu, H.H. The empirical mode decomposition and the hilbert spectrum for nonlinear and nonstationary Time Series Analysis. Proc. R. Soc. Lond. A 1971, 454, 903–995. [Google Scholar] [CrossRef]
- Ren, P.; Yao, S.; Li, J.; Valdes-Sosa, P.A.; Kendrick, K.M. Improved prediction of preterm delivery using empirical mode decomposition analysis of uterine electromyography signals. PLoS ONE 2015, 10, e0132116. [Google Scholar] [CrossRef]
- Sadi-Ahmed, N.; Kacha, B.; Taleb, H.; Kedir-Talha, M. Relevant features selection for automatic prediction of preterm deliveries from pregnancy electroHysterograhic (EHG) records. J. Med. Syst. 2017, 41, 1–13. [Google Scholar] [CrossRef]
- Acharya, U.R.; Sudarshan, V.K.; Rong, S.Q.; Tan, Z.; Min, L.C.; Koh, J.E.; Nayak, S.; Bhandary, S.V. Automated detection of premature delivery using empirical mode and wavelet packet decomposition techniques with uterine electromyogram signals. Comput. Biol. Med. 2017, 85, 33–42. [Google Scholar] [CrossRef]
- Khan, M.U.; Sajid, Z.; Sohail, M.; Aziz, S.; Ibraheem, S.; Naavi, S.Z.H. Electrohysterogram based Term and Preterm Delivery Classification System. In Proceedings of the 2020 First International Conference of Smart Systems and Emerging Technologies (SMARTTECH), Riyadh, Saudi Arabia, 3–5 November 2020; pp. 83–88. [Google Scholar]
- Mas-Cabo, J.; Ye-Lin, Y.; Garcia-Casado, J.; Alberola-Rubio, J.; Perales, A.; Prats-Boluda, G. Uterine contractile efficiency indexes for labor prediction: A bivariate approach from multichannel electrohysterographic records. Biomed. Signal Process. Control 2018, 46, 238–248. [Google Scholar] [CrossRef]
- Peng, J.; Hao, D.; Yang, L.; Dua, M.; Song, X.; Jiang, H.; Zhang, Y.; Zheng, D. Evaluation of electrohysterogram measured from different gestational weeks for recognizing preterm delivery: A preliminary study using random Forest. Biocybern. Biomed. Eng. 2020, 40, 352–362. [Google Scholar] [CrossRef] [PubMed]
- Smrdel, A.; Jager, F. Separating sets of term and pre-term uterine EMG records. Physiol. Meas. 2015, 36, 341–355. [Google Scholar] [CrossRef]
- Ahmed, M.U.; Chanwimalueang, T.; Thayyil, S.; Mandic, D.P. A Multivariate Multiscale Fuzzy Entropy Algorithm with Application to Uterine EMG Complexity Analysis. Entropy 2017, 19, 2. [Google Scholar] [CrossRef]
- Martins, D.; Batista, A.; Mouriño, H.; Russo, S.; Esgalhado, F.; dos Reis, C.R.P.; Serrano, F.; Ortigueira, M. Adaptive Filtering for the Maternal Respiration Signal Attenuation in the Uterine Electromyogram. Sensors 2022, 22, 7638. [Google Scholar] [CrossRef]
- Min, J.; Xiong, C.; Zhang, Y.; Cai, M. Driver fatigue detection based on prefrontal EEG using multi-entropy measures and hybrid model. Biomed. Signal Process. Control 2021, 69, 102857. [Google Scholar] [CrossRef]
- Fergus, P.; Idowu, I.; Hussain, A.; Dobbins, C. Advanced artificial neural network classification for detecting preterm births using EHG records. Neurocomputing 2016, 188, 42–49. [Google Scholar] [CrossRef]
- Gu, X.; Angelov, P.P.; Soares, E.A. A self-adaptive synthetic over-sampling technique for imbalanced classification. Int. J. Intell. Syst. 2020, 35, 923–943. [Google Scholar] [CrossRef]
- Lou, H.; Liu, H.; Chen, Z.; Zhen, Z.; Dong, B.; Xu, J. Bio-process inspired characterization of pregnancy evolution using entropy and its application in preterm birth detection. Biomed. Signal Process. Control 2022, 75, 103587. [Google Scholar] [CrossRef]
- Degbedzui, D.K.; Eminyüksel, M. Accurate diagnosis of term–preterm births by spectral analysis of electrohysterography signals. Comput. Biol. Med. 2020, 119, 103677. [Google Scholar] [CrossRef]
- Hao, D.; Qiu, Q.; Zhou, X.; An, Y.; Peng, J.; Yang, L.; Zheng, D. Application of decision tree in determining the importance of surface electrohysterography signal characteristics for recognizing uterine contractions. Biocybern. Biomed. Eng. 2019, 39, 806–813. [Google Scholar] [CrossRef]
- Močkus, J. On bayesian methods for seeking the extremum. In Lecture Notes in Computer Science; Springer: Berlin, Germany, 1975; Volume 27. [Google Scholar]
- Romero-Morales, H.; Muñoz-Montes de Oca, J.N.; Mora-Martínez, R.; Mina-Paz, Y.; Reyes-Lagos, J.J. Enhancing classification of preterm-term birth using continuous wavelet transform and entropy-based methods of electrohysterogram signals. Front. Endocrinol. 2023, 13, 1035615. [Google Scholar]





| Gestational Time of Recording | Delivery Type | |
|---|---|---|
| Preterm | Term | |
| Before 26th week | Preterm Early (PE), n = 19 | Term Early (TE), n = 143 |
| After 26th week | Preterm Later (PL), n = 19 | Term Later (TL), n = 119 |
| PE-TE Group | |||||||||||
|---|---|---|---|---|---|---|---|---|---|---|---|
| RMS | RMS | WLE | WLE | RMS | WLE | WLE | RMS | RMS | RMS | RMS | WLE |
| MTKE | MTKE | SE | SE | MTKE | SE | KFD | KFD | MTKE | KFD | WLE | SE |
| WLE | WLE | HE | KFD | SE | HE | SE | HE | ||||
| SE | KFD | HE | |||||||||
| PL-TL group | |||||||||||
| RMS | RMS | WLE | WLE | RMS | RMS | WLE | RMS | RMS | RMS | RMS | WLE |
| MTKE | MTKE | SE | SE | KFD | KFD | HE | SE | WLE | MTKE | HE | KFD |
| WLE | WLE | KFD | KFD | SE | HE | HE | KFD | ||||
| SE | HE | HE | |||||||||
| HE | |||||||||||
| Group | PE-TE | PL-TL | ||||||
|---|---|---|---|---|---|---|---|---|
| Classifier | Sen | Spe | Acc | AUC | Sen | Spe | Acc | AUC |
| AdaBoost | 92% | 97% | 95% | 0.99 | 90% | 94% | 93% | 0.98 |
| SVM | 66% | 99% | 83% | 0.93 | 64% | 98% | 81% | 0.89 |
| DT | 85% | 92% | 88% | 0.90 | 85% | 87% | 86% | 0.86 |
| RF | 86% | 96% | 92% | 0.97 | 84% | 96% | 90% | 0.95 |
| Study | Group and No. of Data | Classifier | Acc | Sen | Spe | AUC |
|---|---|---|---|---|---|---|
| Ours | PE (n = 143)-TE (n = 143) | AdaBoost | 95% | 92% | 97% | 0.99 |
| PL (n = 119)-TL (n = 119) | 93% | 90% | 93% | 0.98 | ||
| [42] | PE (n = 135)-TE (n = 143) | RF | 92% | 88% | 96% | 0.88 |
| PL (n = 111)-TL (n = 119) | 93% | 89% | 97% | 0.80 | ||
| [43] | PE (n = 93)-TE (n = 93) | QDA | 97% | 100% | 95% | N.A |
| PL (n = 57)-TL (n = 57) | 100% | 100% | 100% | N.A | ||
| [35] | PE (n = 140)-TE (n = 143) | QDA | 100% | 100% | 100% | 1.0 |
| [44] | PE-TE, n is not reported. | SVM | 96.5% | 94% | 99% | 0.99 |
| PL-TL, n is not reported. | 92.5% | 88% | 97% | 0.98 |
Disclaimer/Publisher’s Note: The statements, opinions and data contained in all publications are solely those of the individual author(s) and contributor(s) and not of MDPI and/or the editor(s). MDPI and/or the editor(s) disclaim responsibility for any injury to people or property resulting from any ideas, methods, instructions or products referred to in the content. |
© 2023 by the authors. Licensee MDPI, Basel, Switzerland. This article is an open access article distributed under the terms and conditions of the Creative Commons Attribution (CC BY) license (https://creativecommons.org/licenses/by/4.0/).
Share and Cite
Mohammadi Far, S.; Beiramvand, M.; Shahbakhti, M.; Augustyniak, P. Prediction of Preterm Labor from the Electrohysterogram Signals Based on Different Gestational Weeks. Sensors 2023, 23, 5965. https://doi.org/10.3390/s23135965
Mohammadi Far S, Beiramvand M, Shahbakhti M, Augustyniak P. Prediction of Preterm Labor from the Electrohysterogram Signals Based on Different Gestational Weeks. Sensors. 2023; 23(13):5965. https://doi.org/10.3390/s23135965
Chicago/Turabian StyleMohammadi Far, Somayeh, Matin Beiramvand, Mohammad Shahbakhti, and Piotr Augustyniak. 2023. "Prediction of Preterm Labor from the Electrohysterogram Signals Based on Different Gestational Weeks" Sensors 23, no. 13: 5965. https://doi.org/10.3390/s23135965
APA StyleMohammadi Far, S., Beiramvand, M., Shahbakhti, M., & Augustyniak, P. (2023). Prediction of Preterm Labor from the Electrohysterogram Signals Based on Different Gestational Weeks. Sensors, 23(13), 5965. https://doi.org/10.3390/s23135965

