Pulse-Modulation Eddy Current Evaluation of Interlaminar Corrosion in Stratified Conductors: Semi-Analytical Modeling and Experiments
Abstract
:1. Introduction
2. Semi-Analytical Modeling Regarding PMEC Evaluation of ILC
2.1. Field Formulation
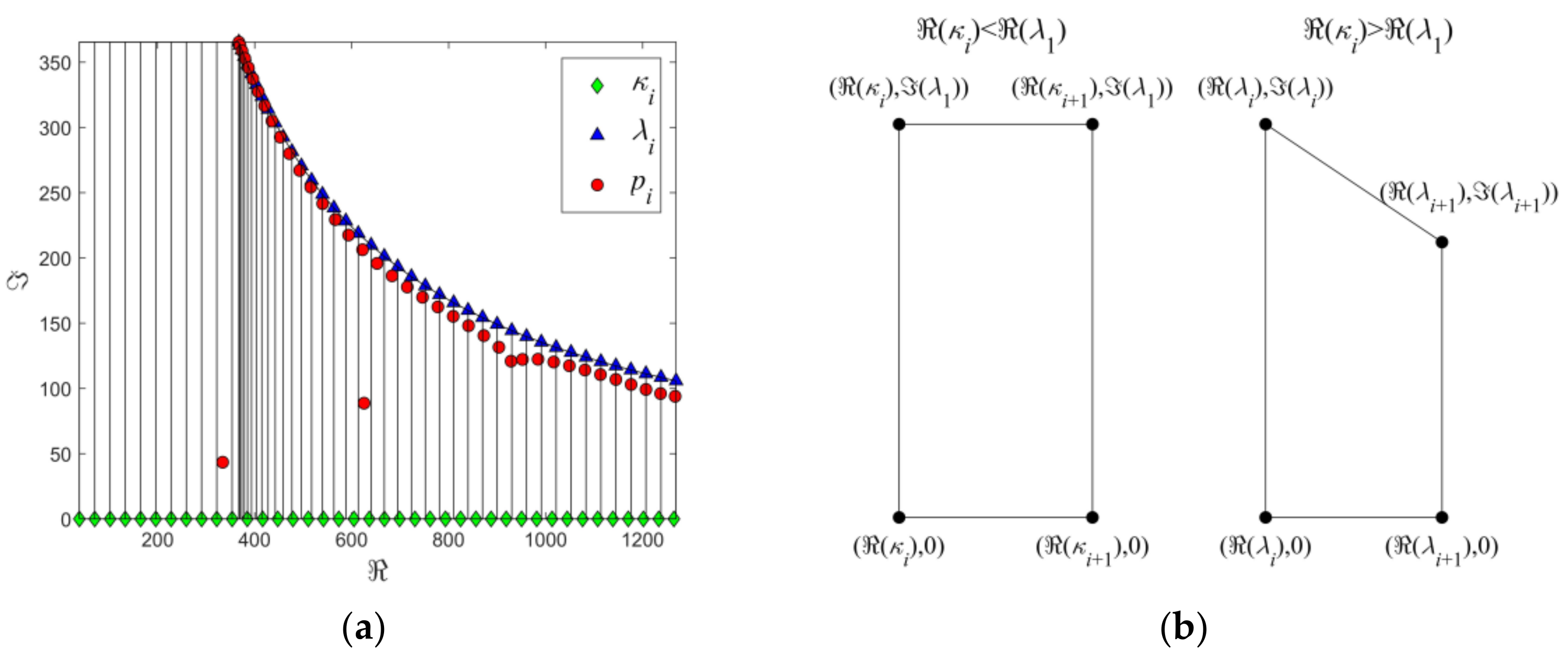
2.2. Numerical Calculation of Eigenvalues
2.3. Verification with the Finite Element Modeling
3. Theoretical Simulations and Discussion
4. Experiments
5. Conclusions
Author Contributions
Funding
Institutional Review Board Statement
Informed Consent Statement
Data Availability Statement
Conflicts of Interest
References
- Geng, Q.; North, W. The detection of inter laminar corrosion in rivetted thin aluminum skins. In Proceedings of the Nondestructive Evaluation of Aging Aircraft, Airports, and Aerospace Hardware II, San Antonio, TX, USA, 31 March 1998; Volume 3397, pp. 256–262. [Google Scholar]
- Yang, S.M.; Sun, Z.Y.; Sun, Q.L.; Wang, Y.; An, S.L. Study on Detection System of Precision Casting Cracks Based on Image Processing. Proc. Spie. 2017, 10420, 104201A. [Google Scholar]
- Kolkoori, S.; Hoehne, C.; Prager, J.; Rethmeier, M.; Kreutzbruck, M. Quantitative evaluation of ultrasonic C-scan image in acoustically homogeneous and layered anisotropic materials using three dimensional ray tracing method. Ultrasonics 2014, 54, 551–562. [Google Scholar] [CrossRef] [PubMed]
- Garcia-Martin, J.; Gomez-Gil, J.; Vazquez-Sanchez, E. Non-Destructive Techniques Based on Eddy Current Testing. Sensors 2011, 11, 2525–2565. [Google Scholar] [CrossRef] [PubMed] [Green Version]
- Alvarenga, T.A.; Carvalho, A.L.; Honorio, L.M.; Cerqueira, A.S.; Luciano, M.A.; Nobrega, R.A. Detection and Classification System for Rail Surface Defects Based on Eddy Current. Sensors 2021, 21, 7937. [Google Scholar] [CrossRef] [PubMed]
- Kokurov, A.M.; Malushin, D.S.; Chichigin, B.A.; Subbotin, D.E.; Kusnetsov, A.O. Defect Characterization in Layered Composites Using a Pulsed Eddy-Current Technique. Tech. Phys. Lett. 2020, 46, 1116–1119. [Google Scholar] [CrossRef]
- Li, K.Y.; Qiu, P.C.; Wang, P.; Lu, Z.X.; Zhang, Z.D. Estimation method of yield strength of ferromagnetic materials based on pulsed eddy current testing. J. Magn. Magn. Mater. 2021, 523, 167647. [Google Scholar] [CrossRef]
- Wang, Z.W.; Yu, Y.T. Traditional Eddy Current-Pulsed Eddy Current Fusion Diagnostic Technique for Multiple Micro-Cracks in Metals. Sensors 2018, 18, 2909. [Google Scholar] [CrossRef] [Green Version]
- Yu, Z.H.; Fu, Y.W.; Jiang, L.F.; Yang, F. Detection of circumferential cracks in heat exchanger tubes using pulsed eddy current testing. NDT E Int. 2021, 121, 102444. [Google Scholar] [CrossRef]
- Bernieri, A.; Ferrigno, L.; Laracca, M.; Rasile, A. Eddy Current Testing Probe Based on Double-Coil Excitation and GMR Sensor. IEEE Trans. Instrum. Meas. 2019, 68, 1533–1542. [Google Scholar] [CrossRef]
- Ge, J.H.; Hu, B.W.; Yang, C.K. Bobbin pulsed eddy current array probe for detection and classification of defects in nonferromagnetic tubes. Sens. Actuat. A Phys. 2021, 317, 112450. [Google Scholar] [CrossRef]
- Wang, H.W.; Huang, J.B.; Liu, L.H.; Qin, S.Q.; Fu, Z.H. A Novel Pulsed Eddy Current Criterion for Non-Ferromagnetic Metal Thickness Quantifications under Large Liftoff. Sensors 2022, 22, 614. [Google Scholar] [CrossRef] [PubMed]
- Song, Y.; Wu, X.J. Thickness measurement for non-ferromagnetic metal under the large liftoff based on the last peak point of differential pulsed eddy current signals. Int. J. Appl. Electromagn. Mech. 2020, 64, 1119–1126. [Google Scholar] [CrossRef]
- Zhang, Q.; Wu, X.J. Wall Thinning Assessment for Ferromagnetic Plate with Pulsed Eddy Current Testing Using Analytical Solution Decoupling Method. Appl. Sci. 2021, 11, 4356. [Google Scholar] [CrossRef]
- Li, Y.; Yan, B.; Li, D.; Jing, H.; Li, Y.; Chen, Z. Pulse-modulation eddy current inspection of subsurface corrosion in conductive structures. NDT E Int. 2016, 79, 142–149. [Google Scholar] [CrossRef]
- Li, Y.; Yan, B.; Li, W.J.; Jing, H.Q.; Chen, Z.M.; Li, D. Pulse-modulation eddy current probes for imaging of external corrosion in nonmagnetic pipes. NDT E Int. 2017, 88, 51–58. [Google Scholar] [CrossRef]
- Li, Y.; Liu, Z.S.; Yan, B.; Wang, Y.; Abidin, I.M.Z.; Chen, Z.M. A funnel-shaped probe for sensitivity enhancement in pulse-modulation eddy current inspection of subsurface flaws in conductors. Sens. Actuat. A Phys. 2020, 307, 111991. [Google Scholar] [CrossRef]
- Yan, B.; Li, Y.; Liu, Z.S.; Ren, S.T.; Abidin, I.M.Z.; Chen, Z.M. Pulse-modulation eddy current imaging and evaluation of subsurface corrosion via the improved small sub-domain filtering method. NDT E Int. 2021, 119, 102404. [Google Scholar] [CrossRef]
- Yan, B.; Li, Y.; Liu, Z.S.; Ren, S.T.; Chen, Z.M.; Lu, X.Z.; Abidin, I.M.Z. Pulse-Modulation Eddy Current Imaging for 3D Profile Reconstruction of Subsurface Corrosion in Metallic Structures of Aviation. IEEE Sens. J. 2021, 21, 28087–28096. [Google Scholar] [CrossRef]
- Li, Y.; Tian, G.Y.; Simm, A. Fast analytical modelling for pulsed eddy current evaluation. NDT E Int. 2008, 41, 477–483. [Google Scholar] [CrossRef]
- Theodoulidis, T.; Bowler, J. Eddy-current interaction of a long coil with a slot in a conductive plate. IEEE T Magn. 2005, 41, 1238–1247. [Google Scholar] [CrossRef]
- Jiang, F.; Liu, S.L. Evaluation of cracks with different hidden depths and shapes using surface magnetic field measurements based on semi-analytical modelling. J. Phys. D Appl. Phys. 2018, 51, 125002. [Google Scholar] [CrossRef]
- Yu, Y.T.; Gao, K.H.; Theodoulidis, T.; Yuan, F. Analytical solution for magnetic field of cylindrical defect in eddy current nondestructive testing. Phys. Scr. 2020, 95, 015501. [Google Scholar] [CrossRef]
- Tytko, G.; Dziczkowski, L. I-Cored Coil Probe Located above a Conductive Plate with a Surface Hole. Meas. Sci. Rev. 2018, 18, 7–12. [Google Scholar] [CrossRef] [Green Version]
- Tytko, G.; Dawidowski, L. Locating complex eigenvalues for analytical eddy-current models used to detect flaws. Compel 2019, 38, 1800–1809. [Google Scholar] [CrossRef]
- Theodoulidis, T.; Bowler, J.R. Interaction of an Eddy-Current Coil with a Right-Angled Conductive Wedge. IEEE T Magn. 2010, 46, 1034–1042. [Google Scholar] [CrossRef]
- Delves, L.M.; Lyness, J.N. A numerical method for locating the zeros of an analytic function. Math. Comput. 1967, 21, 543–560. [Google Scholar] [CrossRef]
- Vasic, D.; Ambrus, D.; Bilas, V. Computation of the Eigenvalues for Bounded Domain Eddy-Current Models with Coupled Regions. IEEE T Magn. 2016, 52, 7004310. [Google Scholar] [CrossRef]
- Strakova, E.; Lukas, D.; Vodstrcil, P. Finding Zeros of Analytic Functions and Local Eigenvalue Analysis Using Contour Integral Method in Examples. Adv. Electr. Electron. 2017, 15, 286–295. [Google Scholar] [CrossRef]














| Symbol | Quantity | Value |
|---|---|---|
| r1 | Inner radius of the coil bottom | 8.0 mm |
| r2 | Inner radius of the coil top | 14.8 mm |
| δ | Coil radial thickness | 0.8 mm |
| z1 | Lift off | 2.0 mm |
| z2 | Position of the coil top | 12.1 mm |
| Ncoil | The number of coil turns | 205 |
| (r, z) | Sensor location | (0, 1) mm |
| Symbol | Quantity | Value |
|---|---|---|
| h | Specimen length | 100 mm |
| d3 = 2dLayer | Specimen thickness | 8.0 mm |
| σ | Specimen conductivity | 34.0 MS/m |
| μr | Specimen relative permeability | 1 |
| d1 | Upper boundary of ILC | 2.0 mm |
| D | ILC thickness | 4.0 mm |
| c | ILC radius | 15.0 mm |
| ILC Radius/Length | ILC Depth | Estimated Area | Actual Area | Relative Error |
|---|---|---|---|---|
| c = 12.5 mm | 2 mm | 471 mm2 | 490.87 mm2 | 4.05% |
| 3 mm | 449 mm2 | 490.87 mm2 | 8.53% | |
| 4 mm | 456 mm2 | 490.87 mm2 | 7.10% | |
| c = 17.5 mm | 2 mm | 957 mm2 | 962.11 mm2 | 0.53% |
| 3 mm | 910 mm2 | 962.11 mm2 | 5.42% | |
| 4 mm | 903 mm2 | 962.11 mm2 | 6.14% | |
| l = 35 mm | 2 mm | 1196 mm2 | 1225 mm2 | 2.37% |
| 3 mm | 1181 mm2 | 1225 mm2 | 3.59% | |
| 4 mm | 1157 mm2 | 1225 mm2 | 5.55% |
| ILC Radius/Length | ILC Depth | Estimated Area | Actual Area | Relative Error |
|---|---|---|---|---|
| c = 12.5 mm | 2 mm | 526 mm2 | 490.87 mm2 | 7.16% |
| 3 mm | 519 mm2 | 490.87 mm2 | 5.73% | |
| 4 mm | 539 mm2 | 490.87 mm2 | 9.81% | |
| c = 17.5 mm | 2 mm | 964 mm2 | 962.11 mm2 | 0.20% |
| 3 mm | 954 mm2 | 962.11 mm2 | 0.84% | |
| 4 mm | 950 mm2 | 962.11 mm2 | 1.26% | |
| l = 35 mm | 2 mm | 1224 mm2 | 1225 mm2 | 0.08% |
| 3 mm | 1244 mm2 | 1225 mm2 | 1.55% | |
| 4 mm | 1260 mm2 | 1225 mm2 | 2.86% |
Publisher’s Note: MDPI stays neutral with regard to jurisdictional claims in published maps and institutional affiliations. |
© 2022 by the authors. Licensee MDPI, Basel, Switzerland. This article is an open access article distributed under the terms and conditions of the Creative Commons Attribution (CC BY) license (https://creativecommons.org/licenses/by/4.0/).
Share and Cite
Liu, Z.; Li, Y.; Ren, S.; Ren, Y.; Abidin, I.M.Z.; Chen, Z. Pulse-Modulation Eddy Current Evaluation of Interlaminar Corrosion in Stratified Conductors: Semi-Analytical Modeling and Experiments. Sensors 2022, 22, 3458. https://doi.org/10.3390/s22093458
Liu Z, Li Y, Ren S, Ren Y, Abidin IMZ, Chen Z. Pulse-Modulation Eddy Current Evaluation of Interlaminar Corrosion in Stratified Conductors: Semi-Analytical Modeling and Experiments. Sensors. 2022; 22(9):3458. https://doi.org/10.3390/s22093458
Chicago/Turabian StyleLiu, Zhengshuai, Yong Li, Shuting Ren, Yanzhao Ren, Ilham Mukriz Zainal Abidin, and Zhenmao Chen. 2022. "Pulse-Modulation Eddy Current Evaluation of Interlaminar Corrosion in Stratified Conductors: Semi-Analytical Modeling and Experiments" Sensors 22, no. 9: 3458. https://doi.org/10.3390/s22093458
APA StyleLiu, Z., Li, Y., Ren, S., Ren, Y., Abidin, I. M. Z., & Chen, Z. (2022). Pulse-Modulation Eddy Current Evaluation of Interlaminar Corrosion in Stratified Conductors: Semi-Analytical Modeling and Experiments. Sensors, 22(9), 3458. https://doi.org/10.3390/s22093458

