Significant Measures of Gaze and Pupil Movement for Evaluating Empathy between Viewers and Digital Content
Abstract
1. Introduction
2. Related Work
3. Materials and Methods
3.1. Stimuli Selection
3.2. Experiment Design
3.3. Participants
3.4. Experimental Protocol
3.5. Feature Extraction of Eye Movement
3.5.1. Change in Pupil Diameter
3.5.2. Peak of Pupil Dilation
3.5.3. Fixation Duration
3.5.4. Saccade
4. Results
4.1. Subjective Evaluation
4.1.1. The Analysis of Arousal Scores
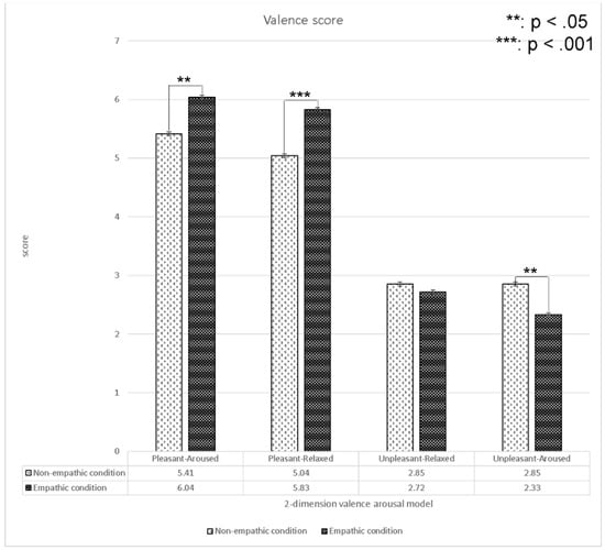
4.1.2. The Analysis of Valence Scores
4.1.3. The Analysis of Cognitive and Affective Empathy Scores
4.2. Eye Movement Features
4.2.1. All-Emotions Content
4.2.2. Pleasant and Unpleasant Content
4.2.3. Aroused and Relaxed Content
4.2.4. Empathic and Non-Empathic Content
5. Conclusions and Discussion
Supplementary Materials
Author Contributions
Funding
Institutional Review Board Statement
Informed Consent Statement
Conflicts of Interest
References
- Hoffman, M.L. Empathy and Moral Development: Implications for Caring and Justice; Cambridge University Press: Cambridge, UK, 2001. [Google Scholar]
- Davis, M.H. Measuring individual differences in empathy: Evidence for a multidimensional approach. J. Pers. Soc. Psychol. 1983, 44, 113. [Google Scholar] [CrossRef]
- Preston, S.D.; De Waal, F.B.M. Empathy: Its ultimate and proximate bases. Behav. Brain Sci. 2002, 25, 1–20. [Google Scholar] [CrossRef] [PubMed]
- Cuff, B.M.P.; Brown, S.J.; Taylor, L.; Howat, D.J. Empathy: A review of the concept. Emot. Rev. 2016, 8, 144–153. [Google Scholar] [CrossRef]
- Hoffman, M.L. Interaction of affect and cognition in empathy. In Emotions, Cognition, and Behavior; Cambridge University Press: Cambridge, UK, 1985; pp. 103–131. [Google Scholar]
- Eisenberg, N.; Fabes, R.A.; Miller, P.A.; Fultz, J.; Shell, R.; Mathy, R.M.; Reno, R.R. Relation of sympathy and personal distress to prosocial behavior: A multimethod study. J. Pers. Soc. Psychol. 1989, 57, 55. [Google Scholar] [CrossRef] [PubMed]
- De Vignemont, F.; Singer, T. The empathic brain: How, when and why? Trends Cogn. Sci. 2006, 10, 435–441. [Google Scholar] [CrossRef]
- Rizzolatti, G.; Fadiga, L.; Gallese, V.; Fogassi, L. Premotor cortex and the recognition of motor actions. Cogn. Brain Res. 1996, 3, 131–141. [Google Scholar] [CrossRef]
- Wicker, B.; Keysers, C.; Plailly, J.; Royet, J.-P.; Gallese, V.; Rizzolatti, G. Both of us disgusted in My insula: The common neural basis of seeing and feeling disgust. Neuron 2003, 40, 655–664. [Google Scholar] [CrossRef]
- Keysers, C.; Wicker, B.; Gazzola, V.; Anton, J.-L.; Fogassi, L.; Gallese, V. A touching sight: SII/PV activation during the observation and experience of touch. Neuron 2004, 42, 335–346. [Google Scholar] [CrossRef]
- Singer, T.; Seymour, B.; O’doherty, J.; Kaube, H.; Dolan, R.J.; Frith, C.D. Empathy for pain involves the affective but not sensory components of pain. Science 2004, 303, 1157–1162. [Google Scholar] [CrossRef]
- Thompson, K.G.; Biscoe, K.L.; Sato, T.R. Neuronal basis of covert spatial attention in the frontal eye field. J. Neurosci. 2005, 25, 9479–9487. [Google Scholar] [CrossRef]
- Curcio, C.A.; Allen, K.A. Topography of ganglion cells in human retina. J. Comp. Neurol. 1990, 300, 5–25. [Google Scholar] [CrossRef] [PubMed]
- Tatler, B.W.; Brockmole, J.R.; Carpenter, R.H.S. LATEST: A model of saccadic decisions in space and time. Psychol. Rev. 2017, 124, 267. [Google Scholar] [CrossRef] [PubMed]
- Carpenter, R.H.S. The neural control of looking. Curr. Biol. 2000, 10, R291–R293. [Google Scholar] [CrossRef]
- Argyle, M.; Cook, M. Gaze and Mutual Gaze; Cambridge University Press: Cambridge, UK, 1976. [Google Scholar]
- Baron-Cohen, S.; Campbell, R.; Karmiloff-Smith, A.; Grant, J.; Walker, J. Are children with autism blind to the mentalistic significance of the eyes? Br. J. Dev. Psychol. 1995, 13, 379–398. [Google Scholar] [CrossRef]
- Emery, N.J. The eyes have it: The neuroethology, function and evolution of social gaze. Neurosci. Biobehav. Rev. 2000, 24, 581–604. [Google Scholar] [CrossRef]
- Hood, B.M.; Willen, J.D.; Driver, J. Adult’s eyes trigger shifts of visual attention in human infants. Psychol. Sci. 1998, 9, 131–134. [Google Scholar] [CrossRef]
- Pelphrey, K.A.; Sasson, N.J.; Reznick, J.S.; Paul, G.; Goldman, B.D.; Piven, J. Visual scanning of faces in autism. J. Autism. Dev. Disord. 2002, 32, 249–261. [Google Scholar] [CrossRef]
- Wang, H.; Chignell, M.; Ishizuka, M. Empathic tutoring software agents using real-time eye tracking. In Proceedings of the 2006 Symposium on Eye Tracking Research & Applications, San Diego, CA, USA, 27–29 March 2006; pp. 73–78. [Google Scholar]
- Patterson, M.; Elliott, R. Negotiating masculinities: Advertising and the inversion of the male gaze. Consum. Mark Cult. 2002, 5, 231–249. [Google Scholar] [CrossRef]
- Hess, E.H. Attitude and pupil size. Sci. Am. 1965, 212, 46–55. [Google Scholar] [CrossRef]
- Kret, M.E. The role of pupil size in communication. Is there room for learning? Cogn. Emot. 2018, 32, 1139–1145. [Google Scholar] [CrossRef]
- Hess, E.H. The role of pupil size in communication. Sci. Am. 1975, 233, 110–119. [Google Scholar] [CrossRef] [PubMed]
- Preuschoff, K.; Hart, B.M.; Einhauser, W. Pupil dilation signals surprise: Evidence for noradrenaline’s role in decision making. Front Neurosci. 2011, 5, 115. [Google Scholar] [CrossRef] [PubMed]
- Wei, Y. Explore the Blended Teaching Model from the Perspective of Cognitive Load. In Proceedings of the 5th International Conference on Education, Management, Arts, Economics and Social Science, Sanya, China, 10–11 November 2018; pp. 10–11. [Google Scholar]
- Hyönä, J.; Tommola, J.; Alaja, A.-M. Pupil dilation as a measure of processing load in simultaneous interpretation and other language tasks. Q. J. Exp. Psychol. 1995, 48, 598–612. [Google Scholar] [CrossRef] [PubMed]
- Kang, O.; Wheatley, T. Pupil dilation patterns spontaneously synchronize across individuals during shared attention. J. Exp. Psychol. Gen. 2017, 146, 569. [Google Scholar] [CrossRef]
- Kret, M.E.; Fischer, A.H.; De Dreu, C.K.W. Pupil mimicry correlates with trust in in-group partners with dilating pupils. Psychol. Sci. 2015, 26, 1401–1410. [Google Scholar] [CrossRef]
- Harrison, N.A.; Wilson, C.E.; Critchley, H.D. Processing of observed pupil size modulates perception of sadness and predicts empathy. Emotion 2007, 7, 724. [Google Scholar] [CrossRef]
- Zhang, J.; Wen, X.; Whang, M. Empathy evaluation by the physical elements of the advertising. Multimed Tools Appl. 2021, 81, 2241–2257. [Google Scholar] [CrossRef]
- Liang, S.; Liu, R.; Qian, J. Fixation prediction for advertising images: Dataset and benchmark. J. Vis. Commun. Image Represent. 2021, 81, 103356. [Google Scholar] [CrossRef]
- Rizvi, W.H. Brand visual eclipse (BVE): When the brand fixation spent is minimal in relation to the celebrity. In Information Systems and Neuroscience; Springer: Berlin/Heidelberg, Germany, 2020; pp. 295–303. [Google Scholar]
- Li, Y.; Wang, G.; Gan, Q. Research on Cognitive Effects of Narrative Rhetoric in Print Advertisement Based on Eye Movement. In Proceedings of theE3S Web of Conferences, Odesa, Ukraine, 16 April 2021; EDP Sciences: Les Ulis, France, 2021. [Google Scholar]
- Wang, C.-C.; Hung, J.C. Comparative analysis of advertising attention to Facebook social network: Evidence from eye-movement data. Comput. Human. Behav. 2019, 100, 192–208. [Google Scholar] [CrossRef]
- Russell, J.A. A circumplex model of affect. J. Pers Soc. Psychol. 1980, 39, 1161. [Google Scholar] [CrossRef]
- Soh, H. Measuring consumer empathic response to advertising drama. J. Korea Contents Assoc. 2014, 14, 133–142. [Google Scholar] [CrossRef]
- Salanga, M.G.C.; Bernardo, A.B.I. Cognitive empathy in intercultural interactions: The roles of lay theories of multiculturalism and polyculturalism. Curr. Psychol. 2019, 38, 165–176. [Google Scholar] [CrossRef]
- Alcorta-Garza, A.; San-Martín, M.; Delgado-Bolton, R.; Soler-González, J.; Roig, H.; Vivanco, L. Cross-validation of the Spanish HP-version of the jefferson scale of empathy confirmed with some cross-cultural differences. Front Psychol. 2016, 7, 1002. [Google Scholar] [CrossRef] [PubMed][Green Version]
- Patterson, M. Nonverbal Interpersonal Communication. In Oxford Research Encyclopedia of Communication; Cambridge University Press: Cambridge, UK, 2018. [Google Scholar]
- Hu, Z.; Gendron, M.; Liu, Q.; Zhao, G.; Li, H. Trait anxiety impacts the perceived gaze direction of fearful but not angry faces. Front Psychol. 2017, 8, 1186. [Google Scholar] [CrossRef]
- Verbeke, W.; Pozharliev, R.I. Preference Inferences from Eye-Related Cues in Sales-Consumer Settings: ERP Timing and Localization in Relation to Inferring Performance and Oxytocin Receptor (OXTR) Gene Polymorphisms. Int. J. Mark. Stud. 2016, 8, 1. [Google Scholar] [CrossRef][Green Version]
- Sajjacholapunt, P.; Ball, L.J. The influence of banner advertisements on attention and memory: Human faces with averted gaze can enhance advertising effectiveness. Front Psychol. 2014, 5, 5. [Google Scholar] [CrossRef]
- Bergstrom, J.R.; Duda, S.; Hawkins, D.; McGill, M. Physiological response measurements. In Eye Tracking in User Experience Design; Elsevier: Amsterdam, The Netherlands, 2014; pp. 81–108. [Google Scholar]
- Ahern, S.; Beatty, J. Pupillary responses during information processing vary with Scholastic Aptitude Test scores. Science 1979, 205, 1289–1292. [Google Scholar] [CrossRef]
- Chatham, C.H.; Frank, M.J.; Munakata, Y. Pupillometric and behavioral markers of a developmental shift in the temporal dynamics of cognitive control. Proc Natl Acad Sci. USA 2009, 106, 5529–5533. [Google Scholar] [CrossRef]
- Beatty, J. Task-evoked pupillary responses, processing load, and the structure of processing resources. Psychol. Bull. 1982, 91, 276. [Google Scholar] [CrossRef]
- Wang, Q.; Wedel, M.; Huang, L.; Liu, X. Effects of model eye gaze direction on consumer visual processing: Evidence from China and America. Inf. Manag. 2018, 55, 588–597. [Google Scholar] [CrossRef]
- Clausen-May, T. Teaching Maths to Pupils with Different Learning Styles; SAGE: Newcastle upon Tyne, UK, 2005. [Google Scholar]
- Allport, A. Selection for Action: Some Behavioral and Neurophysiological Considerations of Attention and Action; Routledge: London, UK, 2016. [Google Scholar]
- Heuer, H.; Sanders, A. Perspectives on Perception and Action; Routledge: London, UK, 2016. [Google Scholar]
- Liotti, M.; Tucker, D.M. Emotion in Asymmetric Corticolimbic Networks; APA: Worcester, MA, USA, 1995. [Google Scholar]
- Adolphs, R.; Damasio, H.; Tranel, D.; Cooper, G.; Damasio, A.R. A role for somatosensory cortices in the visual recognition of emotion as revealed by three-dimensional lesion mapping. J. Neurosci. 2000, 20, 2683–2690. [Google Scholar] [CrossRef] [PubMed]
- Decety, J.; Grezes, J.; Costes, N.; Perani, D.; Jeannerod, M.; Procyk, E.; Grassi, F.; Fazio, F. Brain activity during observation of actions. Influence of action content and subject’s strategy. Brain J. Neurol. 1997, 120, 1763–1777. [Google Scholar] [CrossRef] [PubMed]
- Canli, T.; Desmond, J.E.; Zhao, Z.; Glover, G.; Gabrieli, J.D.E. Hemispheric asymmetry for emotional stimuli detected with fMRI. Neuroreport 1998, 9, 3233–3239. [Google Scholar] [CrossRef] [PubMed]
- Schwartz, G.E.; Davidson, R.J.; Maer, F. Right hemisphere lateralization for emotion in the human brain: Interactions with cognition. Science 1975, 190, 286–288. [Google Scholar] [CrossRef]
- Oliva, M.; Anikin, A. Pupil dilation reflects the time course of emotion recognition in human vocalizations. Sci. Rep. 2018, 8, 4871. [Google Scholar] [CrossRef]
- Colizoli, O.; de Gee, J.W.; Urai, A.E.; Donner, T.H. Task-evoked pupil responses reflect internal belief states. Sci. Rep. 2018, 8, 13702. [Google Scholar] [CrossRef]
- Wright, P.; Kahneman, D. Evidence for alternative strategies of sentence retention. Q. J. Exp. Psychol. 1971, 23, 197–213. [Google Scholar] [CrossRef]
- Findlay, J.M.; Walker, R. A model of saccade generation based on parallel processing and competitive inhibition. Behav. Brain Sci. 1999, 22, 661–674. [Google Scholar] [CrossRef]
- Victor, T.W.; Harbluk, J.L.; Engström, J.A. Sensitivity of eye-movement measures to in-vehicle task difficulty. Transp. Res. Part F Traffic Psychol. Behav. 2005, 8, 167–190. [Google Scholar] [CrossRef]
- Trappenberg, T.P.; Dorris, M.C.; Munoz, D.P.; Klein, R.M. A model of saccade initiation based on the competitive integration of exogenous and endogenous signals in the superior colliculus. J. Cogn. Neurosci. 2001, 13, 256–271. [Google Scholar] [CrossRef]
- Godijn, R.; Theeuwes, J. Programming of endogenous and exogenous saccades: Evidence for a competitive integration model. J. Exp. Psychol. Hum. Percept Perform. 2002, 28, 1039. [Google Scholar] [CrossRef] [PubMed]
- Hofmeister, J.; Heller, D.; Radach, R. The return sweep in reading. In Current Oculomotor Research; Springer: Berlin/Heidelberg, Germany, 1999; pp. 349–357. [Google Scholar]
- Pannasch, S.; Dornhoefer, S.M.; Unema, P.J.A.; Velichkovsky, B.M. The omnipresent prolongation of visual fixations: Saccades are inhibited by changes in situation and in subject’s activity. Vision Res. 2001, 41, 3345–3351. [Google Scholar] [CrossRef][Green Version]
- Unema, P.; Dornhoefer, S.; Steudel, S.; Velichkovsky, B. An Attentive Look at Driver’s Fixation Durations (Draft). 2020. Available online: https://www.researchgate.net/publication/254739710_An_attentive_look_at_driver’s_fixation_durations_Draft (accessed on 31 December 2021).
- Schleicher, R.; Galley, N.; Briest, S.; Galley, L. Blinks and saccades as indicators of fatigue in sleepiness warnings: Looking tired? Ergonomics 2008, 51, 982–1010. [Google Scholar] [CrossRef]
- Lavine, R.A.; Sibert, J.L.; Gokturk, M.; Dickens, B. Eye-tracking measures and human performance in a vigilance task. Aviat. Space Environ. Med. 2002, 73, 367–372. [Google Scholar] [PubMed]
- Saito, S. Does fatigue exist in a quantitative measurement of eye movements? Ergonomics 1992, 35, 607–615. [Google Scholar] [CrossRef] [PubMed]
- Galley, N.; Andres, G. Saccadic eye movements and blinks during long-term driving on the autobahn with minimal alcohol ingestion. Vis. Veh. 1996, 5, 381–388. [Google Scholar]
- Lamm, C.; Batson, C.D.; Decety, J. The neural substrate of human empathy: Effects of perspective-taking and cognitive appraisal. J. Cogn. Neurosci. 2007, 19, 42–58. [Google Scholar] [CrossRef]
- Goldinger, S.D.; Papesh, M.H. Pupil dilation reflects the creation and retrieval of memories. Curr. Dir. Psychol. Sci. 2012, 21, 90–95. [Google Scholar] [CrossRef]
- Poynter, W.D. Pupil-size asymmetry is a physiologic trait related to gender, attentional function, and personality. Laterality Asymmetries Body Brain Cogn. 2017, 22, 654–670. [Google Scholar] [CrossRef]
- Drummond, P.D. Pupil diameter in migraine and tension headache. J. Neurol. Neurosurg. Psychiatry 1987, 50, 228–230. [Google Scholar] [CrossRef]
- Naqvi, R.A.; Arsalan, M.; Park, K.R. Fuzzy system-based target selection for a NIR camera-based gaze tracker. Sensors 2017, 17, 862. [Google Scholar] [CrossRef] [PubMed]












| Methods | Strengths | Weaknesses |
|---|---|---|
| The physical elements of the advertisements (e.g., color, saturation, and value) and the viewer’s region of interest (ROI) were analyzed through gaze tracking [32]. | The physical characteristics of the advertisements that elicit empathy were investigated. | The study focused on the media’s physical characteristics, not necessarily on the viewer. |
| A gaze-points prediction method for advertising images was proposed. The method includes a CNNs-based model for saliency prediction of the multi-text advertising images [33]. | Analyzed the viewer’s attention based on the continuous distribution of gaze points when an ad is provided as a stimulus. The model adopted text enhanced learning to detect the multi-text peculiarity of ads. | The analysis is limited to a single index (e.g., gaze points) on attention to the advertisement. |
| Studied the overshadowing effect of a celebrity based on the analysis of advertisement effect based on fixation [34]. | Analyzed the viewer’s fixation measures (time and count) on the celebrity and brand in an advertisement | The analysis is limited to a single index (e.g., time spent on fixation and fixation count) on attention to the advertisement |
| Analyzed the relationship between the quality of narrative rhetoric and the participant’s attention, duration, and pupil diameter [35]. | Investigated print advertisements that used narrative techniques to present product effects (e.g., dramatic conflict). | The analysis is limited to a few indexes (e.g., gaze time and pupil diameter). |
| Analyzed differential visual attention to Facebook advertisements [36]. | Investigated visual attention to ads viewed by different interpersonal relationships. | The analysis is limited to the fixation position, duration, and pupil magnification. |
| Empathy evaluation of gaze and pupil movement (proposed method). | In-depth analysis with all aspects of significant measures of gaze and pupil movement, including various frequencies involving fixation. | The understanding of the neurological mechanism is still absent. The stimulus’s subcomponents (e.g., celebrity, text) were not analyzed. |
| NO. | Questionnaire | Factor |
|---|---|---|
| 1 | I felt pleasant as opposed to unpleasant | Valence |
| 2 | I felt aroused as opposed to relaxed | Arousal |
| 3 | I understood the characters’ needs | Cognitive empathy |
| 4 | I understood how the characters were feeling | |
| 5 | I understood the situation of the video | |
| 6 | I understood the motives behind the characters’ behavior | |
| 7 | I felt as if the events in the video were happening to me | Affective empathy |
| 8 | I felt as if I was in the middle of the situation | |
| 9 | I felt as if I was one of the characters |
| Pupil Size Feature | Fixation Feature | Saccade Feature |
|---|---|---|
| Change in pupil diameter Peak pupil dilation | Very short fixation duration | Saccadic amplitude Saccadic count |
| Mid-fixation duration | ||
| Over long fixation duration |
| Group | Change in Left Pupil Diameter (CLPD) | Change in Right Pupil Diameter (CRPD) | ||||||||
|---|---|---|---|---|---|---|---|---|---|---|
| Non-Empathic | Empathic | Non-Empathic | Empathic | |||||||
| p-Value | Mean | STD | Mean | STD | p-Value | Mean | STD | Mean | STD | |
| All emotions | p > 0.1 | 0.31 | 0.04 | 0.24 | 0.06 | p > 0.1 | 0.38 | 0.03 | 0.38 | 0.03 |
| Aroused | p = 0.002 | 0.39 | 0.06 | 0.22 | 0.04 | p = 0.026 | 0.38 | 0.06 | 0.29 | 0.05 |
| Relaxed | p = 0.007 | 0.10 | 0.11 | 0.41 | 0.06 | p > 0.1 | 0.37 | 0.04 | 0.46 | 0.05 |
| Pleasant | p > 0.1 | 0.25 | 0.08 | 0.28 | 0.06 | p > 0.1 | 0.40 | 0.04 | 0.41 | 0.05 |
| Unpleasant | p > 0.1 | 0.21 | 0.08 | 0.37 | 0.06 | p > 0.1 | 0.37 | 0.04 | 0.33 | 0.06 |
| Pleasant aroused | p = 0.000 | 0.46 | 0.05 | 0.16 | 0.06 | p = 0.008 | 0.48 | 0.05 | 0.28 | 0.08 |
| Pleasant relaxed | p = 0.012 | 0.04 | 0.16 | 0.40 | 0.11 | p = 0.005 | 0.31 | 0.06 | 0.54 | 0.06 |
| Unpleasant relaxed | p > 0.1 | 0.16 | 0.15 | 0.42 | 0.06 | p > 0.1 | 0.43 | 0.06 | 0.39 | 0.07 |
| Unpleasant aroused | p > 0.1 | 0.27 | 0.06 | 0.32 | 0.11 | p > 0.1 | 0.31 | 0.05 | 0.27 | 0.11 |
| Group | Peak Left Pupil Dilation (PLPD) | Peak Right Pupil Dilation (PRPD) | ||||||||
|---|---|---|---|---|---|---|---|---|---|---|
| Non-Empathic | Empathic | Non-Empathic | Empathic | |||||||
| p-Value | Mean | STD | Mean | STD | p-Value | Mean | STD | Mean | STD | |
| All emotions | p > 0.1 | 5.41 | 0.03 | 5.46 | 0.04 | p < 0.001 | 5.30 | 0.03 | 5.70 | 0.03 |
| Aroused | p = 0.000 | 5.65 | 0.03 | 5.18 | 0.04 | p = 0.000 | 5.21 | 0.04 | 5.78 | 0.02 |
| Relaxed | p > 0.1 | 5.37 | 0.03 | 5.44 | 0.04 | p = 0.000 | 5.21 | 0.06 | 5.88 | 0.02 |
| Pleasant | p = 0.010 | 5.23 | 0.05 | 5.42 | 0.05 | p = 0.000 | 5.41 | 0.03 | 5.73 | 0.05 |
| Unpleasant | p > 0.1 | 5.57 | 0.03 | 5.49 | 0.05 | p = 0.000 | 5.12 | 0.06 | 5.67 | 0.03 |
| Pleasant aroused | p > 0.1 | 5.51 | 0.09 | 5.40 | 0.08 | p = 0.045 | 5.52 | 0.07 | 5.27 | 0.09 |
| Pleasant relaxed | p > 0.1 | 5.36 | 0.09 | 5.58 | 0.12 | p > 0.1 | 5.11 | 0.10 | 5.38 | 0.10 |
| Unpleasant relaxed | p = 0.012 | 5.47 | 0.17 | 5.64 | 0.07 | p > 0.1 | 5.15 | 0.09 | 5.41 | 0.08 |
| Unpleasant aroused | p = 0.007 | 5.38 | 0.07 | 5.65 | 0.08 | p > 0.1 | 5.33 | 0.08 | 5.41 | 0.07 |
| Group | Very Short Fixation (<150 ms) | Medium Fixation (150 ms–900 ms) | Overlong Fixation (>900 ms) | ||||||||||||
|---|---|---|---|---|---|---|---|---|---|---|---|---|---|---|---|
| Non-Empathic | Empathic | Non-Empathic | Empathic | Non-Empathic | Empathic | ||||||||||
| p-Value | Mean | STD | Mean | STD | p-Value | Mean | STD | Mean | STD | p-Value | Mean | STD | Mean | STD | |
| All emotions | p > 0.1 | 18.02 | 0.71 | 17.26 | 0.66 | p > 0.1 | 632.1 | 9.61 | 644.41 | 8.52 | p > 0.1 | 54.69 | 2.12 | 52.82 | 1.61 |
| Aroused | p > 0.1 | 18.59 | 1.09 | 17.82 | 0.98 | p > 0.1 | 685.75 | 11.54 | 678.49 | 11.02 | p > 0.1 | 42.90 | 2.43 | 46.68 | 2.20 |
| Relaxed | p > 0.1 | 17.45 | 0.90 | 16.70 | 0.90 | p > 0.1 | 579.0 | 13.26 | 611.3 | 12.02 | p = 0.045 | 66.35 | 3.02 | 58.76 | 2.20 |
| Pleasant | p > 0.1 | 18.20 | 1.12 | 16.90 | 0.93 | p > 0.1 | 654.3 | 14.29 | 639.2 | 11.71 | p > 0.1 | 49.74 | 2.91 | 54.26 | 2.31 |
| Unpleasant | p > 0.1 | 17.84 | 0.87 | 17.61 | 0.95 | p = 0.027 | 610.11 | 12.48 | 649.50 | 12.36 | p = 0.031 | 59.58 | 3.00 | 51.38 | 2.25 |
| Pleasant aroused | p > 0.1 | 18.51 | 1.74 | 18.69 | 1.48 | p = 0.012 | 716.3 | 16.79 | 669.8 | 14.65 | p = 0.001 | 36.44 | 3.07 | 47.71 | 3.00 |
| Pleasant relaxed | p > 0.1 | 17.89 | 1.40 | 15.10 | 1.06 | p = 0.08 | 592.29 | 19.28 | 609.95 | 17.10 | p > 0.1 | 63.04 | 4.12 | 60.54 | 3.24 |
| Unpleasant relaxed | p > 0.1 | 17.02 | 1.13 | 18.19 | 1.43 | p > 0.1 | 566.0 | 18.03 | 610.29 | 17.07 | p > 0.1 | 69.60 | 4.38 | 57.53 | 2.96 |
| Unpleasant aroused | p > 0.1 | 18.68 | 1.33 | 17.04 | 1.26 | p > 0.1 | 655.17 | 14.54 | 687.89 | 16.03 | p > 0.1 | 49.36 | 3.53 | 45.37 | 3.16 |
| Group | Saccadic Amplitude (SAC) | Saccadic Count (SCC) | ||||||||
|---|---|---|---|---|---|---|---|---|---|---|
| Non-Empathic | Empathic | Non-Empathic | Empathic | |||||||
| p-Value | Mean | STD | Mean | STD | p-Value | Mean | STD | Mean | STD | |
| All emotions | p < 0.001 | 165.86 | 3.12 | 193.74 | 2.45 | p > 0.1 | 705.81 | 7.82 | 715.44 | 7.27 |
| Aroused | p > 0.1 | 183.97 | 4.45 | 189.47 | 2.78 | p > 0.1 | 748.25 | 9.41 | 744.01 | 9.19 |
| Relaxed | p < 0.001 | 147.9 | 3.52 | 197.8 | 3.96 | p > 0.1 | 663.82 | 10.86 | 687.78 | 10.47 |
| Pleasant | p = 0.001 | 186.29 | 4.63 | 206.30 | 3.18 | p > 0.1 | 723.2 | 11.98 | 711.3 | 9.87 |
| Unpleasant | p = 0.000 | 145.65 | 2.98 | 181.32 | 3.27 | p = 0.037 | 688.54 | 9.76 | 719.5 | 10.6 |
| Pleasant aroused | p = 0.003 | 217.24 | 4.28 | 199.31 | 3.71 | p = 0.019 | 772.2 | 14.34 | 737.2 | 12.19 |
| Pleasant relaxed | p = 0.000 | 155.34 | 5.19 | 213.00 | 4.92 | p > 0.1 | 674.23 | 16.31 | 686.52 | 14.54 |
| Unpleasant relaxed | p = 0.000 | 140.7 | 4.54 | 183.54 | 5.45 | p = 0.04 | 653.6 | 14.22 | 687.0 | 15.26 |
| Unpleasant aroused | p = 0.000 | 150.70 | 3.73 | 179.13 | 3.63 | p > 0.1 | 724.2 | 11.16 | 751.3 | 13.40 |
Publisher’s Note: MDPI stays neutral with regard to jurisdictional claims in published maps and institutional affiliations. |
© 2022 by the authors. Licensee MDPI, Basel, Switzerland. This article is an open access article distributed under the terms and conditions of the Creative Commons Attribution (CC BY) license (https://creativecommons.org/licenses/by/4.0/).
Share and Cite
Zhang, J.; Park, S.; Cho, A.; Whang, M. Significant Measures of Gaze and Pupil Movement for Evaluating Empathy between Viewers and Digital Content. Sensors 2022, 22, 1700. https://doi.org/10.3390/s22051700
Zhang J, Park S, Cho A, Whang M. Significant Measures of Gaze and Pupil Movement for Evaluating Empathy between Viewers and Digital Content. Sensors. 2022; 22(5):1700. https://doi.org/10.3390/s22051700
Chicago/Turabian StyleZhang, Jing, Sung Park, Ayoung Cho, and Mincheol Whang. 2022. "Significant Measures of Gaze and Pupil Movement for Evaluating Empathy between Viewers and Digital Content" Sensors 22, no. 5: 1700. https://doi.org/10.3390/s22051700
APA StyleZhang, J., Park, S., Cho, A., & Whang, M. (2022). Significant Measures of Gaze and Pupil Movement for Evaluating Empathy between Viewers and Digital Content. Sensors, 22(5), 1700. https://doi.org/10.3390/s22051700

