High-Responsivity, Low-Leakage Current, Ultra-Fast Terahertz Detectors Based on a GaN High-Electron-Mobility Transistor with Integrated Bowtie Antennas
Abstract
:1. Introduction
2. Detection Model and Characterization Setup
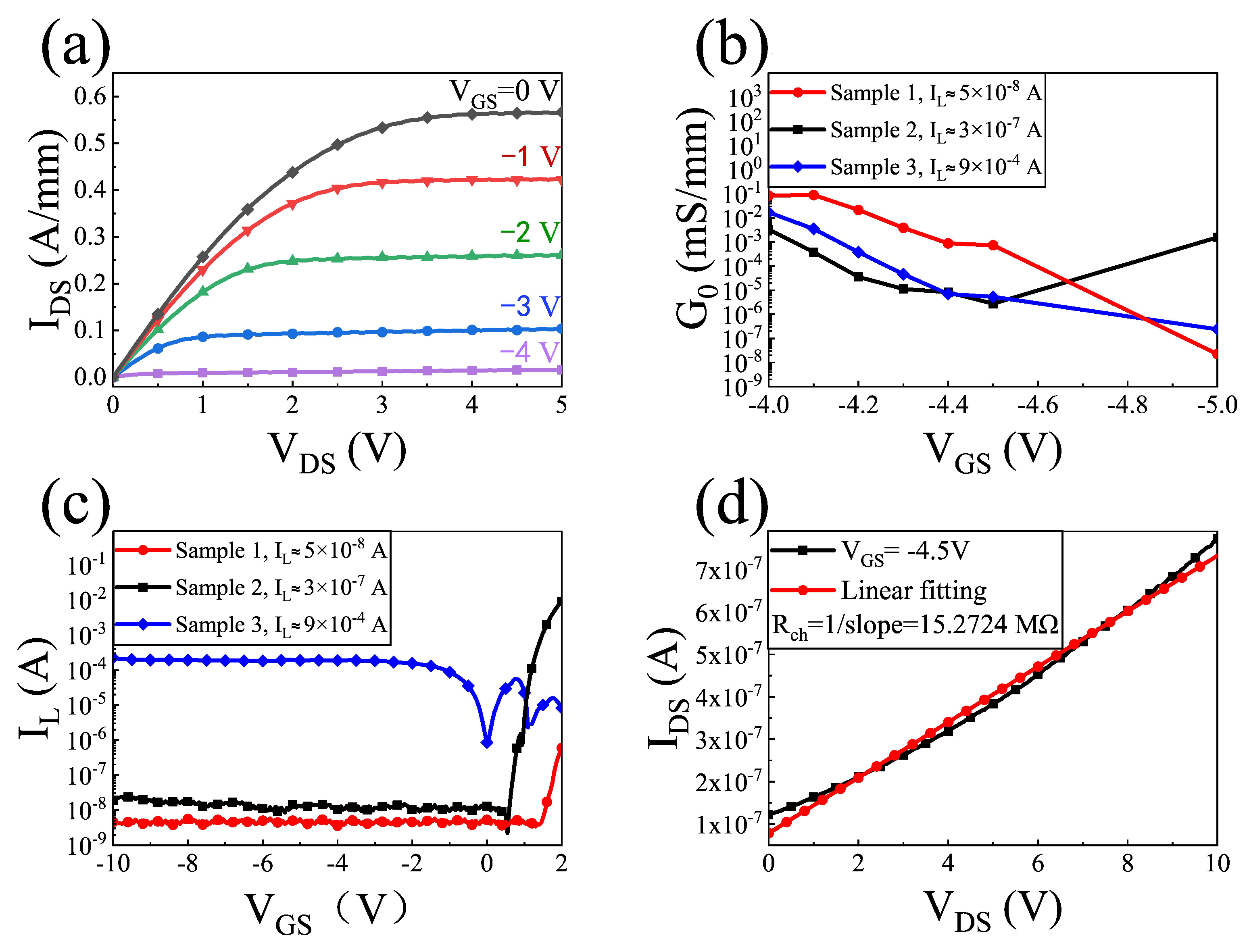
3. Results and Discussion
4. Conclusions
Author Contributions
Funding
Data Availability Statement
Conflicts of Interest
References
- Ergun, S.; Sonmez, S. Terahertz technology for military applications. J. Manag. Inf. Sci. 2015, 3, 13–16. [Google Scholar] [CrossRef]
- Kürner, T. Towards future THz communications systems. Terahertz Sci. Technol. 2012, 5, 11–17. [Google Scholar]
- Dyakonov, M.; Shur, M. Detection, mixing, and frequency multiplication of terahertz radiation by two-dimensional electronic fluid. IEEE Trans. Electron Devices 1996, 43, 380–387. [Google Scholar] [CrossRef]
- Knap, W.; Teppe, F.; Meziani, Y.; Dyakonova, N.; Lusakowski, J.; Boeuf, F.; Skotnicki, T.; Maude, D.; Rumyantsev, S.; Shur, M. Plasma wave detection of sub-terahertz and terahertz radiation by silicon field-effect transistors. Appl. Phys. Lett. 2004, 85, 675–677. [Google Scholar] [CrossRef] [Green Version]
- Yang, X.; Vorobiev, A.; Generalov, A.; Andersson, M.A.; Stake, J. A flexible graphene terahertz detector. Appl. Phys. Lett. 2017, 111, 021102. [Google Scholar] [CrossRef] [Green Version]
- Popov, V.; Ermolaev, D.; Maremyanin, K.; Maleev, N.; Zemlyakov, V.; Gavrilenko, V.; Shapoval, S.Y. High-responsivity terahertz detection by on-chip InGaAs/GaAs field-effect-transistor array. Appl. Phys. Lett. 2011, 98, 153504. [Google Scholar] [CrossRef]
- Kurita, Y.; Ducournau, G.; Coquillat, D.; Satou, A.; Kobayashi, K.; Boubanga Tombet, S.; Meziani, Y.; Popov, V.; Knap, W.; Suemitsu, T.; et al. Ultrahigh sensitive sub-terahertz detection by InP-based asymmetric dual-grating-gate high-electron-mobility transistors and their broadband characteristics. Appl. Phys. Lett. 2014, 104, 251114. [Google Scholar] [CrossRef] [Green Version]
- Sun, J.; Qin, H.; Lewis, R.; Sun, Y.; Zhang, X.; Cai, Y.; Wu, D.; Zhang, B. Probing and modelling the localized self-mixing in a GaN/AlGaN field-effect terahertz detector. Appl. Phys. Lett. 2012, 100, 173513. [Google Scholar]
- Tanigawa, T.; Onishi, T.; Takigawa, S.; Otsuji, T. Enhanced responsivity in a novel AlGaN/GaN plasmon-resonant terahertz detector using gate-dipole antenna with parasitic elements. In Proceedings of the IEEE 68th Device Research Conference, Notre Dame, IN, USA, 21–23 June 2010; pp. 167–168. [Google Scholar]
- Labidi, M.; Choubani, F. Performances enhancement of metamaterial loop antenna for terahertz applications. Opt. Mater. 2018, 82, 116–122. [Google Scholar] [CrossRef]
- Huang, Z.; Li, Z.; Dong, H.; Yang, F.; Yan, W.; Wang, X. Novel Broadband Slot-Spiral Antenna for Terahertz Applications. Photonics 2021, 8, 123. [Google Scholar] [CrossRef]
- Ikamas, K.; Čibiraitė, D.; Lisauskas, A.; Bauer, M.; Krozer, V.; Roskos, H.G. Broadband terahertz power detectors based on 90-nm silicon CMOS transistors with flat responsivity up to 2.2 THz. IEEE Electron Device Lett. 2018, 39, 1413–1416. [Google Scholar] [CrossRef]
- Sun, J.; Sun, Y.; Wu, D.; Cai, Y.; Qin, H.; Zhang, B. High-responsivity, low-noise, room-temperature, self-mixing terahertz detector realized using floating antennas on a GaN-based field-effect transistor. Appl. Phys. Lett. 2012, 100, 013506. [Google Scholar]
- Knap, W.; Kachorovskii, V.; Deng, Y.; Rumyantsev, S.; Lü, J.Q.; Gaska, R.; Shur, M.; Simin, G.; Hu, X.; Khan, M.A.; et al. Nonresonant detection of terahertz radiation in field effect transistors. J. Appl. Phys. 2002, 91, 9346–9353. [Google Scholar] [CrossRef]
- Hou, H.; Liu, Z.; Teng, J.; Palacios, T.; Chua, S.J. A sub-terahertz broadband detector based on a GaN high-electron-mobility transistor with nanoantennas. Appl. Phys. Express 2016, 10, 014101. [Google Scholar] [CrossRef]
- Zhang, B.; Yan, W.; Li, Z.; Bai, L.; Yang, F. Analysis of substrate effect in field effect transistor terahertz detectors. IEEE J. Sel. Top. Quantum Electron. 2016, 23, 1–7. [Google Scholar] [CrossRef]
- Guo, W.; Wang, L.; Chen, X.; Liu, C.; Tang, W.; Guo, C.; Wang, J.; Lu, W. Graphene-based broadband terahertz detector integrated with a square-spiral antenna. Opt. Lett. 2018, 43, 1647–1650. [Google Scholar] [CrossRef]
- Kachorovskii, V.Y.; Shur, M. Field effect transistor as ultrafast detector of modulated terahertz radiation. Solid-State Electron. 2008, 52, 182–185. [Google Scholar] [CrossRef]
- Sun, D.; Aivazian, G.; Jones, A.M.; Ross, J.S.; Yao, W.; Cobden, D.; Xu, X. Ultrafast hot-carrier-dominated photocurrent in graphene. Nat. Nanotechnol. 2012, 7, 114–118. [Google Scholar] [CrossRef]
- Somphonsane, R.; Ramamoorthy, H.; Bohra, G.; He, G.; Ferry, D.; Ochiai, Y.; Aoki, N.; Bird, J. Fast energy relaxation of hot carriers near the dirac point of graphene. Nano Lett. 2013, 13, 4305–4310. [Google Scholar] [CrossRef]
- Ariyoshi, S.; Otani, C.; Dobroiu, A.; Sato, H.; Kawase, K.; Shimizu, H.; Taino, T.; Matsuo, H. Terahertz imaging with a direct detector based on superconducting tunnel junctions. Appl. Phys. Lett. 2006, 88, 203503. [Google Scholar] [CrossRef]
- Bauer, M.; Rämer, A.; Chevtchenko, S.A.; Osipov, K.Y.; Čibiraitė, D.; Pralgauskaitė, S.; Ikamas, K.; Lisauskas, A.; Heinrich, W.; Krozer, V.; et al. A high-sensitivity AlGaN/GaN HEMT terahertz detector with integrated broadband bow-tie antenna. IEEE Trans. Terahertz Sci. Technol. 2019, 9, 430–444. [Google Scholar] [CrossRef]
- Lisauskas, A.; Ikamas, K.; Massabeau, S.; Bauer, M.; Čibiraitė, D.; Matukas, J.; Mangeney, J.; Mittendorff, M.; Winnerl, S.; Krozer, V.; et al. Field-effect transistors as electrically controllable nonlinear rectifiers for the characterization of terahertz pulses. APL Photonics 2018, 3, 051705. [Google Scholar] [CrossRef] [Green Version]
- Wu, K.; Ducournau, G.; Hella, M.M. A 240 GHz receiver with 6 Gb/s data rate based on plasma wave detection in SiGe technology. In Proceedings of the 2019 IEEE 44th International Conference on Infrared, Millimeter, and Terahertz Waves (IRMMW-THz), Paris, France, 1–6 September 2019; pp. 1–2. [Google Scholar]
- Sakhno, M.; Golenkov, A.; Sizov, F. Uncooled detector challenges: Millimeter-wave and terahertzong channel field effect transistor and Schottky barrier diode detectors. J. Appl. Phys. 2013, 114, 164503. [Google Scholar] [CrossRef]





| Architecture | NEP (pW/) | (V/W) | Response Time (ns) | Measurement |
|---|---|---|---|---|
| This paper | 72 | 4900 | 8 | Lock-in + Oscilloscope |
| GaN bowtie [13] | 40 | 3600 | - | Lock-in |
| Si bowtie [12] | 48 | 220 | - | Preamplifier + Lock-in |
| GaN bowtie [22] | 25 | - | - | Lock-in |
| Graphene spiral [17] | 350 | 28 | 9000 | Preamplifier + Lock-in + Oscilloscope |
| Si patch [23] | 31 | - | 0.012 | Autocorrelation measurement |
| SiGe patch [24] | - | 15 | 1.7 | On-chip amplifier |
Publisher’s Note: MDPI stays neutral with regard to jurisdictional claims in published maps and institutional affiliations. |
© 2022 by the authors. Licensee MDPI, Basel, Switzerland. This article is an open access article distributed under the terms and conditions of the Creative Commons Attribution (CC BY) license (https://creativecommons.org/licenses/by/4.0/).
Share and Cite
Huang, Z.; Yan, W.; Li, Z.; Dong, H.; Yang, F.; Wang, X. High-Responsivity, Low-Leakage Current, Ultra-Fast Terahertz Detectors Based on a GaN High-Electron-Mobility Transistor with Integrated Bowtie Antennas. Sensors 2022, 22, 933. https://doi.org/10.3390/s22030933
Huang Z, Yan W, Li Z, Dong H, Yang F, Wang X. High-Responsivity, Low-Leakage Current, Ultra-Fast Terahertz Detectors Based on a GaN High-Electron-Mobility Transistor with Integrated Bowtie Antennas. Sensors. 2022; 22(3):933. https://doi.org/10.3390/s22030933
Chicago/Turabian StyleHuang, Zhen, Wei Yan, Zhaofeng Li, Hui Dong, Fuhua Yang, and Xiaodong Wang. 2022. "High-Responsivity, Low-Leakage Current, Ultra-Fast Terahertz Detectors Based on a GaN High-Electron-Mobility Transistor with Integrated Bowtie Antennas" Sensors 22, no. 3: 933. https://doi.org/10.3390/s22030933
APA StyleHuang, Z., Yan, W., Li, Z., Dong, H., Yang, F., & Wang, X. (2022). High-Responsivity, Low-Leakage Current, Ultra-Fast Terahertz Detectors Based on a GaN High-Electron-Mobility Transistor with Integrated Bowtie Antennas. Sensors, 22(3), 933. https://doi.org/10.3390/s22030933

