Electrochemical Organophosphorus Pesticide Detection Using Nanostructured Gold-Modified Electrodes
Abstract
1. Introduction
2. Materials and Methods
2.1. Reagents
2.2. Preparation of Nanostructured Gold-Modified Electrode
2.3. Preparation of Real Vegetable and Fruit Samples with GC–MS/MS
2.4. Apparatus
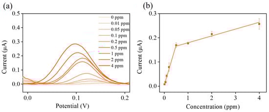
3. Results
4. Conclusions
Supplementary Materials
Author Contributions
Funding
Institutional Review Board Statement
Informed Consent Statement
Data Availability Statement
Acknowledgments
Conflicts of Interest
References
- Uygun, Z.O.; Dilgin, Y. A novel impedimetric sensor based on molecularly imprinted polypyrrole modified pencil graphite electrode for trace level determination of chlorpyrifos. Sens. Actuators B Chem. 2013, 188, 78–84. [Google Scholar] [CrossRef]
- Khairy, M.; Ayoub, H.A.; Banks, C.E. Non-enzymatic electrochemical platform for parathion pesticide sensing based on nanometer-sized nickel oxide modified screen-printed electrodes. Food Chem. 2018, 255, 104–111. [Google Scholar] [CrossRef] [PubMed]
- Zhao, Y.; Zheng, X.; Wang, Q.; Zhe, T.; Bai, Y.; Bu, T.; Zhang, M.; Wang, L. Electrochemical behavior of reduced graphene oxide/cyclodextrins sensors for ultrasensitive detection of imidacloprid in brown rice. Food Chem. 2020, 333, 127495. [Google Scholar] [CrossRef] [PubMed]
- Sinha, S.N.; Pal, R.; Dewan, A.; Mansuri, M.; Saiyed, H. Effect of dissociation energy on ion formation and sensitivity of an analytical method for determination of chlorpyrifos in human blood, using gas chromatography–mass spectrometer (GC–MS in MS/MS). Int. J. Mass Spectrom. 2006, 253, 48–57. [Google Scholar] [CrossRef]
- Niessen, W.; Manini, P.; Andreoli, R. Matrix effects in quantitative pesticide analysis using liquid chromatography–mass spectrometry. Mass Spectrom. Rev. 2006, 25, 881–899. [Google Scholar] [CrossRef]
- Kumar, P.; Kim, K.-H.; Deep, A. Recent advancements in sensing techniques based on functional materials for organophosphate pesticides. Biosens. Bioelectron. 2015, 70, 469–481. [Google Scholar] [CrossRef]
- Qiu, L.; Lv, P.; Zhao, C.; Feng, X.; Fang, G.; Liu, J.; Wang, S. Electrochemical detection of organophosphorus pesticides based on amino acids conjugated nanoenzyme modified electrodes. Sens. Actuators B Chem. 2019, 286, 386–393. [Google Scholar] [CrossRef]
- Vrabelj, T.; Finšgar, M. Recent Progress in Non-Enzymatic Electroanalytical Detection of Pesticides Based on the Use of Functional Nanomaterials as Electrode Modifiers. Biosensors 2022, 12, 263. [Google Scholar] [CrossRef]
- Wang, W.; Wang, X.; Cheng, N.; Luo, Y.; Lin, Y.; Xu, W.; Du, D. Recent advances in nanomaterials-based electrochemical (bio) sensors for pesticides detection. TrAC Trends Anal. Chem. 2020, 132, 116041. [Google Scholar] [CrossRef]
- Pérez-Fernández, B.; Costa-García, A.; Muñiz, A.d.l.E.-. Electrochemical (bio) sensors for pesticides detection using screen-printed electrodes. Biosensors 2020, 10, 32. [Google Scholar] [CrossRef]
- Rhouati, A.; Majdinasab, M.; Hayat, A. A perspective on non-enzymatic electrochemical nanosensors for direct detection of pesticides. Curr. Opin. Electrochem. 2018, 11, 12–18. [Google Scholar] [CrossRef]
- Ozcelikay, G.; Kaya, S.; Ozkan, E.; Cetinkaya, A.; Nemutlu, E.; Kır, S.; Ozkan, S. Sensor-based MIP technologies for targeted metabolomics analysis. TrAC Trends Anal. Chem. 2022, 146, 116487. [Google Scholar] [CrossRef]
- Chauhan, C. Contemporary voltammetric techniques and its application to pesticide analysis: A review. Mater. Today Proc. 2021, 37, 3231–3240. [Google Scholar] [CrossRef]
- Demir, E.; Göktug, Ö.; İnam, R.; Doyduk, D. Development and characterization of iron (III) phthalocyanine modified carbon nanotube paste electrodes and application for determination of fluometuron herbicide as an electrochemical sensor. J. Electroanal. Chem. 2021, 895, 115389. [Google Scholar] [CrossRef]
- Maji, B.; Achary, L.S.K.; Barik, B.; Sahoo, S.J.; Mohanty, A.; Dash, P. MnCo2O4 decorated (2D/2D) rGO/g-C3N4-based Non-Enzymatic sensor for highly selective and sensitive detection of Chlorpyrifos in water and food samples. J. Electroanal. Chem. 2022, 909, 116115. [Google Scholar] [CrossRef]
- Janjani, P.; Bhardwaj, U.; Gupta, R.; Kushwaha, H.S. Bimetallic Mn/Fe MOF modified screen-printed electrodes for non-enzymatic electrochemical sensing of organophosphate. Anal. Chim. Acta 2022, 1202, 339676. [Google Scholar] [CrossRef] [PubMed]
- Rathnakumar, S.S.; Noluthando, K.; Kulandaiswamy, A.J.; Rayappan, J.B.B.; Kasinathan, K.; Kennedy, J.; Maaza, M. Stalling behaviour of chloride ions: A non-enzymatic electrochemical detection of α-Endosulfan using CuO interface. Sens. Actuators B Chem. 2019, 293, 100–106. [Google Scholar] [CrossRef]
- Anandhakumar, S.; Dhanalakshmi, K.; Mathiyarasu, J. Non-enzymatic organophosphorus pesticide detection using gold atomic cluster modified electrode. Electrochem. Commun. 2014, 38, 15–18. [Google Scholar] [CrossRef]
- Porto, L.S.; Ferreira, L.F.; Dos Santos, W.T.P.; Pereira, A.C. Determination of organophosphorus compounds in water and food samples using a non-enzymatic electrochemical sensor based on silver nanoparticles and carbon nanotubes nanocomposite coupled with batch injection analysis. Talanta 2022, 246, 123477. [Google Scholar] [CrossRef]
- Bolat, G.; Abaci, S. Non-enzymatic electrochemical sensing of malathion pesticide in tomato and apple samples based on gold nanoparticles-chitosan-ionic liquid hybrid nanocomposite. Sensors 2018, 18, 773. [Google Scholar] [CrossRef]
- Junior, G.J.S.; Selva, J.S.G.; Sukeri, A.; Gonçalves, J.M.; Regiart, M.; Bertotti, M. Fabrication of dendritic nanoporous gold via a two-step amperometric approach: Application for electrochemical detection of methyl parathion in river water samples. Talanta 2021, 226, 122130. [Google Scholar] [CrossRef] [PubMed]
- Gannavarapu, K.P.; Ganesh, V.; Thakkar, M.; Mitra, S.; Dandamudi, R.B. Nanostructured Diatom-ZrO2 composite as a selective and highly sensitive enzyme free electrochemical sensor for detection of methyl parathion. Sens. Actuators B Chem. 2019, 288, 611–617. [Google Scholar] [CrossRef] [PubMed]
- Zhao, H.; Liu, B.; Li, Y.; Li, B.; Ma, H.; Komarneni, S. One-pot green hydrothermal synthesis of bio-derived nitrogen-doped carbon sheets embedded with zirconia nanoparticles for electrochemical sensing of methyl parathion. Ceram. Int. 2020, 46, 19713–19722. [Google Scholar] [CrossRef]
- Ahmad, Y.H.; Mohamed, A.T.; El-Shafei, A.; Al-Qaradawi, S.Y.; Aljaber, A.S. Facile one-step synthesis of supportless porous AuPtPd nanocrystals as high performance electrocatalyst for glucose oxidation reaction. Int. J. Hydrogen Energy 2020, 45, 19163–19173. [Google Scholar] [CrossRef]
- Taib, S.H.M.; Shameli, K.; Nia, P.M.; Etesami, M.; Miyake, M.; Ali, R.R.; Abouzari-Lotf, E.; Izadiyan, Z. Electrooxidation of nitrite based on green synthesis of gold nanoparticles using Hibiscus sabdariffa leaves. J. Taiwan Inst. Chem. Eng. 2019, 95, 616–626. [Google Scholar] [CrossRef]
- Wang, S.; Zeng, B.; Li, C. Effects of Au nanoparticle size and metal-support interaction on plasmon-induced photocatalytic water oxidation. Chin. J. Catal. 2018, 39, 1219–1227. [Google Scholar] [CrossRef]
- Chelly, M.; Chelly, S.; Zribi, R.; Bouaziz-Ketata, H.; Gdoura, R.; Lavanya, N.; Veerapandi, G.; Sekar, C.; Neri, G. Synthesis of silver and gold nanoparticles from rumex roseus plant extract and their application in electrochemical sensors. Nanomaterials 2021, 11, 739. [Google Scholar] [CrossRef]
- Thota, R.; Ganesh, V. Selective and sensitive electrochemical detection of methyl parathion using chemically modified overhead projector sheets as flexible electrodes. Sens. Actuators B Chem. 2016, 227, 169–177. [Google Scholar] [CrossRef]
- Li, W.; Wang, P.; Chu, B.; Chen, X.; Peng, Z.; Chu, J.; Lin, R.; Gu, Q.; Lu, J.; Wu, D. A highly-sensitive sensor based on carbon nanohorns@ reduced graphene oxide coated by gold platinum core–shell nanoparticles for electrochemical detection of carbendazim in fruit and vegetable juice. Food Chem. 2023, 402, 134197. [Google Scholar] [CrossRef]
- Acer, S.; Demir, E.; İnam, R. Square wave voltammetric determination of pencycuron fungicide and application to commercial formulation. J. Food Meas. Charact. 2020, 14, 2099–2107. [Google Scholar] [CrossRef]
- Gao, N.; He, C.; Ma, M.; Cai, Z.; Zhou, Y.; Chang, G.; Wang, X.; He, Y. Electrochemical co-deposition synthesis of Au-ZrO2-graphene nanocomposite for a nonenzymatic methyl parathion sensor. Anal. Chim. Acta 2019, 1072, 25–34. [Google Scholar] [CrossRef] [PubMed]
- Shu, H.; Chang, G.; Su, J.; Cao, L.; Huang, Q.; Zhang, Y.; Xia, T.; He, Y. Single-step electrochemical deposition of high performance Au-graphene nanocomposites for nonenzymatic glucose sensing. Sens. Actuators B Chem. 2015, 220, 331–339. [Google Scholar] [CrossRef]
- Bilal, S.; Ullah, W. Polyaniline@ CuNi nanocomposite: A highly selective, stable and efficient electrode material for binder free non-enzymatic glucose sensor. Electrochim. Acta 2018, 284, 382–391. [Google Scholar] [CrossRef]
- Kang, T.-F.; Wang, F.; Lu, L.-P.; Zhang, Y.; Liu, T.-S. Methyl parathion sensors based on gold nanoparticles and Nafion film modified glassy carbon electrodes. Sens. Actuators B Chem. 2010, 145, 104–109. [Google Scholar] [CrossRef]
- Ma, J.-C.; Zhang, W.-D. Gold nanoparticle-coated multiwall carbon nanotube-modified electrode for electrochemical determination of methyl parathion. Microchim. Acta 2011, 175, 309–314. [Google Scholar] [CrossRef]
- Zhu, W.; Liu, W.; Li, T.; Yue, X.; Liu, T.; Zhang, W.; Yu, S.; Zhang, D.; Wang, J. Facile green synthesis of graphene-Au nanorod nanoassembly for on-line extraction and sensitive stripping analysis of methyl parathion. Electrochim. Acta 2014, 146, 419–428. [Google Scholar] [CrossRef]
- Lu, J.; Sun, Y.; Waterhouse, G.I.; Xu, Z. A voltammetric sensor based on the use of reduced graphene oxide and hollow gold nanoparticles for the quantification of methyl parathion and parathion in agricultural products. Adv. Polym. Technol. 2018, 37, 3629–3638. [Google Scholar] [CrossRef]
- Pico, Y.; Rodrıguez, R.; Manes, J. Capillary electrophoresis for the determination of pesticide residues. TrAC Trends Anal. Chem. 2003, 22, 133–151. [Google Scholar] [CrossRef]
- Razzino, C.A.; Sgobbi, L.F.; Canevari, T.C.; Cancino, J.; Machado, S.A. Sensitive determination of carbendazim in orange juice by electrode modified with hybrid material. Food Chem. 2015, 170, 360–365. [Google Scholar] [CrossRef]












| Material | Linear Range (ppm) | LOD (ppb) | Reference |
|---|---|---|---|
| Au-ZrO2-graphene/GCE | 0.001–0.100 0.100–2.400 | 1 | [31] |
| Au/Nafion/GCE | 0.13–31.57 | 26 | [34] |
| Au/MWCNTs | 0.5–16 | 50 | [35] |
| GN-AuNRs/GCE | 0.01–0.50 0.75–4.00 | 0.82 | [36] |
| HAuNPs/rGO | 0.08–2.63 | 31.5 | [37] |
| Nanostructured gold-modified electrode | 0.01–0.50 0.50–4 | 5.8 | This work |
| Sample | Spiked Concentration | GC/MS-MS | Recovery | RSD | Electrochemical Sensing | Recovery | RSD |
|---|---|---|---|---|---|---|---|
| Bok choy | 1.00 ppm | 0.97 ppm | 97.0% | 1.90% | 0.98 ppm | 98.0% | 4.71% |
| Strawberry | 0.70 ppm | 0.66 ppm | 94.3% | 1.28% | 0.67 ppm | 95.7% | 3.96% |
Publisher’s Note: MDPI stays neutral with regard to jurisdictional claims in published maps and institutional affiliations. |
© 2022 by the authors. Licensee MDPI, Basel, Switzerland. This article is an open access article distributed under the terms and conditions of the Creative Commons Attribution (CC BY) license (https://creativecommons.org/licenses/by/4.0/).
Share and Cite
Chang, H.-W.; Chen, C.-L.; Chen, Y.-H.; Chang, Y.-M.; Liu, F.-J.; Tsai, Y.-C. Electrochemical Organophosphorus Pesticide Detection Using Nanostructured Gold-Modified Electrodes. Sensors 2022, 22, 9938. https://doi.org/10.3390/s22249938
Chang H-W, Chen C-L, Chen Y-H, Chang Y-M, Liu F-J, Tsai Y-C. Electrochemical Organophosphorus Pesticide Detection Using Nanostructured Gold-Modified Electrodes. Sensors. 2022; 22(24):9938. https://doi.org/10.3390/s22249938
Chicago/Turabian StyleChang, Han-Wei, Chien-Lin Chen, Yan-Hua Chen, Yu-Ming Chang, Feng-Jiin Liu, and Yu-Chen Tsai. 2022. "Electrochemical Organophosphorus Pesticide Detection Using Nanostructured Gold-Modified Electrodes" Sensors 22, no. 24: 9938. https://doi.org/10.3390/s22249938
APA StyleChang, H.-W., Chen, C.-L., Chen, Y.-H., Chang, Y.-M., Liu, F.-J., & Tsai, Y.-C. (2022). Electrochemical Organophosphorus Pesticide Detection Using Nanostructured Gold-Modified Electrodes. Sensors, 22(24), 9938. https://doi.org/10.3390/s22249938

