Concurrent Validity and Reliability of Devices to Measure Jump Height in Men’s Handball Players
Abstract
1. Introduction
2. Material and Methods
2.1. Participants
2.2. Testing Procedure
2.3. Instruments
2.4. Jump Performance
2.5. Statistical Analysis
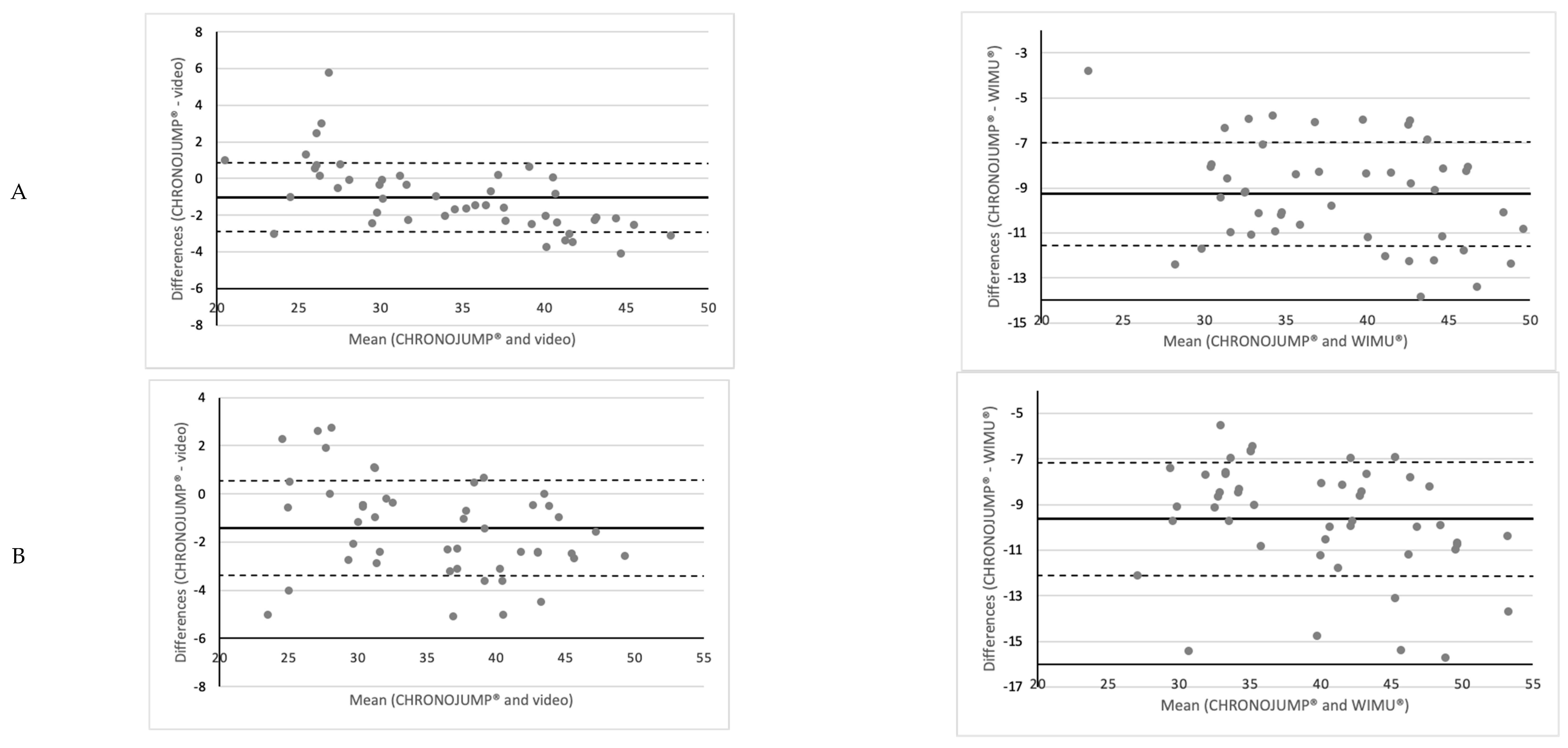
3. Results
4. Discussion
5. Conclusions and Practical Applications
Author Contributions
Funding
Institutional Review Board Statement
Informed Consent Statement
Data Availability Statement
Acknowledgments
Conflicts of Interest
References
- Mazurek, K.; Zmijewski, P.; Makaruk, H.; Mróz, A.; Czajkowska, A.; Witek, K.; Bodasiński, S.; Lipińska, P. Effects of Short-Term Plyometric Training on Physical Performance in Male Handball Players. J. Hum. Kinet. 2018, 63, 137–148. [Google Scholar] [CrossRef] [PubMed]
- Michalsik, L.; Aagaard, P.; Madsen, K. Locomotion Characteristics and Match-Induced Impairments in Physical Performance in Male Elite Team Handball Players. Int. J. Sports Med. 2012, 34, 590–599. [Google Scholar] [CrossRef]
- Ortega-Becerra, M.; Belloso-Vergara, A.; Pareja-Blanco, F. Physical and Physiological Demands During Handball Matches in Male Adolescent Players. J. Hum. Kinet. 2020, 72, 253–263. [Google Scholar] [CrossRef] [PubMed]
- Kniubaite, A.; Skarbalius, A.; Clemente, F.M.; Conte, D. Quantification of external and internal match loads in elite female team handball. Biol Sport 2019, 36, 311–316. [Google Scholar] [CrossRef] [PubMed]
- Chelly, M.S.; Hermassi, S.; Aouadi, R.; Khalifa, R.; Van den Tillaar, R.; Chamari, K.; Shephard, R.J. Match analysis of elite adolescent team handball players. J. Strength Cond. Res. 2011, 25, 2410–2417. [Google Scholar] [CrossRef]
- Wagner, H.; Kainrath, S.; Müller, E. Coordinative and Tactical Parameters in the Handball Throw and Their Influence to the Level of Performance. Available online: https://uni-salzburg.elsevierpure.com/de/publications/coordinative-and-tactical-parameters-in-the-handball-throw-and-th (accessed on 16 November 2022).
- McGhie, D.; Østerås, S.; Ettema, G.; Paulsen, G.; Sandbakk, Ø. Strength Determinants of Jump Height in the Jump Throw Movement in Women Handball Players. J. Strength Cond. Res. 2020, 34, 2937–2946. [Google Scholar] [CrossRef]
- Chtara, M.; Rouissi, M.; Haddad, M.; Chtara, H.; Chaalali, A.; Owen, A.; Chamari, K. Specific physical trainability in elite young soccer players: Efficiency over 6 weeks’ in-season training. Biol. Sport 2017, 2, 137–148. [Google Scholar] [CrossRef]
- Chaabene, H.; Negra, Y.; Moran, J.; Prieske, O.; Sammoud, S.; Ramirez, R.; Granacher, U. Plyometric Training Improves Not Only Measures of Linear Speed, Power, and Change-of-Direction Speed But Also Repeated Sprint Ability in Female Young Handball Players. J. Strength Cond. Res. 2019, 35, 2230–2235. [Google Scholar] [CrossRef]
- Hammami, M.; Negra, Y.; Aouadi, R.; Shephard, R.J.; Chelly, M.S. Effects of an In-season Plyometric Training Program on Repeated Change of Direction and Sprint Performance in the Junior Soccer Player. J. Strength Cond. Res. 2016, 30, 3312–3320. [Google Scholar] [CrossRef]
- Bosco, C.; Luhtanen, P.; Komi, P.V. A simple method for measurement of mechanical power in jumping. Europ. J. Appl. Physiol. 1983, 50, 273–282. [Google Scholar] [CrossRef]
- Sáez Sáez de Villarreal, E.; Izquierdo, M.; Gonzalez-Badillo, J.J. Enhancing Jump Performance After Combined vs. Maximal Power, Heavy-Resistance, and Plyometric Training Alone. J. Strength Cond. Res. 2011, 25, 3274–3281. [Google Scholar] [CrossRef]
- Rodacki, A.L.F.; Fowler, N.E.; Bennett, S.J. Vertical jump coordination: Fatigue effects. Med. Sci. Sport. Exerc. 2002, 34, 105–116. [Google Scholar] [CrossRef] [PubMed]
- Häkkinen, K.; Komi, P.; Kauhanen, H. Electromyographic and Force Production Characteristics of Leg Extensor Muscles of Elite Weight Lifters During Isometric, Concentric, and Various Stretch-Shortening Cycle Exercises. Int. J. Sports Med. 1986, 07, 144–151. [Google Scholar] [CrossRef] [PubMed]
- Markovic, G.; Dizdar, D.; Jukic, I.; Cardinale, M. Reliability and factorial validity of squat and countermovement jump tests. J. Strength Cond. Res. 2004, 18, 551–555. [Google Scholar] [PubMed]
- Buchheit, M.; Spencer, M.; Ahmaidi, S. Reliability, Usefulness, and Validity of a Repeated Sprint and Jump Ability Test. Int. J. Sport. Physiol. Perform. 2010, 5, 3–17. [Google Scholar] [CrossRef]
- Sánchez-Medina, L.; González-Badillo, J.J. Velocity Loss as an Indicator of Neuromuscular Fatigue during Resistance Training. Med. Sci. Sport. Exerc. 2011, 43, 1725–1734. [Google Scholar] [CrossRef]
- Balsalobre-Fernández, C.; Ma Tejero-González, C.; del Campo-Vecino, J. Hormonal and Neuromuscular Responses to High-Level Middle- and Long-Distance Competition. Int. J. Sport. Physiol. Perform. 2014, 9, 839–844. [Google Scholar] [CrossRef]
- Bahr, M.A.; Bahr, R. Jump frequency may contribute to risk of jumper’s knee: A study of interindividual and sex differences in a total of 11 943 jumps video recorded during training and matches in young elite volleyball players. Br. J. Sports Med. 2014, 48, 1322–1326. [Google Scholar] [CrossRef]
- Glatthorn, J.F.; Gouge, S.; Nussbaumer, S.; Stauffacher, S.; Impellizzeri, F.M.; Maffiuletti, N.A. Validity and Reliability of Optojump Photoelectric Cells for Estimating Vertical Jump Height. J. Strength Cond. Res. 2011, 25, 556–560. [Google Scholar] [CrossRef]
- Pino-Ortega, J.; García-Rubio, J.; Ibáñez, S.J. Validity and reliability of the WIMU inertial device for the assessment of the vertical jump. PeerJ 2018, 6, e4709. [Google Scholar] [CrossRef]
- Requena, B.; García, I.; Requena, F.; Saez-Saez de Villarreal, E.; Pääsuke, M. Reliability and Validity of a Wireless Microelectromechanicals Based System (KeimoveTM) for Measuring Vertical Jumping Performance. J. Sports Sci. Med. 2012, 11, 115–122. [Google Scholar] [PubMed]
- Sayers, S.P.; Harackiewicz, D.V.; Harman, E.A.; Frykman, P.N.; Rosenstein, M.T. Cross-validation of three jump power equations. Med. Sci. Sports Exerc. 1999, 31, 572–577. [Google Scholar] [CrossRef] [PubMed]
- Kibele, A. Possibilities and Limitations in the Biomechanical Analysis of Countermovement Jumps: A Methodological Study. J. Appl. Biomech. 1998, 14, 105–117. [Google Scholar] [CrossRef]
- Moir, G.L. Three Different Methods of Calculating Vertical Jump Height from Force Platform Data in Men and Women. Meas. Phys. Educ. Exerc. Sci. 2008, 12, 207–218. [Google Scholar] [CrossRef]
- Balsalobre-Fernández, C.; Glaister, M.; Lockey, R.A. The validity and reliability of an iPhone app for measuring vertical jump performance. J. Sport. Sci. 2015, 33, 1574–1579. [Google Scholar] [CrossRef] [PubMed]
- Casartelli, N.; Müller, R.; Maffiuletti, N.A. Validity and Reliability of the Myotest Accelerometric System for the Assessment of Vertical Jump Height. J. Strength Cond. Res. 2010, 24, 3186–3193. [Google Scholar] [CrossRef] [PubMed]
- de Blas, X.; Padullés, J.M.; López del Amo, J.L.; Guerra-Balic, M. Creation and Validation of Chronojump-Boscosystem: A Free Tool to Measure Vertical Jumps. (Creación y validación de Chronojump-Boscosystem: Un instrumento libre para la medición de saltos verticales). Rev. Int. Cienc. Deporte 2012, 8, 334–356. [Google Scholar] [CrossRef]
- Bui, H.T.; Farinas, M.-I.; Fortin, A.-M.; Comtois, A.-S.; Leone, M. Comparison and analysis of three different methods to evaluate vertical jump height. Clin. Physiol. Funct. Imaging 2015, 35, 203–209. [Google Scholar] [CrossRef]
- Balsalobre-Fernández, C.; Tejero-González, C.M.; del Campo-Vecino, J.; Bavaresco, N. The Concurrent Validity and Reliability of a Low-Cost, High-Speed Camera-Based Method for Measuring the Flight Time of Vertical Jumps. J. Strength Cond. Res. 2014, 28, 528–533. [Google Scholar] [CrossRef]
- Pueo, B.; Penichet-Tomas, A.; Jimenez-Olmedo, J. Reliability and validity of the Chronojump open-sourcejump mat system. Biol. Sport 2020, 37, 255–259. [Google Scholar] [CrossRef]
- Charlton, P.C.; Kenneally-Dabrowski, C.; Sheppard, J.; Spratford, W. A simple method for quantifying jump loads in volleyball athletes. J. Sci. Med. Sport 2017, 20, 241–245. [Google Scholar] [CrossRef] [PubMed]
- Skazalski, C.; Whiteley, R.; Hansen, C.; Bahr, R. A valid and reliable method to measure jump-specific training and competition load in elite volleyball players. Scand. J. Med. Sci. Sports 2018, 28, 1578–1585. [Google Scholar] [CrossRef] [PubMed]
- Andrade, D.C.; Henriquez-Olguin, C.; Beltran, A.R.; Ramirez, M.A.; Labarca, C.; Cornejo, M.; Alvarez, C.; Ramirez-Campillo, R. Effects of general, specific and combined warm-up on explosive muscular performance. Biol. Sport 2015, 32, 123–128. [Google Scholar] [CrossRef] [PubMed]
- MacDonald, K.; Bahr, R.; Baltich, J.; Whittaker, J.L.; Meeuwisse, W.H. Validation of an inertial measurement unit for the measurement of jump count and height. Phys. Ther. Sport 2017, 25, 15–19. [Google Scholar] [CrossRef]
- Gómez-Carmona, C.D.; Bastida-Castillo, A.; Ibáñez, S.J.; Pino-Ortega, J. Accelerometry as a method for external workload monitoring in invasion team sports. A systematic review. PLoS ONE 2020, 15, e0236643. [Google Scholar] [CrossRef]
- Rodríguez-Rosell, D.; Mora-Custodio, R.; Franco-Márquez, F.; Yáñez-García, J.M.; González-Badillo, J.J. Traditional vs. Sport-Specific Vertical Jump Tests: Reliability, Validity, and Relationship With the Legs Strength and Sprint Performance in Adult and Teen Soccer and Basketball Players. J. Strength Cond. Res. 2017, 31, 196–206. [Google Scholar] [CrossRef]
- Hori, N.; Newton, R.U.; Andrews, W.A.; Kawamori, N.; Mcguigan, M.R.; Nosaka, K. Comparison of four different methods to measure power output during the hang power clean and the weighted jump squat. J Strength Cond Res 2007, 21, 314–320. [Google Scholar] [CrossRef]
- Linthorne, N.P. Analysis of standing vertical jumps using a force platform. Am. J. Phys. 2001, 69, 1198–1204. [Google Scholar] [CrossRef]
- Baca, A. A comparison of methods for analyzing drop jump performance. Med. Sci. Sports Exerc. 1999, 31, 437–442. [Google Scholar] [CrossRef]





| CHRONOJUMP® | WIMU® Acceleration | WIMU® Time Fly | WIMU® Speed | Video | VERT® | |
|---|---|---|---|---|---|---|
| SJ | 33.77 ± 0.93 (2.59) | 42.33 ± 0.94 (2.61) | 43.04 ± 1.03 (2.84) | 44.17 ± 1.40 (3.87) | 34.77 ± 1.11 (3.07) | 47.29 ± 0.93 (2.57) |
| CMJ | 34.84 ± 0.96 (2.67) | 43.70 ± 1.14 (3.16) | 44.45 ± 1.08 (2.99) | 44.19 ± 1.26 (3.48) | 36.25 ± 1.06 (2.94) | 46.77 ± 1.20 (3.32) |
| Abalakov | 38.64 ± 1.18 (3.28) | 47.44 ± 1.21 (3.36) | 48.04 ± 1.21 (3.36) | 51.75 ± 1.54 (4.27) | 40.48 ± 1.31 (3.63) | 49.85 ± 1.26 (3.48) |
| CHRONOJUMP® and WIMU® Acceleration | p Value | d Cohen | ICC (95% CI) | R2 |
|---|---|---|---|---|
| SJ | 0.001 | −1.33 | 0.92 (0.86–0.96) | 0.736 |
| CMJ | 0.001 | −1.12 | 0.94 (0.86–0.96) | 0.793 |
| Abalakov | 0.001 | −1.06 | 0.87 (0.76–0.92) | 0.581 |
| CHRONOJUMP® and WIMU® Time fly | ||||
| SJ | 0.001 | −1.38 | 0.97 (0.95–0.98) | 0.894 |
| CMJ | 0.001 | −1.36 | 0.97 (0.94–0.98) | 0.894 |
| Abalakov | 0.001 | −1.14 | 0.96 (0.92–0.98) | 0.834 |
| CHRONOJUMP® and WIMU® Speed | ||||
| SJ | 0.001 | −1.28 | 0.84 (0.72–0.91) | 0.618 |
| CMJ | 0.001 | −1.20 | 0.79 (0.62–0.88) | 0.450 |
| Abalakov | 0.001 | −1.38 | 0.79 (0.63–0.88) | 0.458 |
| CHRONOJUMP® and Video | ||||
| SJ | 0.001 | −0.14 | 0.98 (0.97–0.99) | 0.956 |
| CMJ | 0.001 | −0.20 | 0.98 (0.96–0.99) | 0.931 |
| Abalakov | 0.001 | −0.20 | 0.98 (0.96–0.99) | 0.930 |
| CHRONOJUMP® and VERT® | ||||
| SJ | 0.001 | −2.12 | 0.82 (0.68–0.90) | 0.489 |
| CMJ | 0.001 | −1.58 | 0.83 (0.70–0.91) | 0.527 |
| Abalakov | 0.001 | −1.33 | 0.98 (0.96–0.99) | 0.918 |
Publisher’s Note: MDPI stays neutral with regard to jurisdictional claims in published maps and institutional affiliations. |
© 2022 by the authors. Licensee MDPI, Basel, Switzerland. This article is an open access article distributed under the terms and conditions of the Creative Commons Attribution (CC BY) license (https://creativecommons.org/licenses/by/4.0/).
Share and Cite
Soler-López, A.; García-de-Alcaraz, A.; Moreno-Villanueva, A.; Pino-Ortega, J. Concurrent Validity and Reliability of Devices to Measure Jump Height in Men’s Handball Players. Sensors 2022, 22, 9070. https://doi.org/10.3390/s22239070
Soler-López A, García-de-Alcaraz A, Moreno-Villanueva A, Pino-Ortega J. Concurrent Validity and Reliability of Devices to Measure Jump Height in Men’s Handball Players. Sensors. 2022; 22(23):9070. https://doi.org/10.3390/s22239070
Chicago/Turabian StyleSoler-López, Alejandro, Antonio García-de-Alcaraz, Adrián Moreno-Villanueva, and José Pino-Ortega. 2022. "Concurrent Validity and Reliability of Devices to Measure Jump Height in Men’s Handball Players" Sensors 22, no. 23: 9070. https://doi.org/10.3390/s22239070
APA StyleSoler-López, A., García-de-Alcaraz, A., Moreno-Villanueva, A., & Pino-Ortega, J. (2022). Concurrent Validity and Reliability of Devices to Measure Jump Height in Men’s Handball Players. Sensors, 22(23), 9070. https://doi.org/10.3390/s22239070

