Drone-Based 3D Synthetic Aperture Radar Imaging with Trajectory Optimization
Abstract
:1. Introduction
1.1. Synthetic Aperture Radar Signal Model
1.2. Existing 3D SAR Imaging Methods
1.3. Imaging Algorithms
2. Method
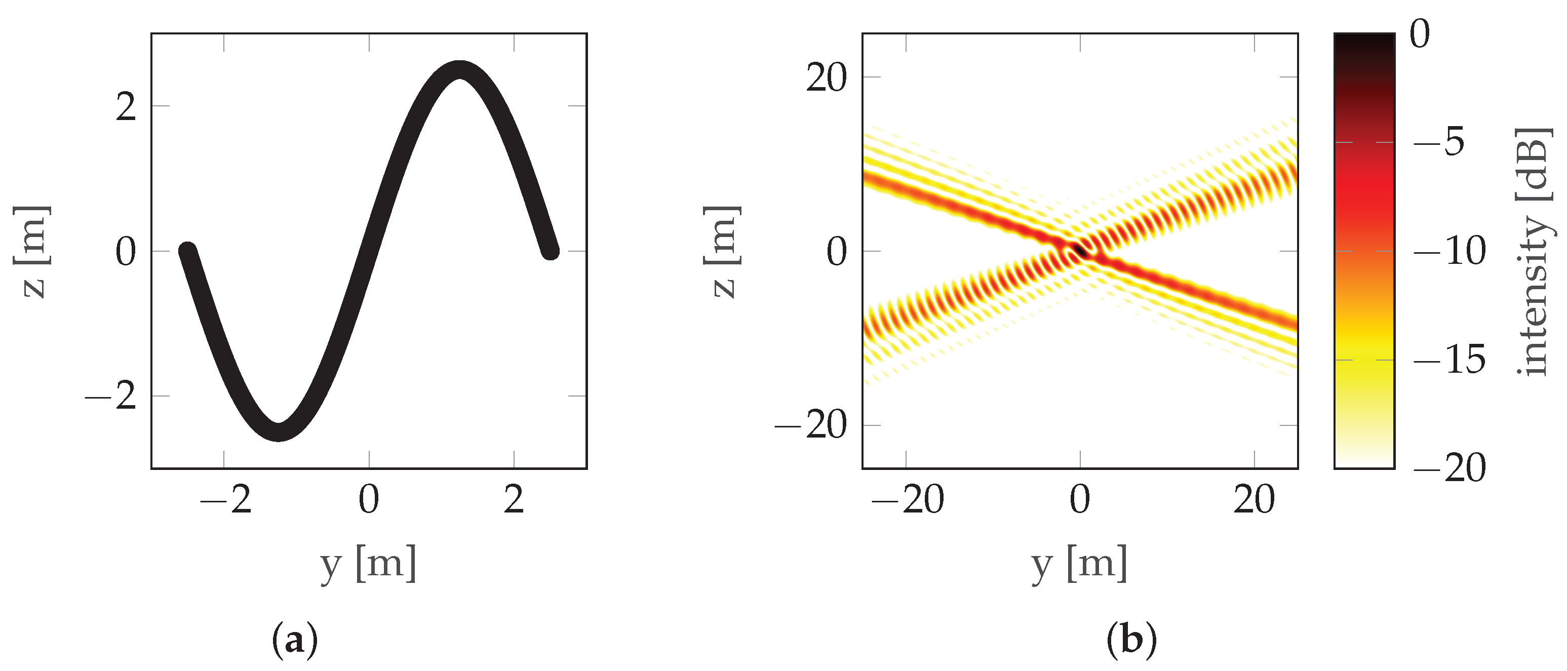
2.1. Synthetic Aperture Surface Determination
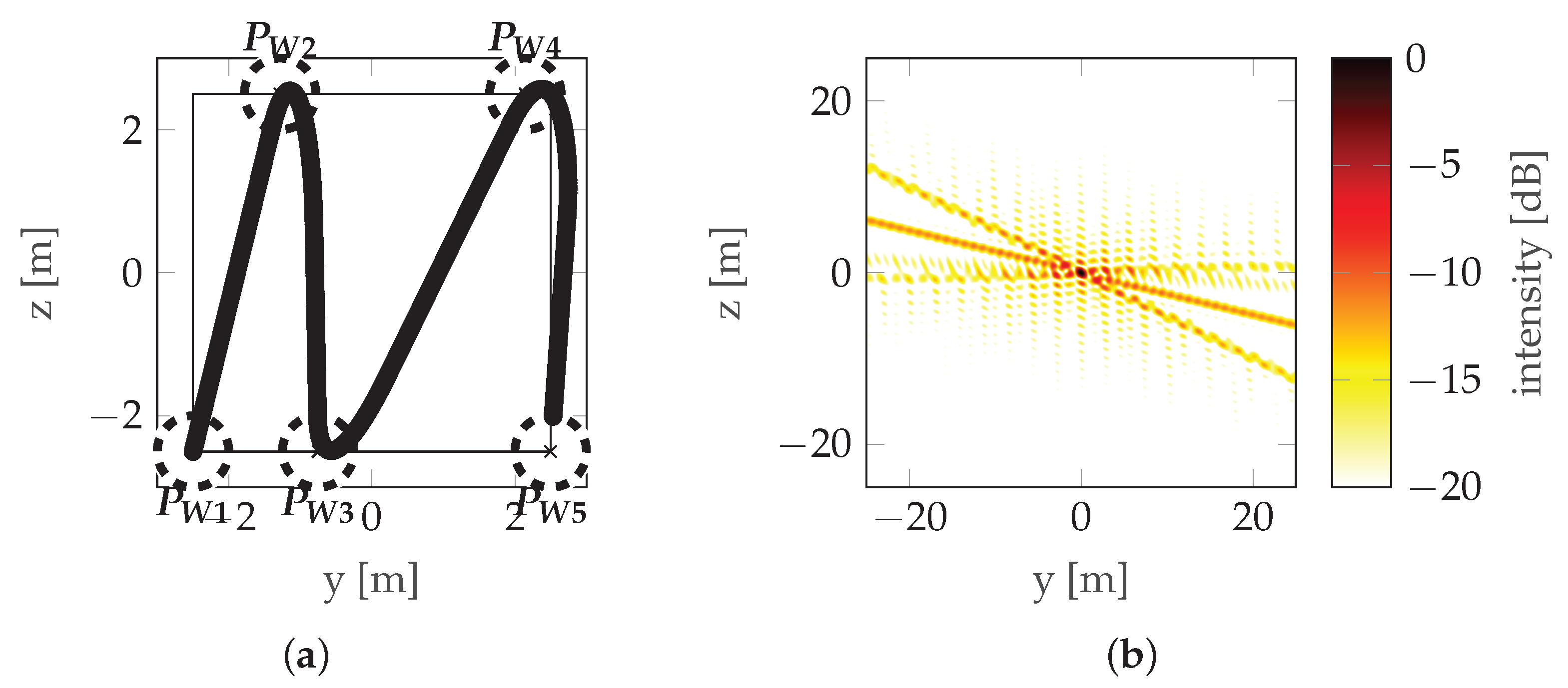
2.2. Trajectory Determination
2.3. Waypoints Following
- Check if the current waypoint has been reached:where is the position of the platform at time t, is the n-th waypoint, is the radius of the acceptance circle, and N is the total number of waypoints.
- Determine the directional vector of the trajectory that points toward current waypoint:
- Determine maximum speed in that direction:where is the maximum acceleration in the specified direction (motion model limit) and is the braking distance-distance required for the radar platform to stop when moving with the maximum speed:where is the maximum velocity in the specified direction (motion model limit).
- Determine target velocity:
- Determine the difference between the target velocity and the current velocity:where is the radar platform velocity at time t (current velocity).
- Determine the target acceleration:and clip if it is too high:where is the calculation time step.
- Finally, determine updated velocity and position:
2.4. Quality Assessment
2.5. Mainlobe Extraction
- Mark the center pixel as belonging to the mainlobe;
- Mark each neighboring pixel with a smaller value as belonging to the mainlobe;
- Start from step 2 for each marked neighboring pixel.
2.6. Resolution Estimation
2.7. PSLR and ISLR Estimation
2.8. Trajectory Cost
- is the cost related to the horizontal resolution;
- is the cost related to the vertical resolution;
- is the cost related to the Peak Sidelobe Ratio (PSLR);
- is the cost related to the Integrated Sidelobe Ratio (ISLR);
- is the cost related to the trajectory length (flight time, energy consumption).
2.9. Transfer Functions
2.9.1. Range-Type Transfer Function
2.9.2. Step-Type Transfer Function
2.10. Optimization
- Initial simplex: create a simplex consisting of points around a starting point, including the starting point.
- Sort the points so that .
- Determine the centroid of the simplex, excluding the worst point : , where denotes mean.
- Reflection: determine the reflected point , where is the reflection coefficient. If is the best point , go to step 5. If it is the worst point , go to step 6. If it is the second worst , go to step 7. Otherwise, add it to the simplex in place of and go back to step 1.
- Expansion: determine the expanded point: , where is the expansion coefficient. If it is better than reflected, add it in place of . Otherwise, add reflected. Return to step 1.
- Contract inside: determine the contracted point , where is the contraction coefficient, and if it is not the worst, put it in place of the worst and return to step 1. Otherwise, go to step 8.
- Contract outside: determine the contracted point , where is the contraction coefficient, and if it is better than reflected, replace the worst with it and return to step 1. Otherwise, go to step 8.
- Shrink: reduce the size of the simplex: , where is shrink coefficient.
3. Results
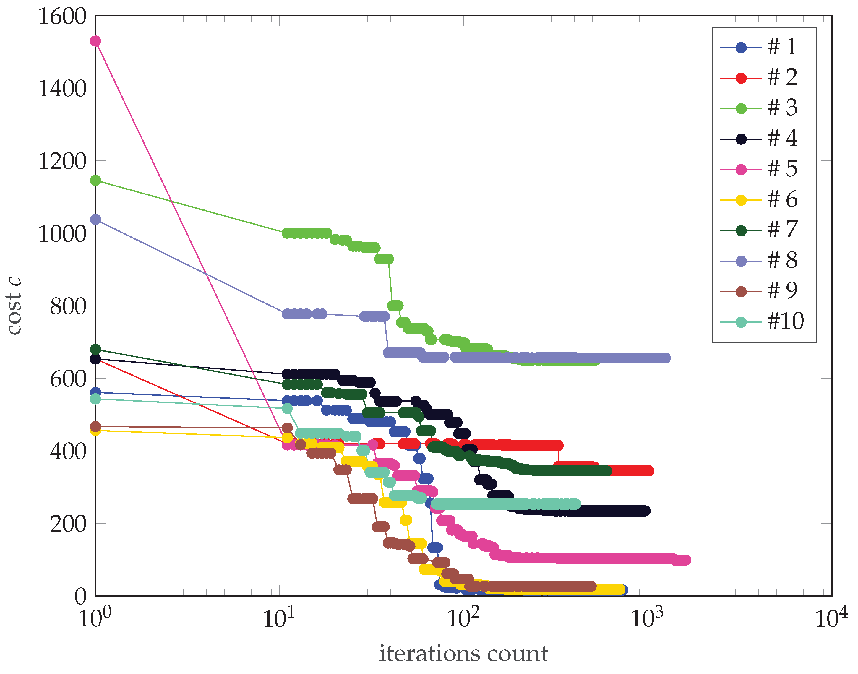
3.1. Performance Analysis
- The first step of the algorithm requires 10 function calls because the function is 10 dimensional (five waypoints with two coordinates being optimized).
- The relationship between the initial cost and the final cost is not evident, but it does occur. It can be generalized that for most cases, the lower the initial cost, the lower the final cost.
- For call counts greater than 100, there is no significant further cost reduction in most cases.
- In some cases, a small change in the position of the points causes a noticeable change in the cost, but the actual change in the PSF is small and does not have a significant impact on the actual imaging parameters. Using at least a few initial values helps reduce the impact of such cases on the final result.
- The appropriate formulation of the weights of the components of the cost function is key to achieving the expected results.
- Minor inaccuracies in the navigation of the radar platform or external factors that alter the trajectory, such as wind, do not significantly affect the final quality of the image. It should be emphasized that this conclusion applies to the inaccuracy of platform guidance, not to the inaccuracy of platform position determination. The inaccuracy of the platform position determination results in a blurring of the imaging proportional to the position determination error and inversely proportional to the carrier wavelength [6].
3.2. Comparison with Reference
- The 2-pass and 3-pass trajectories have close and strong sidelobes (grating lobes), making it impossible to obtain three-dimensional (3D) imaging without additional processing, such as phase unwrapping.
- In terms of the flight time, the optimized trajectory ranks between the 3-pass and 4-pass trajectories.
- The optimized trajectory is characterized by the lowest Peak Sidelobe Ratio (PSLR) (comparable to the 2-pass).
- The optimized trajectory is characterized by the highest Integrated Sidelobe Ratio (ISLR) (comparable to the 5-pass).
4. Discussion
Author Contributions
Funding
Institutional Review Board Statement
Informed Consent Statement
Data Availability Statement
Conflicts of Interest
References
- Wiley, C.A. Synthetic aperture radars—A paradigm for technology evolution. IEEE Trans. Aerosp. Electron. Syst. 1985, AES-21, 440–443. [Google Scholar] [CrossRef]
- Zhang, R.; Cao, S. 3D imaging millimetre wave circular synthetic aperture radar. Sensors 2017, 17, 1419. [Google Scholar] [CrossRef] [PubMed]
- Hajeb, M.; Karimzadeh, S.; Matsuoka, M. SAR and LIDAR datasets for building damage evaluation based on support vector machine and random forest algorithms—A case study of Kumamoto earthquake, Japan. Appl. Sci. 2020, 10, 8932. [Google Scholar] [CrossRef]
- Munson, D.C.; O’brien, J.D.; Kenneth Jenkins, W. A Tomographic Formulation of Spotlight-Mode Synthetic Aperture Radar. Proc. IEEE 1983, 71, 917–925. [Google Scholar] [CrossRef]
- Özdemir, C. Inverse Synthetic Aperture Radar Imaging with MATLAB Algorithms; Wiley Series in Microwave and Optical Engineering; John Wiley & Sons: Hoboken, NJ, USA, 2012. [Google Scholar] [CrossRef]
- Skolnik, M.I. Radar Handbook, 3rd ed.; Electronics Electrical Engineering; McGraw-Hill Education: New York, NY, USA, 2008. [Google Scholar]
- Lukin, K.A.; Mogyla, A.A.; Palamarchuk, V.P.; Vyplavin, P.L.; Zemlyaniy, O.V.; Shiyan, Y.A.; Zaets, M. Ka-band bistatic ground-based noise waveform SAR for short-range applications. IET Radar Sonar Navig. 2008, 2, 233–243. [Google Scholar] [CrossRef]
- Gromek, D.; Radecki, K.; Drozdowicz, J.; Samczyński, P.; Szabatin, J. Passive SAR imaging using DVB-T illumination for airborne applications. IET Radar Sonar Navig. 2019, 13, 213–221. [Google Scholar] [CrossRef]
- Pinheiro, M.; Prats, P.; Scheiber, R.; Nannini, M.; Reigber, A. Tomographic 3D reconstruction from airborne circular SAR. In Proceedings of the International Geoscience and Remote Sensing Symposium (IGARSS), Cape Town, South Africa, 12–17 July 2009; Volume 3. [Google Scholar] [CrossRef]
- Góes, J.A.; Castro, V.; Sant’Anna Bins, L.; Hernandez-Figueroa, H.E. Spiral sar imaging with fast factorized back-projection: A phase error analysis. Sensors 2021, 21, 5099. [Google Scholar] [CrossRef] [PubMed]
- Rigling, B.D.; Moses, R.L. Flight path strategies for 3-D scene reconstruction from bistatic SAR. IEE Proc. Radar Sonar Navig. 2004, 151, 149–157. [Google Scholar] [CrossRef]
- André, D. An analysis of 3D SAR from single pass nonlinear radar platform trajectories. Algorithms Synth. Aperture Radar Imag. XVII 2010, 7699, 769908. [Google Scholar] [CrossRef]
- Mueller, M.W.; Hehn, M.; Dandrea, R. A Computationally Efficient Motion Primitive for Quadrocopter Trajectory Generation. IEEE Trans. Robot. 2015, 31, 1294–1310. [Google Scholar] [CrossRef]
- Oliver Chris, Q.S. Understanding Synthetic Aperture Radar Images; SciTech Publishing: Raleigh, NC, USA, 2004. [Google Scholar]
- Rigling, B.D.; Moses, R.L. Polar format algorithm for bistatic SAR. IEEE Trans. Aerosp. Electron. Syst. 2004, 40, 1147–1159. [Google Scholar] [CrossRef]
- Zhang, H.; Li, Y.; Su, Y. SAR image quality assessment using coherent correlation function. In Proceedings of the CISP 2012: 2012 5th International Congress on Image and Signal Processing, Chongqing, China, 16–18 October 2012; pp. 1129–1133. [Google Scholar] [CrossRef]
- Lagarias, J.C.; Reeds, J.A.; Wright, M.H.; Wright, P.E. Convergence properties of the Nelder-Mead simplex method in low dimensions. SIAM J. Optim. 1998, 9, 112–147. [Google Scholar] [CrossRef]
- Nelder, J.A.; Mead, R. A Simplex Method for Function Minimization. Comput. J. 1965, 7, 308–313. [Google Scholar] [CrossRef]
- Mathworks. Find Minimum of Unconstrained Multivariable Function Using Derivative-Free Method–MATLAB fminsearch. 2013. Available online: https://www.mathworks.com/help/matlab/ref/fminsearch.html (accessed on 30 July 2022).
- Stecz, W.; Gromada, K. UAV mission planning with SAR application. Sensors 2020, 20, 1080. [Google Scholar] [CrossRef]
- Austin, C.D.; Ertin, E.; Moses, R.L. Sparse multipass 3D SAR imaging: Applications to the GOTCHA data set. Algorithms Synth. Aperture Radar Imag. XVI 2009, 7337, 733703. [Google Scholar] [CrossRef]
- Drozdowicz, J.; Wielgo, M.; Baczyk, M.K. Generalized SL0 algorithm for 3D circular SAR imaging. In Proceedings of the MIKON 2018–22nd International Microwave and Radar Conference, Poznan, Poland, 14–17 May 2018; pp. 265–266. [Google Scholar] [CrossRef]
- Hao, J.; Li, J.; Pi, Y. Three-dimensional imaging of terahertz circular SAR with sparse linear array. Sensors 2018, 18, 2477. [Google Scholar] [CrossRef] [Green Version]
- Siemiatkowska, B.; Stecz, W. A framework for planning and execution of drone swarm missions in a hostile environment. Sensors 2021, 21, 4150. [Google Scholar] [CrossRef]























| Parameter | Value |
|---|---|
| ROI horizontal dimension | 10 m |
| ROI vertical dimension | 10 m |
| distance to ROI | 100 m |
| max. upward acceleration | 3 m/s2 |
| max. downward acceleration | 8 m/s2 |
| max. vertical acceleration | 5 m/s2 |
| max. upward velocity | 4 m/s |
| max. downward velocity | 8 m/s |
| max. vertical velocity | 6 m/s |
| carrier frequency | 3 GHz |
| bandwidth B | 300 MHz |
| horizontal beamwidth | 10° |
| vertical beamwidth | 20° |
| PRF | 1 kHz |
| Parameter | Lower Value | Upper Value | Weight |
|---|---|---|---|
| 0.3 | |||
| 0.3 | |||
| 0.2 | |||
| 0.1 | |||
| t | - | 0.1 |
| # | PSLR | ISLR | cost c | |||||||
|---|---|---|---|---|---|---|---|---|---|---|
| ini | fin | ini | fin | ini | fin | ini | fin | ini | fin | |
| 1 | 0.94 | 0.82 | 1.97 | 1.93 | 0.71 | 0.46 | 20.37 | 22.90 | 561.28 | 16.63 |
| 2 | 1.32 | 1.12 | 2.02 | 1.70 | 0.60 | 0.60 | 14.21 | 15.80 | 653.68 | 345.26 |
| 3 | 1.79 | 1.49 | 1.66 | 1.60 | 0.52 | 0.48 | 9.64 | 11.89 | 1145.60 | 650.58 |
| 4 | 1.24 | 1.21 | 1.85 | 1.73 | 0.66 | 0.50 | 14.12 | 14.15 | 653.42 | 234.86 |
| 5 | 1.19 | 1.14 | 3.68 | 2.09 | 0.59 | 0.47 | 12.08 | 13.68 | 1529.34 | 99.23 |
| 6 | 0.99 | 1.08 | 1.82 | 1.49 | 0.66 | 0.47 | 16.09 | 17.28 | 456.42 | 18.50 |
| 7 | 1.24 | 1.20 | 1.80 | 1.87 | 0.67 | 0.55 | 12.03 | 11.98 | 679.96 | 345.06 |
| 8 | 1.59 | 1.53 | 2.58 | 1.86 | 0.47 | 0.45 | 9.53 | 10.36 | 1037.71 | 656.06 |
| 9 | 1.25 | 1.12 | 1.69 | 2.11 | 0.57 | 0.43 | 13.64 | 12.68 | 467.29 | 27.27 |
| 10 | 1.39 | 1.27 | 1.68 | 1.87 | 0.51 | 0.45 | 11.85 | 11.59 | 543.47 | 253.53 |
| Scenario | PSLR | ISLR | Time t | Cost c | ||
|---|---|---|---|---|---|---|
| MBSAR 2-pass | 0.83 | 1.02 | 0.99 | 23.93 | 3.05 | 1258.84 |
| MBSAR 3-pass | 0.83 | 1.35 | 0.95 | 13.62 | 4.58 | 1131.92 |
| MBSAR 4-pass | 0.89 | 1.52 | 0.79 | 9.66 | 6.10 | 766.22 |
| MBSAR 5-pass | 0.87 | 1.62 | 0.48 | 7.55 | 7.63 | 37.84 |
| optimized #1 | 0.57 | 1.81 | 0.46 | 25.95 | 5.22 | 35.94 |
Publisher’s Note: MDPI stays neutral with regard to jurisdictional claims in published maps and institutional affiliations. |
© 2022 by the authors. Licensee MDPI, Basel, Switzerland. This article is an open access article distributed under the terms and conditions of the Creative Commons Attribution (CC BY) license (https://creativecommons.org/licenses/by/4.0/).
Share and Cite
Drozdowicz, J.; Samczynski, P. Drone-Based 3D Synthetic Aperture Radar Imaging with Trajectory Optimization. Sensors 2022, 22, 6990. https://doi.org/10.3390/s22186990
Drozdowicz J, Samczynski P. Drone-Based 3D Synthetic Aperture Radar Imaging with Trajectory Optimization. Sensors. 2022; 22(18):6990. https://doi.org/10.3390/s22186990
Chicago/Turabian StyleDrozdowicz, Jedrzej, and Piotr Samczynski. 2022. "Drone-Based 3D Synthetic Aperture Radar Imaging with Trajectory Optimization" Sensors 22, no. 18: 6990. https://doi.org/10.3390/s22186990
APA StyleDrozdowicz, J., & Samczynski, P. (2022). Drone-Based 3D Synthetic Aperture Radar Imaging with Trajectory Optimization. Sensors, 22(18), 6990. https://doi.org/10.3390/s22186990

