Anomaly Detection in Satellite Telemetry Data Using a Sparse Feature-Based Method
Abstract
:1. Introduction
- A novel spacecraft anomaly detection method named SFAD; the proposed SFAD has the advantage of handling multivariate telemetry time series, and in particular is able to consider correlation anomalies between different telemetry parameters. To the best of our knowledge, few studies have been conducted to investigate sparse representation one-class classification in the context of satellite anomaly detection; our paper thus provides a reference for further study.
- The proposed SFAD method is applied to achieve hybrid anomaly detection from satellite telemetry data, demonstrating its effectiveness and superiority over the standard OCSVM, LSTM-based, and SR-based methods for tackling the challenges related to spacecraft anomaly detection.
2. Analysis of Spacecraft Anomalies
2.1. Characteristics of Telemetry Data
- (1)
- Large data volume, high dimensionality and complex relationship between parameters: Spacecraft are highly precise and highly complex devices. To monitor their in-orbit status in real time, the transmission interval is typically milliseconds, and the satellite life is long, resulting in a large amount of data. In addition, there are complex structural relations between telemetry parameters.
- (2)
- Complex temporal characteristics: Affected by the working mechanism and degradation of the spacecraft, certain telemetry parameters change periodically or exhibit certain trends. Different working modes lead to typical dynamics in parameters, which are called patterns. With certain types of random noise, telemetry anomalies are more difficult to identify.
- (3)
- Many missing points and outliers: The influence of the environment of space and transmission distortion can both lead to missing points and outliers in telemetry parameters; therefore, proper pre-processing is essential. For example, the box-plot method, 53H method, and median filtering algorithm are classical methods that remove outliers caused by errors in data conversion and transmission. Several different reconstruction methods have been applied to compensate for missing points [23].
2.2. Anomalies in Telemetry
- (1)
- Point anomalies are single sample points or small continuous sample points that are markedly different from the rest of the data. An example of a point anomaly is shown in Figure 1 (box #2).
- (2)
- Collective anomalies are single points that do not exceed the threshold, but which make up a collection of continuous points that violates the regularity of the original data. We consider a collection of continuous points as collective anomalies. Three examples of collective anomalies are shown in Figure 1 (boxes #1, #3 and #5).
- (3)
- Contextual anomalies occur when a point is abnormal only in a particular context. In most cases, the contextual environment of telemetry data is time; thus, contextual anomalies in this study can be understood to be contextual anomalies of time. An example of a contextual anomaly is shown in Figure 1 (box #6).
- (4)
- Correlation anomalies occur when the correlation between parameters changes. Such correlations include physical relations, logical relations, pattern relations, etc. Figure 1 (boxes #4 and #7) shows examples of correlation anomalies. The anomalies in Figure 1, boxes #4 and #7 consist of relationships of time-series patterns that have changed. In the examples, the expected co-occurrence patterns of parameters are not observed in the red box, which corresponds to a correlation anomaly.
3. Sparse Feature-Based Anomaly Detection Method (SFAD)
4. Sparse Feature Extraction
4.1. Sparse Representations and Dictionary Learning
4.2. Sparse Model Construction for Telemetry Data
4.2.1. Preprocessing
4.2.2. Sparse Representation for Telemetry Data
| Algorithm 1: K-SVD |
| input: sample , dictionary , sparse matric |
| output: dictionary , sparse matric |
| 1. initialization: set the initial dictionary with normalized columns, set 2. sparse coding: solve the sparse matric with 3. dictionary update: for each column in , update it by ----define the group of examples that use this atom, , is the k-th row in . ----compute the overall representation error matrix by ----restrict by choosing only the columns corresponding to , and obtain ----apply SVD decomposition . Choose the updated dictionary column to be the first column of . Update the coefficient vector to be the first column of multiplied by 4. set |
4.2.3. Definition of Sparse Features
- (1)
- The sparse label records the numerical order of the nonzero elements, equal to the row number of the element, and concatenates it in order into a sparse label vector.
- (2)
- The sparse coefficient records the coefficient of the nonzero elements and concatenates it in order into a sparse coefficient vector.
5. Sparse Feature-Based Anomaly Detection Using OCSVM
6. Illustrative Cases
6.1. Case Settings
6.2. Experimental Results and Methods of Comparison
6.2.1. Experimental Results
6.2.2. Methods of Comparison
6.3. Sensitivity Analysis
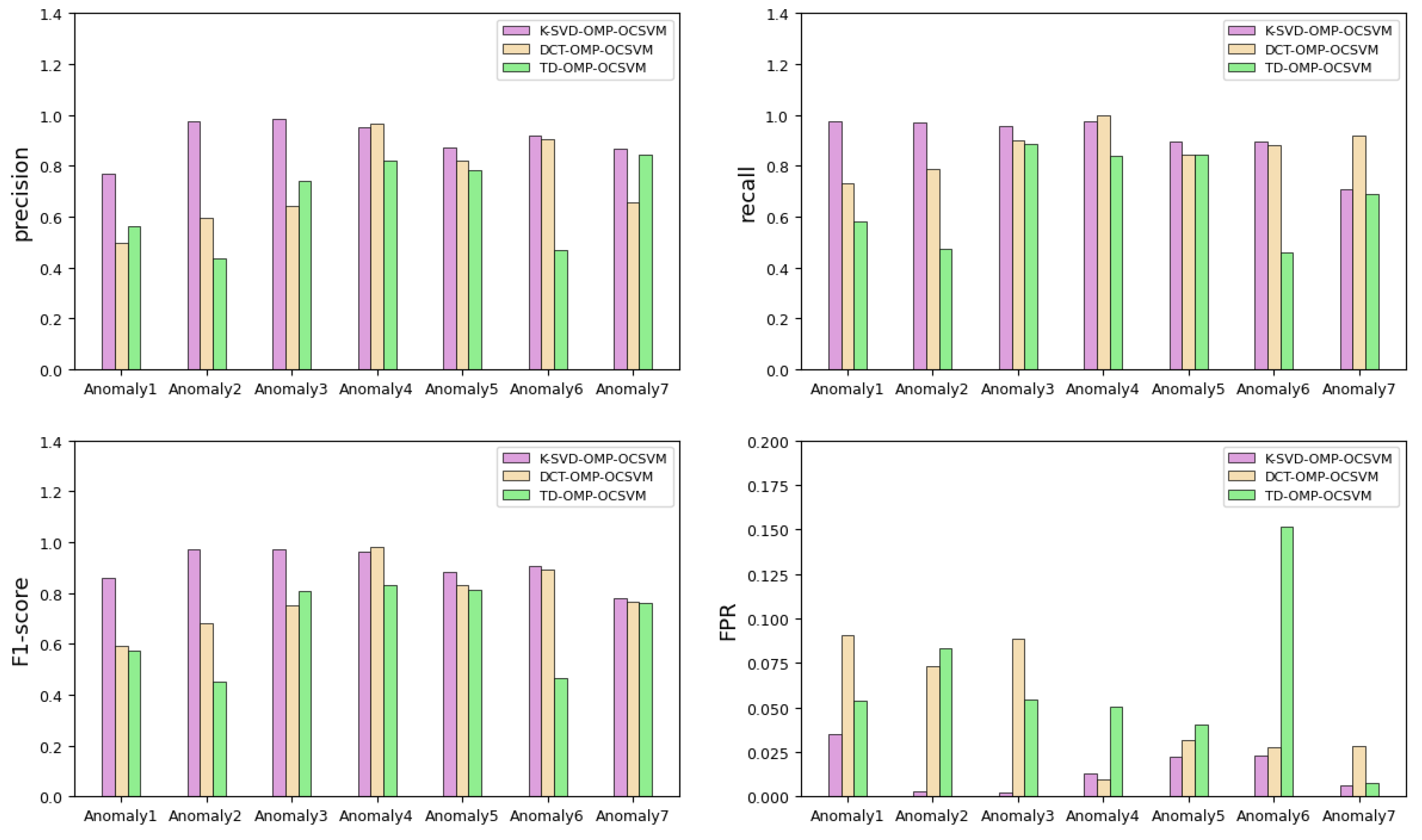
6.3.1. Selecting the Number of Atoms in the Dictionary
6.3.2. Selecting the Sparse Degree
6.3.3. Selecting the Dictionary
6.4. Experiments Using Public Datasets
7. Conclusions
Author Contributions
Funding
Institutional Review Board Statement
Informed Consent Statement
Data Availability Statement
Acknowledgments
Conflicts of Interest
References
- Zhang, H.; Shen, R.; Zong, Y.; Wei, X. On-orbit fault statistical analysis for remote sensing satellite. Spacecr. Environ. Eng. 2015, 3, 6. (In Chinese) [Google Scholar]
- Huang, G.; Qin, Z.; Zhang, Q.; Wang, L.; Yan, X.; Wang, X. An optimized method to detect BDS satellites’ orbit maneuvering and anomalies in real-time. Sensors 2018, 18, 726. [Google Scholar] [CrossRef] [PubMed] [Green Version]
- Chen, S.; Jin, G.; Ma, X. Detection and analysis of real-time anomalies in large-scale complex system. Measurement 2021, 184, 109929. [Google Scholar] [CrossRef]
- Song, L.; Zheng, T.; Wang, J.; Guo, L. An improvement growing neural gas method for online anomaly detection of aerospace payloads. Soft Comput. 2020, 24, 11393–11405. [Google Scholar] [CrossRef]
- Jia, S.; Ma, B.; Guo, W.; Li, Z.S. A sample entropy based prognostics method for lithium-ion batteries using relevance vector machine. J. Manuf. Syst. 2021, 61, 773–781. [Google Scholar] [CrossRef]
- Ma, J.; Perkins, S. Online Novelty Detection on Temporal Sequences. In Proceedings of the Ninth ACM SIGKDD International Conference on Knowledge Discovery and Data Mining, New York, NY, USA, 24–27 August 2003; pp. 613–618. [Google Scholar]
- Abdelghafar, S.; Darwish, A.; Hassanien, A.E.; Yahia, M.; Zaghrout, A. Anomaly detection of satellite telemetry based on optimized extreme learning machine. J. Space Saf. Eng. 2019, 6, 291–298. [Google Scholar] [CrossRef]
- Hashmi, A.S.; Ahmad, T. GP-ELM-RNN: Garson-pruned extreme learning machine based replicator neural network for anomaly detection. J. King Saud Univ. -Comput. Inf. Sci. 2019, 34, 1768–1774. [Google Scholar] [CrossRef]
- Hundman, K.; Constantinou, V.; Laporte, C.; Colwell, I.; Soderstrom, T. Detecting Spacecraft Anomalies Using Lstms and Nonparametric Dynamic Thresholding. In Proceedings of the 24th ACM SIGKDD International Conference on Knowledge Discovery & Data Mining, New York, NY, USA, 19–23 August 2018; pp. 387–395. [Google Scholar]
- Ko, J.U.; Na, K.; Oh, J.-S.; Kim, J.; Youn, B.D. A new auto-encoder-based dynamic threshold to reduce false alarm rate for anomaly detection of steam turbines. Expert Syst. Appl. 2022, 189, 116094. [Google Scholar] [CrossRef]
- Tariq, S.; Lee, S.; Shin, Y.; Lee, M.S.; Jung, O.; Chung, D.; Woo, S.S. Detecting Anomalies in Space Using Multivariate Convolutional LSTM with Mixtures of Probabilistic PCA. In Proceedings of the 25th ACM SIGKDD International Conference on Knowledge Discovery & Data Mining, Anchorage, AK, USA, 4–8 August 2019; pp. 2123–2133. [Google Scholar]
- Wu, J.; Yao, L.; Liu, B.; Ding, Z.; Zhang, L. Combining OC-SVMs with LSTM for detecting anomalies in telemetry data with irregular intervals. IEEE Access 2020, 8, 106648–106659. [Google Scholar] [CrossRef]
- Zhang, C.; Hu, D.; Yang, T. Anomaly detection and diagnosis for wind turbines using long short-term memory-based stacked denoising autoencoders and XGBoost. Reliab. Eng. Syst. Saf. 2022, 222, 108445. [Google Scholar] [CrossRef]
- Pilastre, B.; Boussouf, L.; d’Escrivan, S.; Tourneret, J.-Y. Anomaly detection in mixed telemetry data using a sparse representation and dictionary learning. Signal Process. 2020, 168, 107320. [Google Scholar] [CrossRef] [Green Version]
- Takeishi, N.; Yairi, T. Anomaly Detection from Multivariate Time-Series with Sparse Representation. In Proceedings of the 2014 IEEE International Conference on Systems, Man, and Cybernetics (SMC), San Diego, CA, USA, 5–8 October 2014; IEEE: Piscataway, NJ, USA, 2014; pp. 2651–2656. [Google Scholar]
- Zhao, W.; Zhang, Y.; Zhu, Y.; Xu, P. Anomaly detection of aircraft lead-acid battery. Qual. Reliab. Eng. Int. 2021, 37, 1186–1197. [Google Scholar] [CrossRef]
- Zhong, S.; Liu, D.; Lin, L.; Zhao, M.; Fu, X.; Guo, F. CAE-WANN: A novel anomaly detection method for gas turbines via search space extension. Qual. Reliab. Eng. Int. 2022. [Google Scholar] [CrossRef]
- Yu, S.-S.; Chu, S.-W.; Wang, C.-M.; Chan, Y.-K.; Chang, T.-C. Two improved k-means algorithms. Appl. Soft Comput. 2018, 68, 747–755. [Google Scholar] [CrossRef]
- Tang, Y.; Ren, F.; Pedrycz, W. Fuzzy C-means clustering through SSIM and patch for image segmentation. Appl. Soft Comput. 2020, 87, 105928. [Google Scholar] [CrossRef]
- Hu, M.; Ji, Z.; Yan, K.; Guo, Y.; Feng, X.; Gong, J.; Zhao, X.; Dong, L. Detecting anomalies in time series data via a meta-feature based approach. IEEE Access 2018, 6, 27760–27776. [Google Scholar] [CrossRef]
- Saari, J.; Strömbergsson, D.; Lundberg, J.; Thomson, A. Detection and identification of windmill bearing faults using a one-class support vector machine (SVM). Measurement 2019, 137, 287–301. [Google Scholar] [CrossRef]
- Vos, K.; Peng, Z.; Jenkins, C.; Shahriar, M.R.; Borghesani, P.; Wang, W. Vibration-based anomaly detection using LSTM/SVM approaches. Mech. Syst. Signal Process. 2022, 169, 108752. [Google Scholar] [CrossRef]
- Yairi, T.; Takeishi, N.; Oda, T.; Nakajima, Y.; Nishimura, N.; Takata, N. A data-driven health monitoring method for satellite housekeeping data based on probabilistic clustering and dimensionality reduction. IEEE Trans. Aerosp. Electron. Syst. 2017, 53, 1384–1401. [Google Scholar] [CrossRef]
- Xu, S.; Yang, X.; Jiang, S. A fast nonlocally centralized sparse representation algorithm for image denoising. Signal Process. 2017, 131, 99–112. [Google Scholar] [CrossRef]
- Biswas, S.; Babu, R.V. Sparse Representation Based Anomaly Detection with Enhanced Local Dictionaries. In Proceedings of the 2014 IEEE International Conference on Image Processing (ICIP), Paris, France, 27–30 October 2014; IEEE: Piscataway, NJ, USA, 2014; pp. 5532–5536. [Google Scholar]
- Adler, A.; Elad, M.; Hel-Or, Y.; Rivlin, E. Sparse coding with anomaly detection. J. Signal Process. Syst. 2015, 79, 179–188. [Google Scholar] [CrossRef]
- Zhang, F.; Chuan-Hui, L. Matching pursuit time-frequency analysis of non-stationary seismic signals. Geophys. Geochem. Explor. 2011, 35, 546–552. [Google Scholar]
- Zhang, X.; Liu, Z.; Wang, L.; Zhang, J.; Han, W. Bearing fault diagnosis based on sparse representations using an improved OMP with adaptive Gabor sub-dictionaries. ISA Trans. 2020, 106, 355–366. [Google Scholar] [CrossRef] [PubMed]
- Boyd, S.; Parikh, N.; Chu, E.; Peleato, B.; Eckstein, J. Distributed optimization and statistical learning via the alternating direction method of multipliers. Found. Trends Mach. Learn. 2011, 3, 1–122. [Google Scholar] [CrossRef]
- Aharon, M.; Elad, M.; Bruckstein, A. K-SVD: An algorithm for designing overcomplete dictionaries for sparse representation. IEEE Trans. Signal Process. 2006, 54, 4311–4322. [Google Scholar] [CrossRef]
- Schölkopf, B.; Platt, J.C.; Shawe-Taylor, J.; Smola, A.J.; Williamson, R.C. Estimating the support of a high-dimensional distribution. Neural Comput. 2001, 13, 1443–1471. [Google Scholar] [CrossRef]











| Attributes | Values |
|---|---|
| Number of telemetry parameters | 14 |
| Data sampling duration | 366 days |
| Data sampling frequency | 10 min |
| Length of each parameter | 52,704 |
| Number of univariate anomalies | 5 |
| Number of multivariate anomalies | 2 |
| Number of experimental datasets | 7 |
| Anomaly | Precision | Recall | ||||||||
|---|---|---|---|---|---|---|---|---|---|---|
| SFAD | OCSVM | MFAD | LSTM-NDT | SRAD | SFAD | OCSVM | MFAD | LSTM-NDT | SRAD | |
| 1 | 0.7697 | 0.6890 | 0.6371 | 0.4655 | 0.4516 | 0.9750 | 0.9417 | 0.6583 | 0.4500 | 0.4667 |
| 2 | 0.9742 | 0.9285 | 0.7381 | 0.4700 | 0.4868 | 0.9714 | 1.0000 | 0.7971 | 0.4029 | 0.5257 |
| 3 | 0.9857 | 0.9267 | 0.9378 | 0.9648 | 0.9425 | 0.9562 | 0.9608 | 0.9724 | 0.8848 | 0.9447 |
| 4 | 0.9538 | 0.9330 | 0.7994 | 0.8349 | 0.2527 | 0.9750 | 0.9540 | 0.7972 | 0.8428 | 0.2583 |
| 5 | 0.8727 | 0.8689 | 0.8764 | 0.6513 | 0.8534 | 0.8962 | 0.8923 | 0.9000 | 0.6538 | 0.8731 |
| 6 | 0.9182 | 0.9061 | 0.6174 | 0.8614 | 0.3971 | 0.8975 | 0.9650 | 0.6575 | 0.6525 | 0.4050 |
| 7 | 0.8659 | 0.8449 | 0.1798 | 0.1793 | 0.1291 | 0.7100 | 0.6992 | 0.1600 | 0.2600 | 0.4700 |
| Anomaly | F1-Score | FPR | ||||||||
|---|---|---|---|---|---|---|---|---|---|---|
| SFAD | OCSVM | MFAD | LSTM-NDT | SRAD | SFAD | OCSVM | MFAD | LSTM-NDT | SRAD | |
| 1 | 0.8603 | 0.7958 | 0.6475 | 0.4576 | 0.4590 | 0.0350 | 0.0509 | 0.0450 | 0.1351 | 0.0679 |
| 2 | 0.9728 | 0.9643 | 0.7665 | 0.4338 | 0.5055 | 0.0030 | 0.0106 | 0.0388 | 0.1384 | 0.0760 |
| 3 | 0.9708 | 0.9434 | 0.9547 | 0.9231 | 0.9436 | 0.0024 | 0.0134 | 0.0113 | 0.0131 | 0.0101 |
| 4 | 0.9643 | 0.9424 | 0.7983 | 0.8388 | 0.2555 | 0.0130 | 0.0141 | 0.0550 | 0.4862 | 0.2101 |
| 5 | 0.8843 | 0.8805 | 0.8880 | 0.6526 | 0.8631 | 0.0224 | 0.0231 | 0.0218 | 0.4272 | 0.0258 |
| 6 | 0.9077 | 0.9346 | 0.6368 | 0.7425 | 0.4010 | 0.0232 | 0.0291 | 0.1186 | 0.5753 | 0.1790 |
| 7 | 0.7802 | 0.7631 | 0.1693 | 0.2122 | 0.2026 | 0.0064 | 0.0084 | 0.0426 | 0.1541 | 0.1850 |
| Anomaly | K-SVD-OMP-OCSVM | DCT-OMP-OCSVM | TD-OMP-OCSVM | |||||||||
|---|---|---|---|---|---|---|---|---|---|---|---|---|
| P | R | F1 | FPR | P | R | F1 | FPR | P | R | F1 | FPR | |
| 1 | 0.7697 | 0.9750 | 0.8603 | 0.0350 | 0.4944 | 0.7333 | 0.5906 | 0.0903 | 0.5645 | 0.5833 | 0.5738 | 0.0539 |
| 2 | 0.9742 | 0.9714 | 0.9728 | 0.0030 | 0.5961 | 0.7886 | 0.6789 | 0.0733 | 0.4365 | 0.4714 | 0.4533 | 0.0835 |
| 3 | 0.9857 | 0.9562 | 0.9708 | 0.0024 | 0.6410 | 0.9009 | 0.7490 | 0.0887 | 0.7399 | 0.8848 | 0.8059 | 0.0547 |
| 4 | 0.9538 | 0.9750 | 0.9643 | 0.0130 | 0.9673 | 0.9972 | 0.9820 | 0.0092 | 0.8207 | 0.8389 | 0.8297 | 0.0504 |
| 5 | 0.8727 | 0.8962 | 0.8843 | 0.0224 | 0.8202 | 0.8423 | 0.8311 | 0.0317 | 0.7821 | 0.8423 | 0.8111 | 0.0402 |
| 6 | 0.9182 | 0.8975 | 0.9077 | 0.0232 | 0.9028 | 0.8825 | 0.8925 | 0.0276 | 0.4680 | 0.4575 | 0.4627 | 0.1513 |
| 7 | 0.8659 | 0.7100 | 0.7802 | 0.0064 | 0.6571 | 0.9200 | 0.7667 | 0.0281 | 0.8415 | 0.6900 | 0.7582 | 0.0076 |
| Attributes | Values |
|---|---|
| Total anomaly sequences | 36 |
| Point anomalies (% tot.) | 19 (53%) |
| Contextual anomalies (% tot.) | 17 (47%) |
| Unique telemetry channels | 27 |
| Telemetry values evaluated | 66,709 |
| Precision | Recall | F1-Score | |
|---|---|---|---|
| SFAD | 0.871 | 0.750 | 0.806 |
| OCSVM | 0.774 | 0.667 | 0.750 |
| MFAD | 0.815 | 0.611 | 0.698 |
| LSTM-NDT | 0.926 | 0.694 | 0.793 |
| SRAD | 0.714 | 0.417 | 0.527 |
Publisher’s Note: MDPI stays neutral with regard to jurisdictional claims in published maps and institutional affiliations. |
© 2022 by the authors. Licensee MDPI, Basel, Switzerland. This article is an open access article distributed under the terms and conditions of the Creative Commons Attribution (CC BY) license (https://creativecommons.org/licenses/by/4.0/).
Share and Cite
He, J.; Cheng, Z.; Guo, B. Anomaly Detection in Satellite Telemetry Data Using a Sparse Feature-Based Method. Sensors 2022, 22, 6358. https://doi.org/10.3390/s22176358
He J, Cheng Z, Guo B. Anomaly Detection in Satellite Telemetry Data Using a Sparse Feature-Based Method. Sensors. 2022; 22(17):6358. https://doi.org/10.3390/s22176358
Chicago/Turabian StyleHe, Jiahui, Zhijun Cheng, and Bo Guo. 2022. "Anomaly Detection in Satellite Telemetry Data Using a Sparse Feature-Based Method" Sensors 22, no. 17: 6358. https://doi.org/10.3390/s22176358
APA StyleHe, J., Cheng, Z., & Guo, B. (2022). Anomaly Detection in Satellite Telemetry Data Using a Sparse Feature-Based Method. Sensors, 22(17), 6358. https://doi.org/10.3390/s22176358
