Temperature Prediction of Seasonal Frozen Subgrades Based on CEEMDAN-LSTM Hybrid Model
Abstract
:1. Introduction
2. Material and Methods
2.1. Case Study Area and Data Acquisition
2.2. Methods
2.2.1. EMD and EEMD
2.2.2. CEEMDAN
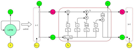
2.2.3. LSTM
3. Construction of CEEMDAN-LSTM Hybrid Prediction Model
3.1. Process of Constructing the Hybrid Prediction Model
3.2. LSTM Neural Network Parameter Setting
3.3. Model Evaluation Metrics
4. Results
4.1. Performance Comparison of Models Predictions before and after Decomposition
4.2. Comparison of Prediction Results of LSTM Models for Single and Hybrid Datasets
4.3. Comparison of Different Depth Prediction Models
5. Conclusions
- (1)
- By comparing the prediction performance of the original temperature time series model without decomposition and the models with different decompositions, it was found that the CEEMDAN-LSTM model among the hybrid models (i.e., EMD-LSTM, EEMD-LSTM, and CEEMDAN-LSTM) had the best prediction performance. Specifically, the prediction accuracy of the CEEMDAN-LSTM model was improved by 80%, 54%, and 78% in RMSE compared with the LSTM, EMD-LSTM, and EEMD-LSTM models, respectively. This means that the CEEMDAN decomposition method can better handle the nonlinearity and non-stationarity of the temperature time series data under the subgrade of seasonal frozen regions.
- (2)
- Hybrid datasets significantly improved the prediction performance over single datasets, which is attributed to the strong extraction ability of LSTM neural networks for multidimensional features. It was found that models using hybrid datasets all outperformed models using single datasets, among which the CEEMDAN-LSTM model using hybrid datasets had the best prediction performance.
- (3)
- In order to evaluate the prediction performance of models for different depths of the subgrade, predictions were applied to locations at subgrade depths of 0.5 m, 1.5 m, and 2.9 m. It was found that the CEEDMAN-LSTM model had the best prediction performance at all subgrade depths, and the performance did not decrease with depth. This means that the model can accurately predict the temperature inside the subgrade in seasonal frozen regions, which can provide reference and guidance for related research.
Author Contributions
Funding
Institutional Review Board Statement
Informed Consent Statement
Data Availability Statement
Acknowledgments
Conflicts of Interest
References
- Xu, X.Z.; Wang, J.C.; Zhang, L.X. Physics of Frozen Soils; Science Press: Beijing, China, 2001. [Google Scholar]
- Lai, Y.; Xu, X.; Dong, Y.; Li, S. Present situation and prospect of mechanical research on frozen soils in China. Cold Reg. Sci. Technol. 2013, 87, 6–18. [Google Scholar] [CrossRef]
- Deng, Q.; Liu, X.; Zeng, C.; He, X.; Chen, F.; Zhang, S. A Freezing-Thawing Damage Characterization Method for Highway Subgrade in Seasonally Frozen Regions Based on Thermal-Hydraulic-Mechanical Coupling Model. Sensors 2021, 21, 6251. [Google Scholar] [CrossRef] [PubMed]
- Liu, Y.; Li, D.; Chen, L.; Ming, F. Study on the Mechanical Criterion of Ice Lens Formation Based on Pore Size Distribution. Appl. Sci. 2020, 10, 8981. [Google Scholar] [CrossRef]
- Wang, P.; Liu, E.; Song, B.; Liu, X.; Zhang, G.; Zhang, D. Binary medium creep constitutive model for frozen soils based on homogenization theory. Cold Reg. Sci. Technol. 2019, 162, 35–42. [Google Scholar] [CrossRef]
- Boyd, G.; Na, D.; Li, Z.; Snowling, S.; Zhang, Q.; Zhou, P. Influent Forecasting for Wastewater Treatment Plants in North America. Sustainability 2019, 11, 1764. [Google Scholar] [CrossRef] [Green Version]
- Davidson, J.; Li, X. Strict stationarity, persistence and volatility forecasting in ARCH (∞) processes. J. Empir. Financ. 2016, 38, 534–547. [Google Scholar] [CrossRef] [Green Version]
- Trombe, P.-J.; Pinson, P.; Madsen, H. A General Probabilistic Forecasting Framework for Offshore Wind Power Fluctuations. Energies 2012, 5, 621–657. [Google Scholar] [CrossRef] [Green Version]
- Xin, J.; Zhou, J.; Yang, S.X.; Li, X.; Wang, Y. Bridge Structure Deformation Prediction Based on GNSS Data Using Kalman-ARIMA-GARCH Model. Sensors 2018, 18, 298. [Google Scholar] [CrossRef] [Green Version]
- Wang, X.; Ma, J.-J.; Wang, S.; Bi, D.-W. Time series forecasting for energy-efficient organization of wireless sensor networks. Sensors 2007, 7, 1766–1792. [Google Scholar] [CrossRef] [Green Version]
- Yu, R.; Yang, Y.; Yang, L.; Han, G.; Move, O.A. RAQ-A Random Forest Approach for Predicting Air Quality in Urban Sensing Systems. Sensors 2016, 16, 86. [Google Scholar] [CrossRef] [PubMed] [Green Version]
- Mohandes, M.A.; Halawani, T.O.; Rehman, S.; Hussain, A.A. Support vector machines for wind speed prediction. Renew. Energy 2004, 29, 939–947. [Google Scholar] [CrossRef]
- Li, J.; Dai, B.; Li, X.; Xu, X.; Liu, D. A Dynamic Bayesian Network for Vehicle Maneuver Prediction in Highway Driving Scenarios: Framework and Verification. Electronics 2019, 8, 40. [Google Scholar] [CrossRef] [Green Version]
- Amrouche, B.; Le Pivert, X. Artificial neural network based daily local forecasting for global solar radiation. Appl. Energy 2014, 130, 333–341. [Google Scholar] [CrossRef]
- Fan, J.; Liu, C.; Lv, Y.; Han, J.; Wang, J. A Short-Term Forecast Model of foF2 Based on Elman Neural Network. Appl. Sci. 2019, 9, 2782. [Google Scholar] [CrossRef] [Green Version]
- Lin, L.; Wang, F.; Xie, X.; Zhong, S. Random forests-based extreme learning machine ensemble for multi-regime time series prediction. Expert Syst. Appl. 2017, 83, 164–176. [Google Scholar] [CrossRef]
- Santamaría-Bonfil, G.; Reyes-Ballesteros, A.; Gershenson, C. Wind speed forecasting for wind farms: A method based on support vector regression. Renew. Energy 2016, 85, 790–809. [Google Scholar] [CrossRef]
- Chen, T.-T.; Lee, S.-J. A weighted LS-SVM based learning system for time series forecasting. Inform. Sci. 2015, 299, 99–116. [Google Scholar] [CrossRef]
- Ticknor, J.L.; Hsu-Kim, H.; Deshusses, M.A. A robust framework to predict mercury speciation in combustion flue gases. J. Hazard. Mater. 2014, 264, 380–385. [Google Scholar] [CrossRef] [PubMed]
- Khellal, A.; Ma, H.; Fei, Q. Convolutional Neural Network Based on Extreme Learning Machine for Maritime Ships Recognition in Infrared Images. Sensors 2018, 18, 1490. [Google Scholar] [CrossRef] [PubMed] [Green Version]
- Rather, A.M.; Agarwal, A.; Sastry, V.N. Recurrent neural network and a hybrid model for prediction of stock returns. Expert Syst. Appl. 2015, 42, 3234–3241. [Google Scholar] [CrossRef]
- Hochreiter, S.; Schmidhuber, J. Long short-term memory. Neural Comput. 1997, 9, 1735–1780. [Google Scholar] [CrossRef] [PubMed]
- Li, Y.; Zhu, Z.; Kong, D.; Han, H.; Zhao, Y. EA-LSTM: Evolutionary attention-based LSTM for time series prediction. Knowl.-Based Syst. 2019, 181, 104785. [Google Scholar] [CrossRef] [Green Version]
- Su, B.; Lu, S. Accurate recognition of words in scenes without character segmentation using recurrent neural network. Pattern Recognit. 2017, 63, 397–405. [Google Scholar] [CrossRef]
- Weninger, F.; Geiger, J.; Wöllmer, M.; Schuller, B.; Rigoll, G. Feature enhancement by deep LSTM networks for ASR in reverberant multisource environments. Comput. Speech Lang. 2014, 28, 888–902. [Google Scholar] [CrossRef]
- Zhang, J.; Zhu, Y.; Zhang, X.; Ye, M.; Yang, J. Developing a Long Short-Term Memory (LSTM) based model for predicting water table depth in agricultural areas. J. Hydrol. 2018, 561, 918–929. [Google Scholar] [CrossRef]
- Ma, X.; Tao, Z.; Wang, Y.; Yu, H.; Wang, Y. Long short-term memory neural network for traffic speed prediction using remote microwave sensor data. Transp. Res. Part C Emerg. Technol. 2015, 54, 187–197. [Google Scholar] [CrossRef]
- Xue, H.; Huynh, D.Q.; Reynolds, M. SS-LSTM: A Hierarchical LSTM Model for Pedestrian Trajectory Prediction. In Proceedings of the 2018 IEEE Winter Conference on Applications of Computer Vision (WACV), Lake Tahoe, NV, USA, 12–15 March 2018; pp. 1186–1194. [Google Scholar]
- Rao, G.; Huang, W.; Feng, Z.; Cong, Q. LSTM with sentence representations for document-level sentiment classification. Neurocomputing 2018, 308, 49–57. [Google Scholar] [CrossRef]
- Huang, N.E.; Shen, Z.; Long, S.R.; Wu, M.C.; Shih, H.H.; Zheng, Q.; Yen, N.-C.; Tung, C.C.; Liu, H.H. The empirical mode decomposition and the Hilbert spectrum for nonlinear and non-stationary time series analysis. Proc. R. Soc. London. Ser. A Math. Phys. Eng. Sci. 1998, 454, 903–995. [Google Scholar] [CrossRef]
- Wu, Z.; Huang, N.E. Ensemble empirical mode decomposition: A noise-assisted data analysis method. Adv. Adapt. Data Anal. 2009, 1, 1–41. [Google Scholar] [CrossRef]
- Torres, M.E.; Colominas, M.A.; Schlotthauer, G.; Flandrin, P. A complete ensemble empirical mode decomposition with adaptive noise. In Proceedings of the 2011 IEEE international conference on acoustics, speech and signal processing (ICASSP), Prague, Czech Republic, 22–27 May 2011; pp. 4144–4147. [Google Scholar]
- Sha, J.; Li, X.; Zhang, M.; Wang, Z.-L. Comparison of Forecasting Models for Real-Time Monitoring of Water Quality Parameters Based on Hybrid Deep Learning Neural Networks. Water 2021, 13, 1547. [Google Scholar] [CrossRef]
- Zhang, X.; Zhang, Q.; Zhang, G.; Nie, Z.; Gui, Z. A Hybrid Model for Annual Runoff Time Series Forecasting Using Elman Neural Network with Ensemble Empirical Mode Decomposition. Water 2018, 10, 416. [Google Scholar] [CrossRef] [Green Version]
- Zheng, H.; Yuan, J.; Chen, L. Short-Term Load Forecasting Using EMD-LSTM Neural Networks with a Xgboost Algorithm for Feature Importance Evaluation. Energies 2017, 10, 1168. [Google Scholar] [CrossRef] [Green Version]
- Lei, Z.; Su, W. Mold Level Predict of Continuous Casting Using Hybrid EMD-SVR-GA Algorithm. Processes 2019, 7, 177. [Google Scholar] [CrossRef] [Green Version]
- Zhang, X.; Zhang, Q.; Zhang, G.; Nie, Z.; Gui, Z.; Que, H. A Novel Hybrid Data-Driven Model for Daily Land Surface Temperature Forecasting Using Long Short-Term Memory Neural Network Based on Ensemble Empirical Mode Decomposition. Int. J. Environ. Res. Public Health 2018, 15, 1032. [Google Scholar] [CrossRef] [PubMed] [Green Version]
- Jiang, X.; Wei, P.; Luo, Y.; Li, Y. Air Pollutant Concentration Prediction Based on a CEEMDAN-FE-BiLSTM Model. Atmosphere 2021, 12, 1452. [Google Scholar] [CrossRef]
- Lin, H.; Sun, Q. Crude Oil Prices Forecasting: An Approach of Using CEEMDAN-Based Multi-Layer Gated Recurrent Unit Networks. Energies 2020, 13, 1543. [Google Scholar] [CrossRef] [Green Version]
- Zhou, Y.; Wang, L.; Qian, J. Application of Combined Models Based on Empirical Mode Decomposition, Deep Learning, and Autoregressive Integrated Moving Average Model for Short-Term Heating Load Predictions. Sustainability 2022, 14, 7349. [Google Scholar] [CrossRef]
- Lin, H.; Sun, Q.; Chen, S.-Q. Reducing Exchange Rate Risks in International Trade: A Hybrid Forecasting Approach of CEEMDAN and Multilayer LSTM. Sustainability 2020, 12, 2451. [Google Scholar] [CrossRef] [Green Version]
- LeCun, Y.; Bengio, Y.; Hinton, G. Deep learning. Nature 2015, 521, 436–444. [Google Scholar] [CrossRef]
- Wang, K.; Qi, X.; Liu, H. A comparison of day-ahead photovoltaic power forecasting models based on deep learning neural network. Appl. Energy 2019, 251, 113315. [Google Scholar] [CrossRef]
- Niu, H.; Xu, K.; Wang, W. A hybrid stock price index forecasting model based on variational mode decomposition and LSTM network. Appl. Intell. 2020, 50, 4296–4309. [Google Scholar] [CrossRef]
- Kingma, D.P.; Ba, J. Adam: A method for stochastic optimization. arXiv 2014, arXiv:1412.6980. [Google Scholar]
- Srivastava, N.; Hinton, G.; Krizhevsky, A.; Sutskever, I.; Salakhutdinov, R. Dropout: A Simple Way to Prevent Neural Networks from Overfitting. J. Mach. Learn Res. 2014, 15, 1929–1958. [Google Scholar]













| Predictive Performance | LSTM | EMD-LSTM | EMD-LSTM | CEEMDAN-LSTM |
|---|---|---|---|---|
| RMSE (smaller is better) | 0.210335 | 0.090355 | 0.191001 | 0.041966 |
| MAE (smaller is better) | 0.192146 | 0.079020 | 0.156670 | 0.031439 |
| R2 (bigger is better) | 0.893138 | 0.966392 | 0.925871 | 0.989248 |
| Predictive Performance | d-EMD-LSTM | d-EEMD-LSTM | d-CEEMDAN-LSTM | EMD-LSTM | EEMD-LSTM | CEEMDAN-LSTM |
|---|---|---|---|---|---|---|
| RMSE (smaller is better) | 0.286758 | 0.274303 | 0.168228 | 0.090355 | 0.191001 | 0.041966 |
| MAE (smaller is better) | 0.226918 | 0.230845 | 0.134943 | 0.079020 | 0.156670 | 0.031439 |
| R2 (bigger is better) | 0.876900 | 0.900513 | 0.955218 | 0.966392 | 0.925871 | 0.989248 |
| Depth under Subgrade | Predictive Performance | EMD-LSTM | EEMD-LSTM | CEEMDAN-LSTM |
|---|---|---|---|---|
| 0.5 m | RMSE | 0.090355 | 0.191001 | 0.041966 |
| MAE | 0.079020 | 0.156670 | 0.031439 | |
| R2 | 0.966392 | 0.925871 | 0.989248 | |
| 1.5 m | RMSE | 0.245341 | 0.274970 | 0.086217 |
| MAE | 0.229630 | 0.233995 | 0.064258 | |
| R2 | 0.947074 | 0.934600 | 0.964736 | |
| 2.9 m | RMSE | 0.102413 | 0.139584 | 0.047771 |
| MAE | 0.092721 | 0.127279 | 0.038470 | |
| R2 | 0.925463 | 0.936328 | 0.960552 |
Publisher’s Note: MDPI stays neutral with regard to jurisdictional claims in published maps and institutional affiliations. |
© 2022 by the authors. Licensee MDPI, Basel, Switzerland. This article is an open access article distributed under the terms and conditions of the Creative Commons Attribution (CC BY) license (https://creativecommons.org/licenses/by/4.0/).
Share and Cite
Chen, L.; Liu, X.; Zeng, C.; He, X.; Chen, F.; Zhu, B. Temperature Prediction of Seasonal Frozen Subgrades Based on CEEMDAN-LSTM Hybrid Model. Sensors 2022, 22, 5742. https://doi.org/10.3390/s22155742
Chen L, Liu X, Zeng C, He X, Chen F, Zhu B. Temperature Prediction of Seasonal Frozen Subgrades Based on CEEMDAN-LSTM Hybrid Model. Sensors. 2022; 22(15):5742. https://doi.org/10.3390/s22155742
Chicago/Turabian StyleChen, Liyue, Xiao Liu, Chao Zeng, Xianzhi He, Fengguang Chen, and Baoshan Zhu. 2022. "Temperature Prediction of Seasonal Frozen Subgrades Based on CEEMDAN-LSTM Hybrid Model" Sensors 22, no. 15: 5742. https://doi.org/10.3390/s22155742
APA StyleChen, L., Liu, X., Zeng, C., He, X., Chen, F., & Zhu, B. (2022). Temperature Prediction of Seasonal Frozen Subgrades Based on CEEMDAN-LSTM Hybrid Model. Sensors, 22(15), 5742. https://doi.org/10.3390/s22155742

