Enhancement of Room-Temperature Low-Field Magnetoresistance in Nanostructured Lanthanum Manganite Films for Magnetic Sensor Applications
Abstract
:1. Introduction
2. Experimental Details
2.1. Film and Sample Preparation
2.2. Characterization
3. Results and Discussion
3.1. Morphology and Microstructure of LSMO Films
3.2. Resistivity of Nanostructured LSMO Films: Dependence on Sr Content and Excess of Mn
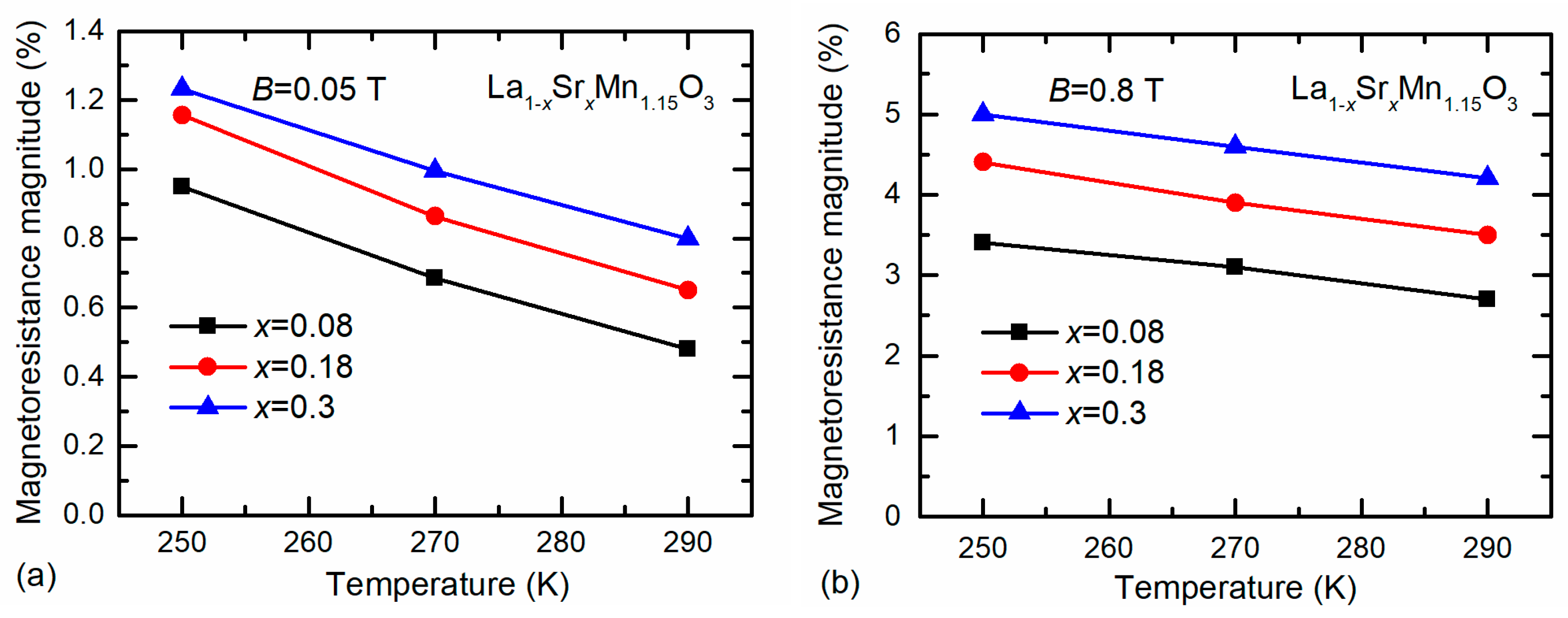
3.3. Magnetoresistance of Nanostructured LSMO Films
4. Conclusions
Author Contributions
Funding
Institutional Review Board Statement
Informed Consent Statement
Data Availability Statement
Conflicts of Interest
References
- Zheng, C.; Zhu, K.; Cardoso de Freitas, S.; Chang, J.-Y.; Davies, J.E.; Eames, P.; Freitas, P.P.; Kazakova, O.; Kim, C.G.; Leung, C.-W.; et al. Magnetoresistive sensor development roadmap (non-recording applications). IEEE Trans. Magn. 2019, 55, 1–30. [Google Scholar] [CrossRef] [Green Version]
- Yole Développement. Magnetic Sensor Market and Technologies Report from Yole Développement. 2017. Available online: http://www.yole.fr/Magnetic_Sensor_Market.aspx#.WmoQO3mLlaQ (accessed on 5 May 2022).
- Matko, V.; Milanovič, M. Detection principles of temperature compensated oscillators with reactance influence on piezoelectric resonator. Sensors 2020, 20, 802. [Google Scholar] [CrossRef] [PubMed] [Green Version]
- Yang, S.; Tan, M.; Yu, T.; Li, X.; Wang, X.; Zhang, J. Hybrid Reduced Graphene Oxide with Special Magnetoresistance for Wireless Magnetic Field Sensor. Nano-Micro Lett. 2020, 12, 69. [Google Scholar] [CrossRef] [PubMed] [Green Version]
- Matko, V.; Milanovič, M. High resolution switching mode inductance-to-frequency converter with temperature compensation. Sensors 2014, 14, 19242–19259. [Google Scholar] [CrossRef]
- Khan, M.A.; Sun, J.; Li, B.; Przybysz, A.; Kosel, J. Magnetic sensors-A review and recent technologies. Eng. Res. Express 2021, 3, 022005. [Google Scholar] [CrossRef]
- Pla, D.; Jimenez, C.; Burriel, M. Engineering of functional manganites grown by MOCVD for miniaturized devices. Adv. Mater. Interfaces 2017, 4, 1600974. [Google Scholar] [CrossRef]
- Balevicius, S.; Zurauskiene, N.; Stankevic, V.; Kersulis, S.; Plausinaitiene, V.; Abrutis, A.; Zherlitsyn, S.; Herrmannsdorfer, T.; Wosnitza, J.; Wolff-Fabris, F. Nanostructured thin manganite films in megagauss magnetic field. Appl. Phys. Lett. 2012, 101, 092407. [Google Scholar] [CrossRef]
- Pękała, M.; Pękała, K.; Drozd, V. Magnetotransport study of nanocrystalline and polycrystalline manganites La0.8Sr0.2MnO3 in high magnetic fields. J. Appl. Phys. 2015, 117, 175902. [Google Scholar] [CrossRef]
- Israel, C.; Calderón, M.J.; Mathur, N.D. The current spin on manganites. Mater. Today 2007, 10, 24–32. [Google Scholar]
- Tokura, Y. Critical features of colossal magnetoresistive manganites. Rep. Prog. Phys. 2006, 69, 797–851. [Google Scholar] [CrossRef]
- Xia, W.; Pei, Z.; Leng, K.; Zhu, X. Research progress in rare earth-doped perovskite manganite oxide nanostructures. Nanoscale Res. Lett. 2020, 15, 9. [Google Scholar] [CrossRef] [PubMed] [Green Version]
- Ziese, M. Extrinsic magnetotransport phenomena in ferromagnetic oxides. Rep. Prog. Phys. 2002, 65, 143–249. [Google Scholar] [CrossRef]
- Stankevič, T.; Medišauskas, L.; Stankevič, V.; Balevičius, S.; Žurauskienė, N.; Liebfried, O.; Schneider, M. Pulsed magnetic field measurement system based on colossal magnetoresistance-B-scalar sensors for railgun investigation. Rev. Sci. Instrum. 2014, 85, 044704. [Google Scholar] [CrossRef] [PubMed]
- Haran, T.L.; Hoffman, R.B.; Lane, S.E. Diagnostic capabilities for electromagnetic railguns. IEEE Trans. Plasma Sci. 2013, 41, 1526–1532. [Google Scholar] [CrossRef]
- Vertelis, V.; Balevičius, S.; Stankevič, V.; Žurauskienė, N.; Schneider, M. The application of a CMR-B-scalar sensor for the investigation of the electromagnetic acceleration of type II superconductors. Sensors 2021, 21, 1293. [Google Scholar] [CrossRef]
- Balevicius, S.; Zurauskiene, N.; Stankevic, V.; Herrmannsdorfer, T.; Zherlitsyn, S.; Skourski, Y.; Wolff-Fabris, F.; Wosnitza, J. CMR-B-scalar sensor application for high magnetic field measurement in non-destructive pulsed magnets. IEEE Trans. Magn. 2013, 49, 5480–5484. [Google Scholar] [CrossRef]
- Stankevic, V.; Lueg-Althoff, J.; Hahn, M.; Tekkaya, A.E.; Zurauskiene, N.; Dilys, J.; Klimantavicius, J.; Kersulis, S.; Simkevicius, C.; Balevicius, S. Magnetic field measurements during magnetic pulse welding using CMR-B-scalar sensors. Sensors 2020, 20, 5925. [Google Scholar] [CrossRef]
- Zurauskiene, N.; Balevicius, S.; Stankevic, V.; Kersulis, S.; Klimantavicius, J.; Plausinaitiene, V.; Kubilius, V.; Skapas, M.; Juskenas, R.; Navickas, R. Magnetoresistive properties of thin nanostructured manganite films grown by metalorganic chemical vapour deposition onto glass-ceramics substrates. J. Mater. Sci. 2018, 53, 12996–13009. [Google Scholar] [CrossRef]
- Hwang, H.Y.; Cheong, S.-W.; Ong, N.P.; Batlogg, B. Spin-polarized intergrain tunneling in La2/3Sr1/3MnO3. Phys. Rev. Lett. 1996, 77, 2041–2044. [Google Scholar] [CrossRef]
- Lee, S.; Hwang, H.Y.; Shraiman, B.I.; Ratcliff, W.D., II; Cheong, S.-W. Intergrain magnetoresistance via second-order tunneling in perovskite manganites. Phys. Rev. Lett. 1999, 82, 4508–4511. [Google Scholar] [CrossRef]
- Dey, P.; Nath, T.K. Effect of grain size modulation on the magneto- and electronic-transport properties of La0.7Ca0.3MnO3 nanoparticles: The role of spin-polarized tunneling at the enhanced grain surface. Phys. Rev. B 2006, 73, 214425. [Google Scholar] [CrossRef]
- Chen, A.; Bi, Z.; Tsai, C.-F.; Chen, L.; Su, Q.; Zhang, X.; Wang, H. Tilted Aligned epitaxial La0.7Sr0.3MnO3 nanocolumnar films with enhanced low-field magnetoresistance by pulsed laser oblique-angle deposition. Cryst. Growth Des. 2011, 11, 5405–5409. [Google Scholar] [CrossRef]
- Sinha, U.K.; Das, B.; Padhan, P. Interfacial reconstruction in La0.7Sr0.3MnO3 thin films: Giant low-field magnetoresistance. Nanoscale Adv. 2020, 2, 2792–2799. [Google Scholar] [CrossRef]
- Dey, P.; Nath, T.K. Enhanced grain surface effect on the temperature-dependent behavior of spin-polarized tunneling magnetoresistance of nanometric manganites. Appl. Phys. Lett. 2005, 87, 162501. [Google Scholar] [CrossRef]
- Lu, Y.; Li, X.W.; Gong, G.Q.; Xiao, G.; Gupta, A.; Lecoeur, P.; Sun, J.Z.; Wang, Y.Y.; Dravid, V.P. Large magnetotunneling effect at low magnetic fields in micrometer-scale epitaxial La0.67Sr0.33MnO3 tunnel junctions. Phys. Rev. B 1996, 54, R8357–R8360. [Google Scholar] [CrossRef] [Green Version]
- Chen, A.; Bi, Z.; Tsai, C.-F.; Lee, J.; Su, Q.; Zhang, X.; Jia, Q.; MacManus-Driscoll, J.L.; Wang, H. Tunable low-field magnetoresistance in (La0.7Sr0.3MnO3)0.5:(ZnO)0.5 self-assembled vertically aligned nanocomposite thin films. Adv. Funct. Mater. 2011, 21, 2423–2429. [Google Scholar] [CrossRef]
- Ning, X.; Wang, Z.; Zhang, Z. Large, temperature-tunable low-field magnetoresistance in La0.7Sr0.3MnO3:NiO nanocomposite films modulated by microstructures. Adv. Funct. Mater. 2014, 24, 5393–5401. [Google Scholar] [CrossRef]
- Siwacha, P.K.; Srivastavab, P.; Singhb, J.; Singha, H.K.; Srivastavab, O.N. Broad temperature range low field magnetoresistance in La0.7Ca0.3MnO3:nano-ZnO composites. J. Alloys Compd. 2009, 481, 17–21. [Google Scholar] [CrossRef]
- Gao, X.; Li, L.; Jian, J.; Huang, J.; Sun, X.; Zhang, D.; Wang, H. Tunable low-field magnetoresistance properties in (La0.7Ca0.3MnO3)1−x:(CeO2)x vertically aligned nanocomposite thin films. Appl. Phys. Lett. 2019, 115, 053103. [Google Scholar] [CrossRef]
- Sadhu, A.; Bhattacharyya, S. Enhanced Low-field magnetoresistance in La0.71Sr0.29MnO3 nanoparticles synthesized by the nonaqueous sol−gel route. Chem. Mater. 2014, 26, 1702–1710. [Google Scholar] [CrossRef]
- Marozau, I.; Das, P.; Dobeli, M.; Storey, J.; Uribe-Laverde, M.; Das, S.; Wang, C.; Rossle, M.; Bernhard, C. Influence of La and Mn vacancies on the electronic and magnetic properties of LaMnO3 thin films grown by pulsed laser deposition. Phys. Rev. B 2014, 89, 174422. [Google Scholar] [CrossRef] [Green Version]
- Zurauskiene, N.; Stankevic, V.; Kersulis, S.; Klimantavicius, J.; Simkevicius, C.; Plausinaitiene, V.; Vagner, M.; Balevicius, S. Increase of Operating Temperature of Magnetic Field Sensors Based on La–Sr–Mn–O Films with Mn Excess. IEEE Trans. Plasma Sci. 2019, 47, 4530–4535. [Google Scholar] [CrossRef]
- Cadieu, F.J.; Chen, L.; Li, B.; Theodoropoulos, T. Enhanced room temperature magnetoresistance response in textured La0.7Sr0.3MnO3 strips made by pulsed laser deposition. J. Appl. Phys. 2000, 87, 6770–6772. [Google Scholar] [CrossRef]
- Pradhan, A.K.; Roul, B.K.; Wen, J.G.; Ren, Z.F.; Muralidhar, M.; Dutta, P.; Sahu, D.R.; Mohanty, S.; Patro, P.K. Enhanced room-temperature magnetoresistance in partially melted La0.67Ca0.33MnO3 manganites. Appl. Phys. Lett. 2000, 76, 763–765. [Google Scholar] [CrossRef]
- Stankevic, V.; Zurauskiene, N.; Kersulis, S.; Plausinaitiene, V.; Lukose, R.; Klimantavicius, J.; Tolvaisiene, S.; Skapas, M.; Sielskis, A.; Balevicius, S. Nanostructured Manganite Films Grown by Pulsed Injection MOCVD: Tuning Low- and High-Field Magnetoresistive Properties for Sensors Applications. Sensors 2022, 22, 605. [Google Scholar] [CrossRef]
- Chen, A.; Zhang, W.; Jian, J.; Wanga, H. Role of boundaries on low-field magnetotransport properties of La0.7Sr0.3MnO3-based nanocomposite thin films. J. Mater. Res. 2013, 28, 1707–1714. [Google Scholar] [CrossRef]
- Moshnyaga, V.; Damaschke, B.; Shapoval, O.; Belenchuk, A.; Faupel, J.; Lebedev, O.I.; Verbeeck, J.; van Tendeloo, G.; Mücksch, M.; Tsurkan, V.; et al. Structural phase transition at the percolation threshold in epitaxial (La0.7Ca0.3MnO3)1−x:(MgO)x nanocomposite films. Nat. Mater. 2003, 2, 247–252. [Google Scholar] [CrossRef]
- Wu, Y.J.; Wang, Z.J.; Ning, X.K.; Wang, Q.; Liu, W.; Zhang, Z.D. Room temperature magnetoresistance properties in self-assembled epitaxial La0.7Sr0.3MnO3:NiO nanocomposite thin films. Mater. Res. Lett. 2018, 6, 489–494. [Google Scholar] [CrossRef] [Green Version]
- Zhang, W.; Chen, A.; Khatkhatay, F.; Tsai, C.-F.; Su, Q.; Jiao, L.; Zhang, X.; Wang, H. Integration of selfassembled vertically aligned nanocomposite (La0.7Sr0.3MnO3)1–x:(ZnO)x thin films on silicon substrates. ACS Appl Mater. Interfaces 2013, 5, 3995–3999. [Google Scholar] [CrossRef]
- Staruch, M.; Gao, H.; Gao, P.-X.; Jain, M. Low-field magnetoresistance in La0.67Sr0.33MnO3:ZnO composite film. Adv. Func Mater. 2012, 22, 3591–3595. [Google Scholar] [CrossRef]
- Chen, A.; Bi, Z.; Hazariwala, H.; Zhang, X.; Su, Q.; Chen, L.; Jia, Q.; MacManus-Driscoll, J.-L.; Wang, H. Microstructure, magnetic, and low-field magnetotransport properties of self-assembled (La0.7Sr0.3MnO3)0.5:(CeO2)0.5 vertically aligned nanocomposite thin films. Nanotechnology 2011, 22, 315712–315717. [Google Scholar] [CrossRef] [PubMed]
- Kang, B.S.; Wang, H.; MacManus-Driscoll, J.L.; Li, Y.; Jia, Q.X. Low field magnetotransport properties of (La0.7Sr0.3MnO3)0.5:(ZnO)0.5 nanocomposite films. Appl. Phys. Lett. 2006, 88, 192514. [Google Scholar] [CrossRef]








Publisher’s Note: MDPI stays neutral with regard to jurisdictional claims in published maps and institutional affiliations. |
© 2022 by the authors. Licensee MDPI, Basel, Switzerland. This article is an open access article distributed under the terms and conditions of the Creative Commons Attribution (CC BY) license (https://creativecommons.org/licenses/by/4.0/).
Share and Cite
Zurauskiene, N.; Stankevic, V.; Kersulis, S.; Vagner, M.; Plausinaitiene, V.; Dobilas, J.; Vasiliauskas, R.; Skapas, M.; Koliada, M.; Pietosa, J.; et al. Enhancement of Room-Temperature Low-Field Magnetoresistance in Nanostructured Lanthanum Manganite Films for Magnetic Sensor Applications. Sensors 2022, 22, 4004. https://doi.org/10.3390/s22114004
Zurauskiene N, Stankevic V, Kersulis S, Vagner M, Plausinaitiene V, Dobilas J, Vasiliauskas R, Skapas M, Koliada M, Pietosa J, et al. Enhancement of Room-Temperature Low-Field Magnetoresistance in Nanostructured Lanthanum Manganite Films for Magnetic Sensor Applications. Sensors. 2022; 22(11):4004. https://doi.org/10.3390/s22114004
Chicago/Turabian StyleZurauskiene, Nerija, Voitech Stankevic, Skirmantas Kersulis, Milita Vagner, Valentina Plausinaitiene, Jorunas Dobilas, Remigijus Vasiliauskas, Martynas Skapas, Mykola Koliada, Jaroslaw Pietosa, and et al. 2022. "Enhancement of Room-Temperature Low-Field Magnetoresistance in Nanostructured Lanthanum Manganite Films for Magnetic Sensor Applications" Sensors 22, no. 11: 4004. https://doi.org/10.3390/s22114004
APA StyleZurauskiene, N., Stankevic, V., Kersulis, S., Vagner, M., Plausinaitiene, V., Dobilas, J., Vasiliauskas, R., Skapas, M., Koliada, M., Pietosa, J., & Wisniewski, A. (2022). Enhancement of Room-Temperature Low-Field Magnetoresistance in Nanostructured Lanthanum Manganite Films for Magnetic Sensor Applications. Sensors, 22(11), 4004. https://doi.org/10.3390/s22114004

