Divergence-Based Segmentation Algorithm for Heavy-Tailed Acoustic Signals with Time-Varying Characteristics
Abstract
1. Introduction
2. Problem Formulation
Experimental Illustration of the Problem
3. Methodology
3.1. Preliminary Study
3.2. The Stable Distribution with Changing Parameters
3.3. Signal Parameters Identification and Modelling
3.4. Divergence Measure
3.5. Segmentation Procedure
- Divide the signal into M segments of length equal to L.
- Estimate the pdf in each segment, .
- Estimate the pdf corresponding to the last L samples in the signal, .
- Calculate the Jeffreys distance between the pdfs in subsequent segments and the pdf of the last L samples,
- Calculate the increments (differences) of Jeffreys distance,
- Use the LLR method to find the index in corresponding to the change in scale of .
- Consider the sub-samples and . Use the LLR method to find the indexes and in and in , respectively, corresponding to changes in scale.
| Algorithm 1: Segmentation procedure based on Jeffreys distance |
Data: Input data Divide data into M segments of length equal to L: Segment 1, Segment 2, …, Segment M Estimate the pdf in each segment:
Estimate the pdf of the last L samples in the signal: Calculate the Jeffreys distance:
Calculate the increments of Jeffreys distance:
Use the LLR method to find change in scale in : Use the LLR method to find change in scale in : Use the LLR method to find change in scale in : |
4. Results
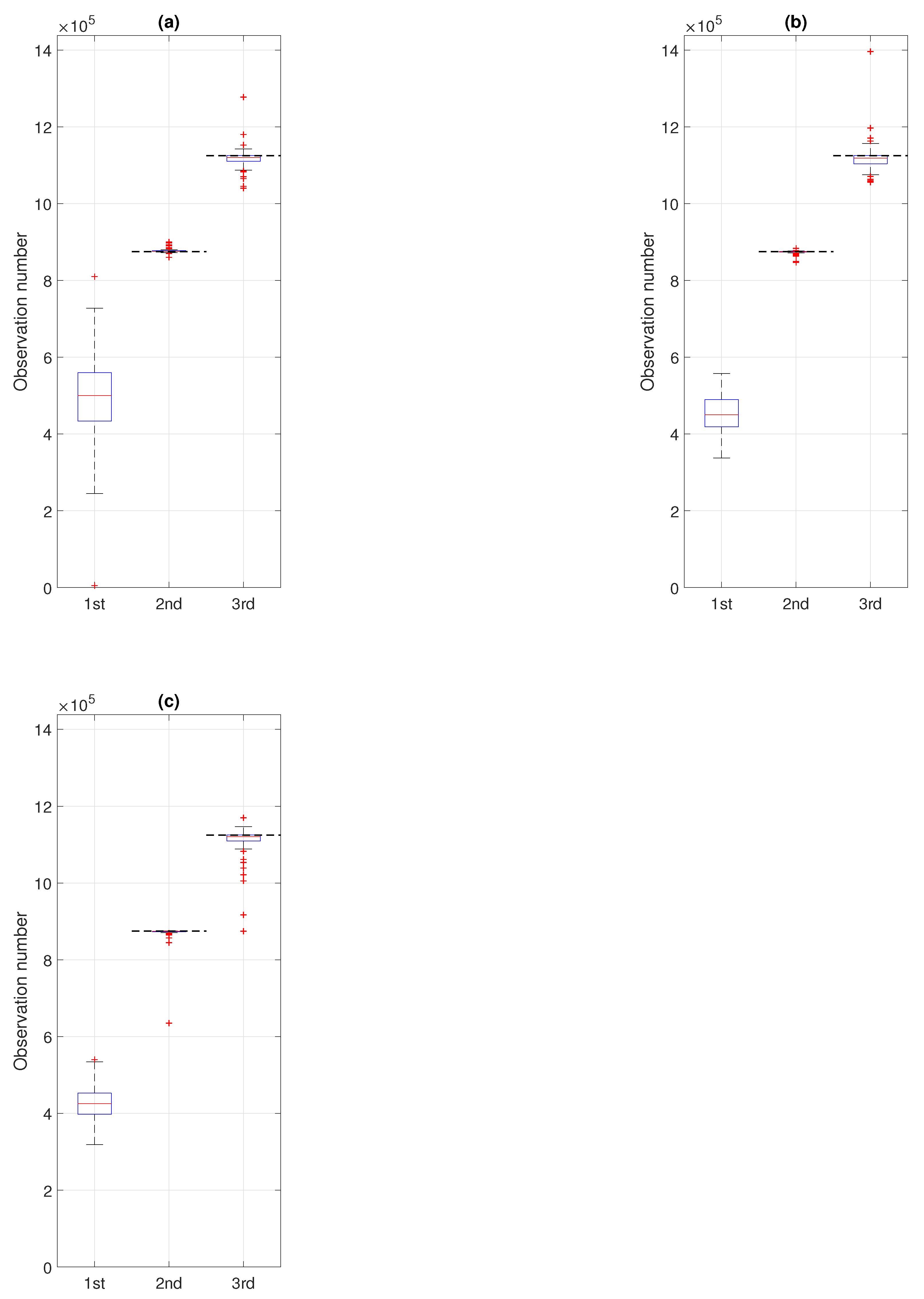
5. Simulations
6. Discussion and Validation of the Procedure
7. Conclusions
Author Contributions
Funding
Institutional Review Board Statement
Informed Consent Statement
Data Availability Statement
Conflicts of Interest
References
- Cho, H.; Fryzlewicz, P. Multiple-change-point detection for high dimensional time series via sparsified binary segmentation. J. R. Stat. Soc. Ser. B Stat. Methodol. 2015, 77, 475–507. [Google Scholar] [CrossRef]
- Raphael, C. Automatic segmentation of acoustic musical signals using Hidden Markov Models. IEEE Trans. Pattern Anal. Mach. Intell. 1999, 21, 360–370. [Google Scholar] [CrossRef]
- Andre-Obrecht, R. A New Statistical Approach for the Automatic Segmentation of Continuous Speech Signals. IEEE Trans. Acoust. Speech, Signal Process. 1988, 36, 29–40. [Google Scholar] [CrossRef]
- Zimroz, R.; Madziarz, M.; Żak, G.; Wyłomańska, A.; Obuchowski, J. Seismic signal segmentation procedure using time-frequency decomposition and statistical modelling. J. Vibroeng. 2015, 17, 3111–3120. [Google Scholar]
- Popescu, T. Signal segmentation using changing regression models with application in seismic engineering. Digit. Signal Process. A Rev. J. 2014, 24, 14–26. [Google Scholar] [CrossRef]
- Gaby, J.; Anderson, K. Hierarchical segmentation of seismic waveforms using affinity. Geoexploration 1984, 23, 1–16. [Google Scholar] [CrossRef]
- Kucharczyk, D.; Wyłomanska, A.; Obuchowski, J.; Zimroz, R.; Madziarz, M. Stochastic Modelling as a Tool for Seismic Signals Segmentation. Shock Vib. 2016, 2016, 8453426. [Google Scholar] [CrossRef][Green Version]
- Chen, C.H. On a segmentation algorithm for seismic signal analysis. Geoexploration 1984, 23, 35–40. [Google Scholar] [CrossRef]
- Chiaruttini, C.; Roberto, V. Automation of seismic network signal interpolation: An artificial intelligence approach. Geoexploration 1988, 11, 327–338. [Google Scholar] [CrossRef]
- Theodor, P.; Cioboată, D. Performance Evaluation of Some Change Detection and Data Segmentation Algorithms. Int. J. Math. Comput. Methods 2016, 1, 236. [Google Scholar]
- Pikoulis, E.V.; Psarakis, E. A New Automatic Method for Seismic Signals Segmentation. In Proceedings of the 2012 IEEE International Conference on Acoustics, Speech and Signal Processing (ICASSP), Kyoto, Japan, 25–30 March 2012. [Google Scholar]
- Vaezi, Y.; Van der Baan, M. Comparison of the STA/LTA and power spectral density methods for microseismic event detection. Geophys. J. Int. 2015, 203, 1896–1908. [Google Scholar] [CrossRef]
- Lopatka, M.; Laplanche, C.; Adam, O.; Motsch, J.; Zarzycki, J. Non-stationary time-series segmentation based on the Schur prediction error analysis. In Proceedings of the IEEE/SP 13th Workshop on Statistical Signal Processing, Bordeaux, France, 17–20 July 2005; Volume 2005, pp. 251–255. [Google Scholar]
- Makowski, R.; Hossa, R. Automatic speech signal segmentation based on the innovation adaptive filter. Int. J. Appl. Math. Comput. Sci. 2014, 24, 259–270. [Google Scholar] [CrossRef]
- Khanagha, V.; Daoudi, K.; Pont, O.; Yahia, H. Phonetic segmentation of speech signal using local singularity analysis. Digit. Signal Process. A Rev. J. 2014, 35, 86–94. [Google Scholar] [CrossRef]
- Micó, P.; Mora, M.; Cuesta-Frau, D.; Aboy, M. Automatic segmentation of long-term ECG signals corrupted with broadband noise based on sample entropy. Comput. Methods Programs Biomed. 2010, 98, 118–129. [Google Scholar] [CrossRef]
- Kucharczyk, D.; Wyłomańska, A.; Zimroz, R. Structural break detection method based on the Adaptive Regression Splines technique. Phys. A Stat. Mech. Its Appl. 2017, 471, 499–511. [Google Scholar] [CrossRef]
- Montiel, D.; Cang, H.; Yang, H. Quantitative Characterization of Changes in Dynamical Behavior for Single-Particle Tracking Studies. J. Phys. Chem. 2006, 110, 19763–19770. [Google Scholar] [CrossRef]
- Estarellas, C.; Serra, L. Resonant Anderson localization in segmented wires. Phys. Rev. E 2016, 93, 32–105. [Google Scholar] [CrossRef] [PubMed]
- Mordant, N.; Crawford, A.; Bodenschatz, E. Three-Dimensional Structure of the Lagrangian Acceleration in Turbulent Flows. Phys. Rev. Lett. 2004, 93, 214–501. [Google Scholar] [CrossRef]
- Han, Z.; Chen, H.; Yan, T.; Jiang, G. Time Series Segmentation to Discover Behavior Switching in Complex Physical Systems. In Proceedings of the IEEE International Conference on Data Mining, Atlantic City, NJ, USA, 14–17 November 2015; pp. 161–170. [Google Scholar]
- Gajda, J.; Sikora, G.; Wyłomańska, A. Regime variance testing - a quantile approach. Acta Phys. Pol. B 2013, 44, 1015–1035. [Google Scholar] [CrossRef]
- Zhang, C.; Gao, F.; Zhang, R. Segmentation algorithm for DNA sequences. Phys. Rev. E 2005, 72, 041917. [Google Scholar] [CrossRef]
- Sippl, M. Calculation of conformational ensembles from potentials of mean force. An approach to the knowledge-based prediction of local structures in globular proteins. J. Mol. Biol. 1990, 213, 859–883. [Google Scholar] [CrossRef]
- Camargo, S.; Duarte Queirós, S.M.; Anteneodo, C. Nonparametric segmentation of nonstationary time series. Phys. Rev. E 2011, 84, 046702. [Google Scholar] [CrossRef] [PubMed]
- Jamali, S.; Jönssonv, P.; Eklundh, L.; Ardö, J.; Seaquist, J. Detecting changes in vegetation trends using time series segmentation. Remote Sens. Environ. 2015, 156, 182–195. [Google Scholar] [CrossRef]
- Omranian, N.; Mueller-Roeber, B.; Nikoloski, Z. Segmentation of biological multivariate time-series data. Sci. Rep. 2015, 5, 1–6. [Google Scholar] [CrossRef] [PubMed]
- Puchalski, A.; Komorska, I. Stable distributions, generalised entropy, and fractal diagnostic models of mechanical vibration signals. Diagnostyka 2017, 18, 103–110. [Google Scholar]
- Wyłomańska, A.; Zimroz, R. Signal segmentation for operational regimes detection of heavy duty mining mobile machines—A statistical approach. Diagnostyka 2014, 15, 33–42. [Google Scholar]
- Gąsior, K.; Urbańska, H.; Grzesiek, A.; Zimroz, R.; Wyłomańska, A. Identification, decomposition and segmentation of impulsive vibration signals with deterministic components—A sieving screen case study. Sensors 2020, 20, 5648. [Google Scholar] [CrossRef]
- Michalak, A.; Wodecki, J.; Drozda, M.; Wyłomańska, A.; Zimroz, R. Model of the vibration signal of the vibrating sieving screen suspension for condition monitoring purposes. Sensors 2021, 21, 213. [Google Scholar] [CrossRef]
- Crossman, J.; Guo, H.; Murphey, Y.; Cardillo, J. Automotive signal fault diagnostics—Part I: Signal fault analysis, signal segmentation, feature extraction and quasi-optimal feature selection. IEEE Trans. Veh. Technol. 2003, 52, 1063–1075. [Google Scholar] [CrossRef]
- Douglas, H.; Zamba, K. Statistical Process Control for Shifts in Mean or Variance Using a Changepoint Formulation. Technometrics 2005, 47, 164–173. [Google Scholar]
- Naruse, Y.; Takiyama, K.; Okada, M.; Umehara, H. Statistical method for detecting phase shifts in alpha rhythm from human electroencephalogram data. Phys. Rev. E 2013, 87, 042708. [Google Scholar] [CrossRef] [PubMed]
- Niu, Y.S.; Zhang, H. The screening and ranking algorithm to detect DNA copy number variations. Ann. Appl. Stat. 2012, 6, 1306–1326. [Google Scholar] [CrossRef]
- Fryzlewicz, P. Wild binary segmentation for multiple change-point detection. Ann. Appl. Stat. 2014, 42, 2243–2281. [Google Scholar] [CrossRef]
- Grzesiek, A.; Zimroz, R.; Sliwinski, P.; Gomolla, N.; Wyłomańska, A. Long term belt conveyor gearbox temperature data analysis – Statistical tests for anomaly detection. Measurement 2020, 165, 108124. [Google Scholar] [CrossRef]
- Zhou, C.; Zou, C.; Zhang, Y.; Wang, Z. Nonparametric control chart based on change-pointmodel. Stat. Pap. 2009, 50, 13–28. [Google Scholar] [CrossRef]
- Jewell, S.; Fearnhead, P.; Witten, D. Testing for a Change in Mean After Changepoint Detection. arXiv 2021, arXiv:1910.04291. [Google Scholar]
- Wenger, K.; Leschinski, C.; Sibbertsen, P. Change-in-mean tests in long-memory time series: A review of recent developments. AStA Adv. Stat. Anal. 2019, 103, 237–256. [Google Scholar] [CrossRef]
- Inclan, C.; Tiao, G. Use of Cumulative Sums of Squares for Retrospective Detection of Changes of Variance. J. Am. Stat. Assoc. 1994, 89, 913–923. [Google Scholar]
- Chen, J.; Gupta, A. Change point analysis of a Gaussian model. Stat. Pap. 1999, 40, 323–333. [Google Scholar] [CrossRef]
- Killick, R.; Fearnhead, P.; Eckley, I.A. Optimal Detection of Changepoints With a Linear Computational Cost. J. Am. Stat. Assoc. 2012, 107, 1590–1598. [Google Scholar] [CrossRef]
- Gabbanini, F.; Vannucci, M.; Bartoli, G.; Moro, A. Wavelet Packet Methods for the Analysis of Variance of Time Series With Application to Crack Widths on the Brunelleschi Dome. J. Comput. Graph. Stat. 2004, 13, 639–658. [Google Scholar] [CrossRef][Green Version]
- Whitcher, B.; Byers, S.; Guttorp, P.; Percival, D. Testing for homogeneity of variance in time series: Long memory, wavelets, and the Nile River. Water Resour. Res. 2002, 38, 12–16. [Google Scholar] [CrossRef]
- Hawkins, D.M.; Zamba, K.D. A Change-Point Model for a Shift in Variance. J. Qual. Technol. 2005, 37, 21–31. [Google Scholar] [CrossRef]
- Jong-Min, K.; Jaiwook, B.; Mitch, R. Detecting the Change of Variance by Using Conditional Distribution with Diverse Copula Functions; Springer: Singapore, 2018; pp. 145–154. [Google Scholar]
- Qin, R.; Ma, J. An efficient algorithm to estimate the change in variance. Econ. Lett. 2018, 168, 15–17. [Google Scholar] [CrossRef]
- Sánchez-Pérez, L.; Sánchez-Fernández, L.; Suárez-Guerra, S.; Carbajal-Hernández, J. Aircraft class identification based on take-off noise signal segmentation in time. Expert Syst. Appl. 2013, 40, 5148–5159. [Google Scholar] [CrossRef]
- Tóth, B.; Lillo, F.; Farmer, J. Segmentation algorithm for non-stationary compound Poisson processes: With an application to inventory time series of market members in a financial market. Eur. Phys. J. B 2010, 78, 235–243. [Google Scholar] [CrossRef]
- Lee, S.X.; McLachlan, G.J. Scale Mixture Distribution. In Wiley StatsRef: Statistics Reference Online; American Cancer Society: Atlanta, GA, USA, 2019; pp. 1–16. [Google Scholar]
- Charytoniuk, W.; Nazarko, J. An application of compound probability distributions to electric load modeling. Stoch. Anal. Appl. 1994, 12, 31–40. [Google Scholar] [CrossRef]
- Willmot, G.E.; Lin, X.S. Compound distributions. In Lundberg Approximations for Compound Distributions with Insurance Applications; Springer: New York, NY, USA, 2001; pp. 51–80. [Google Scholar]
- Forbes, F.; Wraith, D. A new family of multivariate heavy-tailed distributions with variable marginal amounts of tailweight: Application to robust clustering. Stat. Comput. 2014, 24, 971–984. [Google Scholar] [CrossRef]
- Kim, J.; Mahmassani, H.S. Compound Gamma representation for modeling travel time variability in a traffic network. Transp. Res. Part B Methodol. 2015, 80, 40–63. [Google Scholar] [CrossRef]
- Maxwell, O.; Oyamakin, S.; Chukwu, A. On making an informed decision between four exponential-based continuous compound distributions. J. Adv. Appl. Math. 2019, 4, 75–81. [Google Scholar] [CrossRef]
- Afuecheta, E.; Semeyutin, A.; Chan, S.; Nadarajah, S.; Andrés Pérez Ruiz, D. Compound distributions for financial returns. PLoS ONE 2020, 15, 1–25. [Google Scholar] [CrossRef]
- Andel, J. Autoregressive series with random parameters. Math. Oper. Und Stat. 1976, 7, 735–741. [Google Scholar] [CrossRef]
- Liu, L.; Tiao, G.C. Random coefficient first-order autoregressive models. J. Econom. 1980, 13, 305–325. [Google Scholar] [CrossRef]
- Nicholls, D.F.; Quinn, B.G. The estimation of random coefficient autoregressive models. I. J. Time Ser. Anal. 1980, 1, 37–46. [Google Scholar] [CrossRef]
- Nicholls, D.; Quinn, B. Random Coefficient Autoregressive Models: An Introduction; Lecture Notes in Statistics; Springer: New York, NY, USA, 1982. [Google Scholar]
- Regis, M.; Serra, P.; van den Heuvel, E.R. Random autoregressive models: A structured overview. Econom. Rev. 2021, 1–24. [Google Scholar] [CrossRef]
- Cox, D.R. Some Statistical Methods Connected with Series of Events. J. R. Stat. Soc. Ser. B (Methodological) 1955, 17, 129–157. [Google Scholar] [CrossRef]
- Lando, D. On Cox processes and credit risky securities. Rev. Deriv. Res. 1998, 2, 99–120. [Google Scholar] [CrossRef]
- Krumin, M.; Shoham, S. Generation of Spike Trains with Controlled Auto- and Cross-Correlation Functions. Neural Comput. 2009, 21, 1642–1664. [Google Scholar] [CrossRef]
- Chubynsky, M.V.; Slater, G.W. Diffusing Diffusivity: A Model for Anomalous, yet Brownian, Diffusion. Phys. Rev. Lett. 2014, 113, 098302. [Google Scholar] [CrossRef] [PubMed]
- Jain, R.; Sebastian, K. Diffusing diffusivity: A new derivation and comparison with simulations. J. Chem. Sci. 2017, 129, 929–937. [Google Scholar] [CrossRef]
- Wang, W.; Cherstvy, A.G.; Chechkin, A.V.; Thapa, S.; Seno, F.; Liu, X.; Metzler, R. Fractional Brownian motion with random diffusivity: Emerging residual nonergodicity below the correlation time. J. Phys. A Math. Theor. 2020, 53, 474001. [Google Scholar] [CrossRef]
- Lévy, P. Calcul des Probabilites; Gauthier-Villars: Paris, France, 1925. [Google Scholar]
- Khinchine, A.Y.; Lévy, P. Sur les lois stables. CR Acad. Sci. Paris 1936, 202, 374–376. [Google Scholar]
- Weron, A. Stable processes and measures: A survey. In Probability Theory on Vector Spaces III; Springer: Berlin/Heidelberg, Germany, 1984; pp. 306–364. [Google Scholar]
- Zolotarev, V. One-dimensional Stable Distributions; Translations of Mathematical Monographs; American Mathematical Society: Providence, RI, USA, 1986. [Google Scholar]
- Janicki, A.; Weron, A. Simulation and Chaotic Behavior of α-Stable Stochastic Processes; Chapman & Hall/CRC Pure and Applied Mathematics; Taylor & Francis: Abingdon, UK, 1993. [Google Scholar]
- Samorodnitsky, G.; Taqqu, M. Stable Non-Gaussian Random Processes: Stochastic Models with Infinite Variance; Chapman and Hall: London, UK, 1994. [Google Scholar]
- Nikias, C.; Shao, M. Signal Processing with Alpha-Stable Distributions and Applications; Adaptive and Cognitive Dynamic Systems: Signal Processing, Learning, Communications and Control; Wiley: New York, NY, USA, 1995. [Google Scholar]
- Nolan, J.P. Stable Distributions - Models for Heavy Tailed Data; Birkhauser: Boston, MA, USA, 2018. [Google Scholar]
- Burnecki, K.; Wyłomańska, A.; Beletskii, A.; Gonchar, V.; Chechkin, A. Recognition of stable distribution with Lévy index α close to 2. Phys. Rev. E 2012, 85, 056711. [Google Scholar] [CrossRef]
- Koutrouvelis, I.A. Regression-type estimation of the parameters of stable laws. J. Am. Stat. Assoc. 1980, 75, 918–928. [Google Scholar] [CrossRef]
- Csiszár, I. Information-Type Measures of Difference of Probability Distributions and Indirect Observations. Stud. Sci. Math. Hung. 1967, 2, 299–318. [Google Scholar]
- Csiszár, I. I-Divergence Geometry of Probability Distributions and Minimization Problem. Ann. Probab. 1975, 3, 146–158. [Google Scholar] [CrossRef]
- Basseville, M. Distance measures for signal processing and pattern recognition. Signal Process. 1989, 18, 349–369. [Google Scholar] [CrossRef]
- Basseville, M. Divergence measures for statistical data processing—An annotated bibliography. Signal Process. 2013, 93, 621–633. [Google Scholar] [CrossRef]
- Chung, J.; Kannappan, P.; Ng, C.; Sahoo, P. Measures of distance between probability distributions. J. Math. Anal. Appl. 1989, 138, 280–292. [Google Scholar] [CrossRef]
- Hill, P.D. Kernel estimation of a distribution function. Commun. Stat. Theory Methods 1985, 14, 605–620. [Google Scholar]
- Bowman, A.W.; Azzalini, A. Applied Smoothing Techniques for Data Analysis; Oxford University Press Inc.: New York, NY, USA, 1997. [Google Scholar]
- Silverman, B. Density Estimation: For Statistics and Data Analysis; Chapman & Hall: London, UK, 1986. [Google Scholar]
- Horvath, L. The Maximum Likelihood Method for Testing Changes in the Parameters of Normal Observations. Ann. Stat. 1993, 21, 671–680. [Google Scholar] [CrossRef]





















| Signal Number | Step | Purple Point | Red Point | Yellow Point |
|---|---|---|---|---|
| 1 | 2500 | |||
| 500 | ||||
| 250 | ||||
| 2 | 2500 | |||
| 500 | ||||
| 250 | ||||
| 3 | 2500 | |||
| 500 | ||||
| 250 | ||||
| 4 | 2500 | |||
| 500 | ||||
| 250 | ||||
| 5 | 2500 | |||
| 500 | ||||
| 250 | ||||
| 6 | 2500 | |||
| 500 | ||||
| 250 | ||||
| 7 | 2500 | |||
| 500 | ||||
| 250 | ||||
| 8 | 2500 | |||
| 500 | ||||
| 250 |
| Purple Point | Red Point | Yellow Point | |
|---|---|---|---|
| theoretical value | - | 875,000 | 1,125,000 |
| step = 2500 | |||
| 500,000 | 875,000 | 1,120,000 | |
| 126,250 | 2500 | 15,000 | |
| [395,000; 610,000] | [872,500; 883,750] | [1,093,750; 1,131,250] | |
| step = 500 | |||
| 450,000 | 874,500 | 1,118,500 | |
| 71,250 | 1500 | 21,250 | |
| [390,250; 523,250] | [870,750; 875,500] | [1,079,250;1,140,250] | |
| step = 250 | |||
| 425,750 | 874,250 | 1,120,750 | |
| 54,750 | 2000 | 15,625 | |
| [378,125; 478,000] | [869,000; 875,000] | [1,090,125; 1,128,625] | |
Publisher’s Note: MDPI stays neutral with regard to jurisdictional claims in published maps and institutional affiliations. |
© 2021 by the authors. Licensee MDPI, Basel, Switzerland. This article is an open access article distributed under the terms and conditions of the Creative Commons Attribution (CC BY) license (https://creativecommons.org/licenses/by/4.0/).
Share and Cite
Grzesiek, A.; Gąsior, K.; Wyłomańska, A.; Zimroz, R. Divergence-Based Segmentation Algorithm for Heavy-Tailed Acoustic Signals with Time-Varying Characteristics. Sensors 2021, 21, 8487. https://doi.org/10.3390/s21248487
Grzesiek A, Gąsior K, Wyłomańska A, Zimroz R. Divergence-Based Segmentation Algorithm for Heavy-Tailed Acoustic Signals with Time-Varying Characteristics. Sensors. 2021; 21(24):8487. https://doi.org/10.3390/s21248487
Chicago/Turabian StyleGrzesiek, Aleksandra, Karolina Gąsior, Agnieszka Wyłomańska, and Radosław Zimroz. 2021. "Divergence-Based Segmentation Algorithm for Heavy-Tailed Acoustic Signals with Time-Varying Characteristics" Sensors 21, no. 24: 8487. https://doi.org/10.3390/s21248487
APA StyleGrzesiek, A., Gąsior, K., Wyłomańska, A., & Zimroz, R. (2021). Divergence-Based Segmentation Algorithm for Heavy-Tailed Acoustic Signals with Time-Varying Characteristics. Sensors, 21(24), 8487. https://doi.org/10.3390/s21248487

