Smart Monitoring of Manufacturing Systems for Automated Decision-Making: A Multi-Method Framework
Abstract
:1. Introduction
2. Background
2.1. Data Collection Using Sensors
2.2. Data Analysis Methods
3. Proposed Framework
3.1. Step 1. Pre-Processing of the Input Data
3.2. Step 2. Signal Segmentation Considering Technical Characteristics
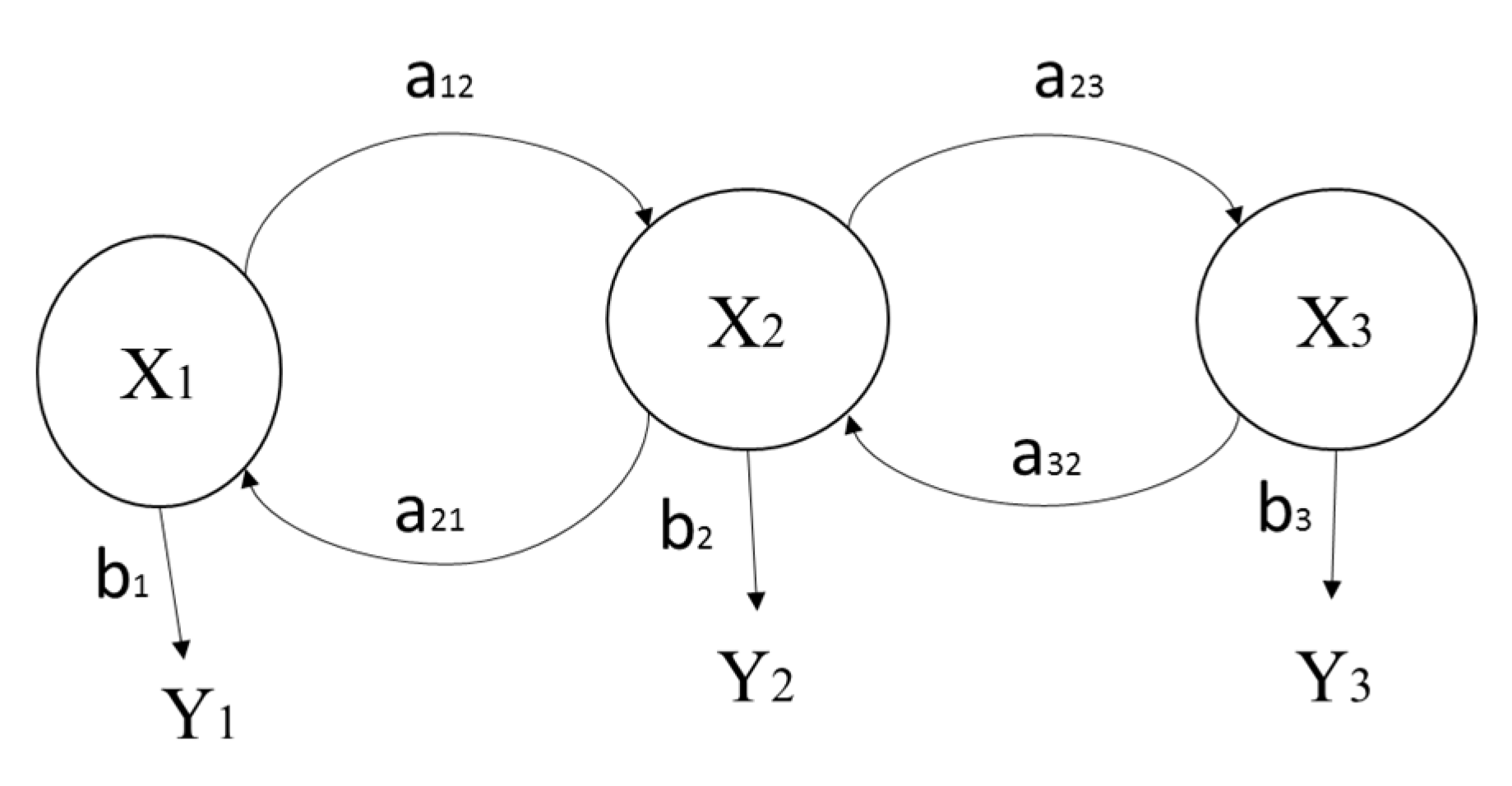
3.3. Step 3. Output Analysis and Training of the Model
4. Experimental Results
5. Concluding Remarks
Author Contributions
Funding
Conflicts of Interest
References
- Zheng, P.; Wang, Z.; Chen, C.-H.; Khoo, L.P. A survey of smart product-service systems: Key aspects, challenges and future perspectives. Adv. Eng. Inform. 2019, 42, 100973. [Google Scholar] [CrossRef]
- Wang, L.; Orban, P.; Cunningham, A.; Lang, S. Remote real-time CNC machining for web-based manufacturing. Robot. Comput. Integr. Manuf. 2004, 20, 563–571. [Google Scholar] [CrossRef] [Green Version]
- Napoleone, A.; Macchi, M.; Pozzetti, A. A review on the characteristics of cyber-physical systems for the future smart factories. J. Manuf. Syst. 2020, 54, 305–335. [Google Scholar] [CrossRef]
- Repta, D.; Stanescu, A.M.; Moisescu, M.A.; Sacala, I.S.; Benea, M. A cyber-physical systems approach to develop a generic enterprise architecture. In Proceedings of the 2014 International Conference on Engineering, Technology and Innovation (ICE), Bergamo, Italy, 23–25 June 2014; pp. 1–6. [Google Scholar]
- O’Donovan, P.; Gallagher, C.; Bruton, K.; O’Sullivan, D.T.J. A fog computing industrial cyber-physical system for embedded low-latency machine learning Industry 4.0 applications. Manuf. Lett. 2018, 15, 139–142. [Google Scholar] [CrossRef]
- Ying, K.-C.; Pourhejazy, P.; Cheng, C.-Y.; Wang, C.-H. Cyber-physical assembly systems-based optimization for robotic assembly sequence planning. J. Manuf. Syst. 2021, 58, 452–466. [Google Scholar] [CrossRef]
- Lu, Y.; Asghar, M.R. Semantic communications between distributed cyber-physical systems towards collaborative automation for smart manufacturing. J. Manuf. Syst. 2020, 55, 348–359. [Google Scholar] [CrossRef]
- Lee, S.W.; Nam, S.J.; Lee, J.-K. A Real-time 4M Collecting Method for Production Information System. Int. J. Ind. Manuf. Eng. 2012, 6, 803–806. [Google Scholar]
- Zhang, X.; Ming, X. A comprehensive industrial practice for Industrial Internet Platform (IIP): General model, reference architecture, and industrial verification. Comput. Ind. Eng. 2021, 158, 107426. [Google Scholar] [CrossRef]
- Mahalik, N.; Kim, K. The Role of Information Technology Developments in Food Supply Chain Integration and Monitoring. In Innovation and Future Trends in Food Manufacturing and Supply Chain Technologies; Elsevier: Amsterdam, The Netherlands, 2016; pp. 21–37. [Google Scholar]
- Lee, J.; Bagheri, B.; Kao, H.-A. A cyber-physical systems architecture for industry 4.0-based manufacturing systems. Manuf. Lett. 2015, 3, 18–23. [Google Scholar] [CrossRef]
- Ergen, E.; Akinci, B.; Sacks, R. Life-cycle data management of engineered-to-order components using radio frequency identification. Adv. Eng. Inform. 2007, 21, 356–366. [Google Scholar] [CrossRef]
- Wang, B.; Cao, Z.; Yan, Y.; Liu, W.; Wang, Z. Fundamental technology for RFID-based supervisory control of shop floor production system. Int. J. Adv. Manuf. Technol. 2011, 57, 1123–1141. [Google Scholar] [CrossRef]
- Lin, J.; Lin, Y.; Hsieh, M.; Yang, C. An automatic system for eggshell quality monitoring. In Proceedings of the 2001 ASAE Annual Meeting, Sacramento, CA, USA, 29 July–1 August 2001; ASABE: St. Joseph, MI, USA, 2001; p. 1. [Google Scholar] [CrossRef]
- Ioannides, M.G. Design and implementation of PLC-based monitoring control system for induction motor. IEEE Trans. Energy Convers. 2004, 19, 469–476. [Google Scholar] [CrossRef]
- Jung, I.-S.; Mulman, B.M.; Thapa, D.; Koo, L.; Bae, J.-H.; Hong, S.; Yeo, S.; Park, C.M.; Park, S.C.; Wang, G.-N. PLC control logic error monitoring and prediction using Neural Network. In Proceedings of the 2008 Fourth International Conference on Natural Computation, Jinan, China, 18–20 October 2008; Volume 2, pp. 484–488. [Google Scholar]
- Han, J.; Choi, C.-S.; Park, W.-K.; Lee, I.; Kim, S.-H. Smart home energy management system including renewable energy based on ZigBee and PLC. IEEE Trans. Consum. Electron. 2014, 60, 198–202. [Google Scholar] [CrossRef]
- Kang, B.; Kim, D.; Kang, S.-H. Real-time business process monitoring method for prediction of abnormal termination using KNNI-based LOF prediction. Expert Syst. Appl. 2012, 39, 6061–6068. [Google Scholar] [CrossRef]
- Tavakoli, S.; Mousavi, A.; Poslad, S. Input variable selection in time-critical knowledge integration applications: A review, analysis, and recommendation paper. Adv. Eng. Inform. 2013, 27, 519–536. [Google Scholar] [CrossRef] [Green Version]
- Buchner, A.G.; Anand, S.S.; Hugues, J.G. Data mining in manufacturing environments: Goals, techniques and applications. Stud. Inform. Control. 1997, 6, 319–328. [Google Scholar]
- Liu, Y.; Kumar, P.; Zhang, J.; Djurdjanovic, D.; Ni, J. Predictive modeling and intelligent maintenance tools for high yield next generation fab. In Proceedings of the 8th Semiconductor Research Corporation (SRC) Technical Conference; 2005. Available online: https://www.src.org/library/publication/p013991/p013991.pdf (accessed on 18 August 2021).
- Djurdjanovic, D.; Liu, Y. Survey of Predictive Maintenance Research and Industry Best Practice; University of Michigan: Ann Arbor, MI, USA, 2006. [Google Scholar]
- International SEMATECH; Fulton, S.; Kim, M. ISMI Consensus Preventive and Predictive Maintenance Vision; Version 1.1; Suny Polytechnic Institute: Austin, TX, USA, 2007. [Google Scholar]
- Vanraj; Goyal, D.; Saini, A.; Dhami, S.S.; Pabla, B.S. Intelligent predictive maintenance of dynamic systems using condition monitoring and signal processing techniques—A review. In Proceedings of the 2016 International Conference on Advances in Computing, Communication, & Automation (ICACCA) (Spring), Dehradun, India, 8–9 April 2016; pp. 1–6. [Google Scholar]
- Lauro, C.H.; Brandão, L.C.; Baldo, D.; Reis, R.A.; Davim, J.P. Monitoring and processing signal applied in machining processes—A review. Measurement 2014, 58, 73–86. [Google Scholar] [CrossRef]
- He, K.; Jia, M.; Liu, C. A Review of Optimal Sensor Deployment to Diagnose Manufacturing Systems. IEEE Access 2018, 6, 27418–27432. [Google Scholar] [CrossRef]
- Megahed, F.M.; Camelio, J.A. Real-time fault detection in manufacturing environments using face recognition techniques. J. Intell. Manuf. 2012, 23, 393–408. [Google Scholar] [CrossRef]
- Wong, P.K.; Yang, Z.; Vong, C.M.; Zhong, J. Real-time fault diagnosis for gas turbine generator systems using extreme learning machine. Neurocomputing 2014, 128, 249–257. [Google Scholar] [CrossRef]
- Yang, Z.-X.; Wang, X.-B.; Wong, P.K. Single and simultaneous fault diagnosis with application to a multistage gearbox: A versatile dual-ELM network approach. IEEE Trans. Ind. Inform. 2018, 14, 5245–5255. [Google Scholar] [CrossRef]
- Park, D.; Kim, S.; An, Y.; Jung, J.-Y. LiReD: A Light-Weight Real-Time Fault Detection System for Edge Computing Using LSTM Recurrent Neural Networks. Sensors 2018, 18, 2110. [Google Scholar] [CrossRef] [Green Version]
- Mehta, P.; Werner, A.; Mears, L. Condition based maintenance-systems integration and intelligence using Bayesian classification and sensor fusion. J. Intell. Manuf. 2015, 26, 331–346. [Google Scholar] [CrossRef]
- Rani, M.; Dhok, S.; Deshmukh, R. A Machine Condition Monitoring Framework Using Compressed Signal Processing. Sensors 2020, 20, 319. [Google Scholar] [CrossRef] [Green Version]
- Muchiri, P.; Pintelon, L. Performance measurement using overall equipment effectiveness (OEE): Literature review and practical application discussion. Int. J. Prod. Res. 2008, 46, 3517–3535. [Google Scholar] [CrossRef] [Green Version]
- Ljungberg, Õ. Measurement of overall equipment effectiveness as a basis for TPM activities. Int. J. Oper. Prod. Manag. 1998, 18, 495–507. [Google Scholar] [CrossRef]
- Zammori, F.; Braglia, M.; Frosolini, M. Stochastic overall equipment effectiveness. Int. J. Prod. Res. 2011, 49, 6469–6490. [Google Scholar] [CrossRef]
- De Ron, A.J.; Rooda, J.E. Equipment effectiveness: OEE revisited. IEEE Trans. Semicond. Manuf. 2005, 18, 190–196. [Google Scholar] [CrossRef]
- Bleakie, A.; Djurdjanovic, D. Feature extraction, condition monitoring, and fault modeling in semiconductor manufacturing systems. Comput. Ind. 2013, 64, 203–213. [Google Scholar] [CrossRef]
- Uehara, K. New attempts for short time tool-life testing. Ann. CIRP 1973, 22, 23–24. [Google Scholar]
- Cook, N.H.; Subramanian, K. Micro-isotope tool wear sensor. Ann. CIRP 1978, 27, 67–72. [Google Scholar]
- Takeyama, H.; Doi, Y.; Mitsuoka, T.; Sekiguchi, H. Sensors of tool life for optimization of machining. Bull. JSME 1969, 12, 132–140. [Google Scholar] [CrossRef]
- Stöferle, T.; Bellmann, B. Continuous measuring of flank wear. In Proceedings of the Sixteenth International Machine Tool Design and Research Conference; Palgrave: London, UK, 1976; pp. 573–578. [Google Scholar]
- Choi, H.; Kim, Y. UAV guidance using a monocular-vision sensor for aerial target tracking. Control Eng. Pract. 2014, 22, 10–19. [Google Scholar] [CrossRef]
- Kent, J.; Wilson, G.D. Dual Sensor Touchscreen Utilizing Projective-Capacitive and Force Touch Sensors. U.S. Patent No. 6,492,979, 10 December 2002. [Google Scholar]
- Haque, M.A.; Saif, M.T.A. Microscale materials testing using MEMS actuators. J. Microelectromech. Syst. 2001, 10, 146–152. [Google Scholar] [CrossRef]
- Haque, M.A.; Saif, M.T.A. Application of MEMS force sensors for in situ mechanical characterization of nano-scale thin films in SEM and TEM. Sens. Actuators A Phys. 2002, 97, 239–245. [Google Scholar] [CrossRef]
- Erden, F.; Alkar, A.Z.; Cetin, A.E. Contact-free measurement of respiratory rate using infrared and vibration sensors. Infrared Phys. Technol. 2015, 73, 88–94. [Google Scholar] [CrossRef]
- Iliopoulos, A.; Shirzadeh, R.; Weijtjens, W.; Guillaume, P.; Van Hemelrijck, D.; Devriendt, C. A modal decomposition and expansion approach for prediction of dynamic responses on a monopile offshore wind turbine using a limited number of vibration sensors. Mech. Syst. Signal. Process. 2016, 68, 84–104. [Google Scholar] [CrossRef]
- Hekmati, A. Proposed method of partial discharge allocation with acoustic emission sensors within power transformers. Appl. Acoust. 2015, 100, 26–33. [Google Scholar] [CrossRef]
- Van Hecke, B.; Yoon, J.; He, D. Low speed bearing fault diagnosis using acoustic emission sensors. Appl. Acoust. 2016, 105, 35–44. [Google Scholar] [CrossRef]
- Maran, M.; Manikandan, G.; Thiagarajan, K. Overall Equipment effectiveness measurement by weighted approach method. In Proceedings of the International MultyConfernce of Engineers and Computer Scientists, Hong Kong, China, 14–16 March 2012. [Google Scholar]
- Zhou, J.; Civco, D.L.; Silander, J.A. A wavelet transform method to merge Landsat TM and SPOT panchromatic data. Int. J. Remote Sens. 1998, 19, 743–757. [Google Scholar] [CrossRef]
- Bracewell, R.N.; Bracewell, R.N. The Fourier Transform and Its Applications; McGraw-Hill: New York, NY, USA, 1986; Volume 31999. [Google Scholar]
- Huang, N.E. Hilbert-Huang Transform and its Applications; World Scientific: Singapore, 2014; Volume 16. [Google Scholar]
- Berndt, D.J.; Clifford, J. Using dynamic time warping to find patterns in time series. In KDD Workshop; Springer: Berlin/Heidelberg, Germany, 1994; Volume 10, pp. 359–370. [Google Scholar]
- Mallat, S. A Wavelet Tour of Signal Processing; Academic Press: Cambridge, MA, USA, 1999. [Google Scholar]
- Cheng, C.-Y. A novel approach of information visualization for machine operation states in industrial 4.0. Comput. Ind. Eng. 2018, 125, 563–573. [Google Scholar] [CrossRef]
- Kechida, R.; Menacer, A.; Talhaoui, H. Approach signal for rotor fault detection in induction motors. J. Fail. Anal. Prev. 2013, 13, 346–352. [Google Scholar] [CrossRef]
- Singh, M.; Yadav, R.K.; Kumar, R. Discrete wavelet transform based measurement of inner race defect width in taper roller bearing. Mapan 2013, 28, 17–23. [Google Scholar] [CrossRef]
- Seshadrinath, J.; Singh, B.; Panigrahi, B.K. Incipient turn fault detection and condition monitoring of induction machine using analytical wavelet transform. IEEE Trans. Ind. Appl. 2013, 50, 2235–2242. [Google Scholar] [CrossRef]
- Gritli, Y.; Zarri, L.; Rossi, C.; Filippetti, F.; Capolino, G.-A.; Casadei, D. Advanced diagnosis of electrical faults in wound-rotor induction machines. IEEE Trans. Ind. Electron. 2012, 60, 4012–4024. [Google Scholar] [CrossRef]
- Sedlacek, M.; Titera, M. Interpolations in frequency and time domains used in FFT spectrum analysis. Measurement 1998, 23, 185–193. [Google Scholar] [CrossRef]
- Peng, Z.; Chu, F.; He, Y. Vibration signal analysis and feature extraction based on reassigned wavelet scalogram. J. Sound Vib. 2002, 253, 1087–1100. [Google Scholar] [CrossRef]
- Polat, K.; Gunecs, S. Artificial immune recognition system with fuzzy resource allocation mechanism classifier, principal component analysis and FFT method based new hybrid automated identification system for classification of EEG signals. Expert Syst. Appl. 2008, 34, 2039–2048. [Google Scholar] [CrossRef]
- Huang, N.E.; Shen, Z.; Long, S.R.; Wu, M.C.; Shih, H.H.; Zheng, Q.; Yen, N.-C.; Tung, C.C.; Liu, H.H. The empirical mode decomposition and the Hilbert spectrum for nonlinear and non-stationary time series analysis. Proc. R. Soc. London. Ser. A Math. Phys. Eng. Sci. 1998, 454, 903–995. [Google Scholar] [CrossRef]
- Musaruddin, M.; Zivanovic, R. Signal segmentation of fault records based on Empirical Mode Decomposition. In Proceedings of the TENCON 2011—2011 IEEE Region 10 Conference, Bali, Indonesia, 21–24 November 2011; pp. 138–143. [Google Scholar]
- Jiao, W. A method for time-frequency feature extraction from vibration signal based on Hilbert-Huang Transform. In Proceedings of the 2008 7th World Congress on Intelligent Control and Automation, Chongqing, China, 25–27 June 2008; pp. 8460–8464. [Google Scholar]
- Muda, L.; Begam, M.; Elamvazuthi, I. Voice recognition algorithms using mel frequency cepstral coefficient (MFCC) and dynamic time warping (DTW) techniques. arXiv 2010, arXiv:1003.4083. [Google Scholar]
- Anguera, X.; Macrae, R.; Oliver, N. Partial sequence matching using an Unbounded Dynamic Time Warping algorithm. In Proceedings of the 2010 IEEE International Conference on Acoustics, Speech and Signal Processing, Dallas, TX, USA, 14–19 March 2010; pp. 3582–3585. [Google Scholar]
- Miro, X.A.; Macrae, R. Fast Partial Pattern Matching System and Method. U.S. Patent No. 8,639,506, 28 January 2014. [Google Scholar]
- Eddy, S.R. Profile hidden Markov models. Bioinformatics 1998, 14, 755–763. [Google Scholar] [CrossRef]
- Mon, S.M.; Tun, H.M. Speech-To-Text conversion (STT) system using hidden markov model (HMM). Int. J. Sci. Technol. Res. 2015, 4, 349–352. [Google Scholar]







| Length Data | Standby | Refueling | Breakdown | Stop | Product A | Product B |
|---|---|---|---|---|---|---|
| HHT | 4969 | 144 | 218 | 2999 | 10,905 | 4420 |
| Actual | 5538 | 149 | 219 | 2930 | 10,384 | 4435 |
| Difference | 569 | 5 | 1 | 69 | 521 | 15 |
| Error (%) | 10.3 | 3.4 | 0.5 | 2.4 | 5.0 | 0.3 |
| Test | Status (%) | Result | Actual | |||||
|---|---|---|---|---|---|---|---|---|
| Standby | Refueling | Breakdown | Stop | Product A | Product B | |||
| 1 | 99 | 0 | 0 | 0 | 1 | 0 | Standby | Refueling |
| 2 | 99 | 0 | 0 | 0 | 1 | 0 | Standby | Refueling |
| 3 | 0 | 0 | 0 | 0 | 100 | 0 | Product A | Refueling |
| 4 | 0 | 0 | 0 | 0 | 100 | 0 | Product A | Refueling |
| 5 | 0 | 0 | 0 | 0 | 8 | 92 | Product B | Breakdown |
| 6 | 0 | 0 | 0 | 0 | 18 | 82 | Product B | Breakdown |
| 7 | 0 | 0 | 0 | 100 | 0 | 0 | Stop | Stop |
| 8 | 0 | 0 | 0 | 100 | 0 | 0 | Stop | Stop |
| 9 | 0 | 0 | 0 | 0 | 80 | 20 | Product A | Product A |
| 10 | 0 | 0 | 0 | 0 | 78 | 22 | Product A | Product A |
| 11 | 0 | 0 | 0 | 0 | 11 | 89 | Product B | Product B |
| 12 | 0 | 0 | 0 | 0 | 16 | 84 | Product B | Product B |
| As-Is Availability (%) | Calculated Availability (%) | Error (%) |
|---|---|---|
| 71.5 | 74.2 | 3.77 |
| Product | Computational Time (s) | Quantity | Error | ||
|---|---|---|---|---|---|
| Actual | Calculated | Absolute | Rate (%) | ||
| A | 5.8 | 345 | 348 | 3 | 0.87 |
| B | 4 | 226 | 222 | 4 | 1.77 |
Publisher’s Note: MDPI stays neutral with regard to jurisdictional claims in published maps and institutional affiliations. |
© 2021 by the authors. Licensee MDPI, Basel, Switzerland. This article is an open access article distributed under the terms and conditions of the Creative Commons Attribution (CC BY) license (https://creativecommons.org/licenses/by/4.0/).
Share and Cite
Cheng, C.-Y.; Pourhejazy, P.; Hung, C.-Y.; Yuangyai, C. Smart Monitoring of Manufacturing Systems for Automated Decision-Making: A Multi-Method Framework. Sensors 2021, 21, 6860. https://doi.org/10.3390/s21206860
Cheng C-Y, Pourhejazy P, Hung C-Y, Yuangyai C. Smart Monitoring of Manufacturing Systems for Automated Decision-Making: A Multi-Method Framework. Sensors. 2021; 21(20):6860. https://doi.org/10.3390/s21206860
Chicago/Turabian StyleCheng, Chen-Yang, Pourya Pourhejazy, Chia-Yu Hung, and Chumpol Yuangyai. 2021. "Smart Monitoring of Manufacturing Systems for Automated Decision-Making: A Multi-Method Framework" Sensors 21, no. 20: 6860. https://doi.org/10.3390/s21206860
APA StyleCheng, C.-Y., Pourhejazy, P., Hung, C.-Y., & Yuangyai, C. (2021). Smart Monitoring of Manufacturing Systems for Automated Decision-Making: A Multi-Method Framework. Sensors, 21(20), 6860. https://doi.org/10.3390/s21206860

