A Novel Method for Determining Angular Speed and Acceleration Using Sin-Cos Encoders
Abstract
1. Introduction
2. Materials and Methods
- It allows the direct calculation of the time derivatives.
- The delay of all time derivatives, including the zeroth derivative is identical.
- Once the filter parameters are determined, the computational cost is very small since only additions and multiplications are required. This allows it to be used in real-time applications with very high sampling and processing frequencies.
- The Savitzky-Golay filter optimally fits a set of data points to a polynomial using least-squares regression.
3. Results
3.1. Simulations
3.2. Bench Tests
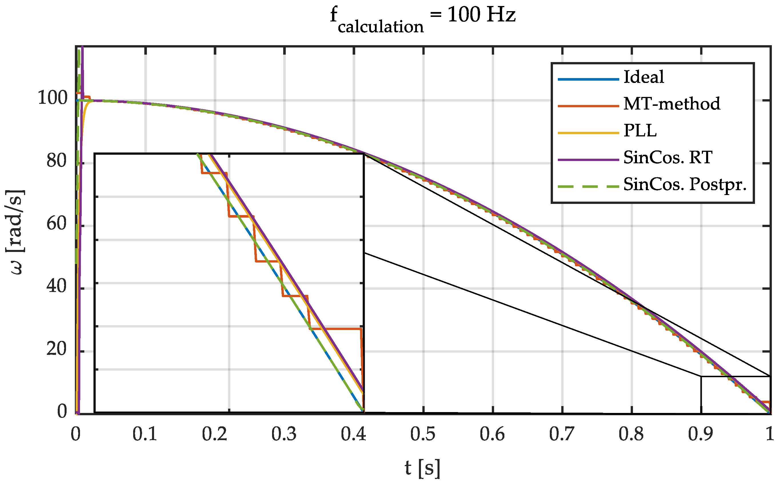
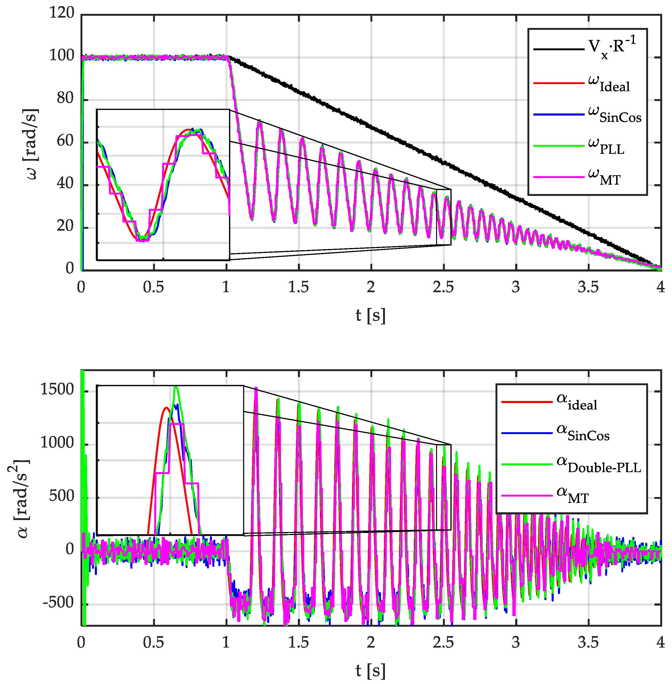
- The method proposed here is valid for both very low and high speeds. However, with an incremental encoder, even if the MT-method is used, errors are observed when measuring low speeds. This is of particular interest in the application of these sensors to brake control systems, where the wheels operate near the locking condition.
- Very low speeds and even wheel locking can be accurately calculated with the PLL and the proposed method. This is because Sin-Cos signals are continuous, as opposed to those of ABS encoders that are discontinuous.
- A low noise signal is obtained with the proposed method.
- If the signal from the ABS encoder is filtered to smooth the output, the filter will add a delay to this signal, which may be even longer than the delay of the signal from the Sin-Cos encoder.
4. Conclusions
Author Contributions
Funding
Institutional Review Board Statement
Informed Consent Statement
Data Availability Statement
Conflicts of Interest
References
- Robert Bosch GmbH. Bosch Automotive Electrics and Automotive Electronics, 5th ed.; Springer: Berlin/Heidelberg, Germany, 2007. [Google Scholar]
- Park, J.H.; Kim, C.Y. Wheel Slip Control in Traction Control System for Vehicle Stability. Veh. Syst. Dyn. 1999, 31, 263–278. [Google Scholar] [CrossRef]
- Pusch, S. New Generation of Intelligent Wheel Speed Sensors for ABS Application. In Proceedings of the SAE 2000 World Congress, Detroit, MI, USA, 6–9 March 2000. SAE Technical Paper Series. [Google Scholar] [CrossRef]
- Song, C.K.; Uchanski, M.; Hedrick, J.K. Vehicle Speed Estimation Using Accelerometer and Wheel Speed Measurements. In Proceedings of the International Body Engineering Conference & Exhibition and Automotive & Transportation Technology Congress, Paris, France, 9–11 July 2002. SAE Technical Paper Series. [Google Scholar] [CrossRef]
- Societe de Technologie Michelin SAS. The Tire-Grip; Societe de Technologie Michelin SAS: Clermont Ferrand, France, 2001; p. 92. [Google Scholar]
- Pacejka, H.B. Tire and Vehicle Dynamics, 3rd ed.; Elsevier: Amsterdam, The Netherlands, 2012. [Google Scholar]
- Ricciardi, V.; Savitski, D.; Augsburg, K.; Ivanov, V. Estimation of Brake Friction Coefficient for Blending Function of Base Braking Control. SAE Int. J. Passeng. Cars Mech. Syst. 2017, 10, 774–785. [Google Scholar] [CrossRef]
- Capra, D.; D’Alfio, N.; Morgando, A.; Vigliani, A. Experimental Test of Vehicle Longitudinal Velocity and Road Frictim Estimation for ABS System. In Proceedings of the SAE World Congress & Exhibition 2009, Detroit, MI, USA, 20–23 April 2009. SAE Technical Paper Series. [Google Scholar] [CrossRef]
- Reif, K. Brakes, Brake Control and Driver Assistance Systems-Bosch Professional Automotive Information; Springer: Berlin/Heidelberg, Germany, 2014. [Google Scholar]
- Ohmae, T.; Matsuda, T.; Kamiyama, K.; Tachikawa, M. A Microprocessor-Controlled High-Accuracy Wide-Range Speed Regulator for Motor Drives. IEEE Trans. Ind. Electron. 1982, 29, 207–211. [Google Scholar] [CrossRef]
- Li, Y.; Gu, F.; Harris, G.; Ball, A.D.; Bennett, N.; Travis, K. The measurement of instantaneous angular speed. Mech. Syst. Signal Process. 2005, 19, 786–805. [Google Scholar] [CrossRef]
- Merry, R.J.E.; van de Molengraft, M.J.G.; Steinbuch, M. Velocity and Acceleration Estimation for Optical Incremental Encoders. IFAC Proc. Vol. 2008, 41, 7570–7575. [Google Scholar] [CrossRef]
- Aguado-Rojas, M.; Pasillas-Lépine, W.; Loría, A.; De Bernardinis, A. Angular velocity estimation from incremental encoder measurements in the presence of sensor. IFAC-PapersOnLine 2017, 50, 5979–5984. [Google Scholar] [CrossRef]
- Chen, Y.; Yang, M.; Long, J.; Xu, D.; Blaabjerg, F. M/T method based incremental encoder velocity measurement error analysis and self-adaptive error elimination algorithm. In Proceedings of the IECON 2017–43rd Annual Conference of the IEEE Industrial Electronics Society, Beijing, China, 29 October–1 November 2017. [Google Scholar] [CrossRef]
- Kavanagh, R.C. Performance analysis and compensation of M/T-type digital tachometers. IEEE Trans. Instrum. Meas. 2001, 50, 965–970. [Google Scholar] [CrossRef]
- Hace, A.; Curkovic, M. A Novel Divisionless MT-Type Velocity Estimation Algorithm for Efficient FPGA Implementation. IEEE Access 2018, 6, 48074–48087. [Google Scholar] [CrossRef]
- Hace, A.; Čurkovič, M. Accurate FPGA-Based Velocity Measurement with an Incremental Encoder by a Fast Generalized Divisionless MT-Type Algorithm. Sensors 2018, 18, 3250. [Google Scholar] [CrossRef]
- Hace, A. The Improved Division-Less MT-Type Velocity Estimation Algorithm for Low-Cost FPGAs. Electronics 2019, 8, 361. [Google Scholar] [CrossRef]
- Zhang, Q.; Liu, G.; Wang, Y.; Zhou, T. Study of calculation method of wheel angular acceleration in ABS system. In Proceedings of the International Conference on Information Acquisition, Hefei, China, 21–25 June 2004; pp. 147–150. [Google Scholar] [CrossRef]
- Liu, G.; Zhang, Q.; Xiong, J.; Xie, X.; Peng, S. An investigation of calculation method of wheel angular acceleration in anti-lock braking system. In Proceedings of the 2008 International Conference on Information and Automation, Changsha, China, 20–23 June 2008; pp. 840–843. [Google Scholar] [CrossRef]
- Alipour-Sarabi, R.; Nasiri-Gheidari, Z.; Tootoonchian, F.; Oraee, H. Performance Analysis of Concentrated Wound-Rotor Resolver for Its Applications in High Pole Number Permanent Magnet Motors. IEEE Sensors J. 2017, 17, 7877–7885. [Google Scholar] [CrossRef]
- Benammar, M. A novel amplitude-to-phase converter for sine/cosine position transducers. Int. J. Electron. 2007, 94, 353–365. [Google Scholar] [CrossRef]
- Ben-Brahim, L.; Benammar, M.; Alhamadi, M.A.; Al-Emadi, N.; Al-Hitmi, M.A. A New Low Cost Linear Resolver Converter. IEEE Sensors J. 2008, 8, 1620–1627. [Google Scholar] [CrossRef]
- Ye, G.; Fan, S.; Liu, H.; Li, X.; Yu, H.; Shi, Y.; Yin, L.; Lu, B. Design of a precise and robust linearized converter for optical encoders using a ratiometric technique. Meas. Sci. Technol. 2014, 25. [Google Scholar] [CrossRef]
- Staebler, M. TMS320F240 DSP Solution for Obtaining Resolver Angular Position and Speed; Texas Instruments: Dallas, TX, USA, 2000. [Google Scholar]
- Sarma, S.; Agrawal, V.K.; Udupa, S. Software-Based Resolver-to-Digital Conversion Using a DSP. IEEE Trans. Ind. Electron. 2008, 55, 371–379. [Google Scholar] [CrossRef]
- Reddy, S.C.M.; Rau, K.N. Inverse tangent based resolver to digital converter–A software approach. Int. J. Adv. Eng. Technol. 2012, 4, 228–235. [Google Scholar]
- Attaianese, C.; Tomasso, G. Position Measurement in Industrial Drives by Means of Low-Cost Resolver-to-Digital Converter. IEEE Trans. Instrum. Meas. 2007, 56, 2155–2159. [Google Scholar] [CrossRef]
- Sarma, S.; Agrawal, V.; Udupa, S.; Parameswaran, K. Instantaneous angular position and speed measurement using a DSP based resolver-to-digital converter. Measurement 2008, 41, 788–796. [Google Scholar] [CrossRef]
- Wang, Y.; Zhu, Z.; Zuo, Z. A Novel Design Method for Resolver-to-Digital Conversion. IEEE Trans. Ind. Electron. 2014, 62, 1. [Google Scholar] [CrossRef]
- Benammar, M.; Ben-Brahim, L.; Alhamadi, M.A.; Al-Naemi, M. A novel method for estimating the angle from analog co-sinusoidal quadrature signals. Sensors Actuators A Phys. 2008, 142, 225–231. [Google Scholar] [CrossRef]
- Petrella, R.; Tursini, M.; Peretti, L.; Zigliotto, M. Speed measurement algorithms for low-resolution incremental encoder equipped drives: A comparative analysis. In Proceedings of the 2007 International Aegean Conference on Electrical Machines and Power Electronics, Bodrum, Trukey, 10–12 September 2007; pp. 780–787. [Google Scholar] [CrossRef]
- Al-Emadi, N.; Ben-Brahim, L.; Benammar, M. A new tracking technique for mechanical angle measurement. Measurement 2014, 54, 58–64. [Google Scholar] [CrossRef]
- Liu, H.; Wu, Z. Demodulation of Angular Position and Velocity from Resolver Signals via Chebyshev Filter-Based Type III Phase Locked Loop. Electronics 2018, 7, 354. [Google Scholar] [CrossRef]
- Harnefors, L. Speed estimation from noisy resolver signals. In Proceedings of the 1996 Sixth International Conference on Power Electronics and Variable Speed Drives (Conf. Publ. No. 429), Nottingham, UK, 23–25 September 1996; pp. 279–282. [Google Scholar] [CrossRef]
- Albrecht, C.; Klöck, J.; Martens, O.; Schumacher, W. Online Estimation and Correction of Systematic Encoder Line Errors. Machines 2017, 5, 1. [Google Scholar] [CrossRef]
- Benammar, M.; Gonzales, A.S.P. Position Measurement Using Sinusoidal Encoders and All Analog PLL Converter with Improved Dynamic Performance. IEEE Trans. Ind. Electron. 2015, 63, 1. [Google Scholar] [CrossRef]
- Puglisi, L.J.; Pazmiño, S.; Cena, R.J.G.; Elisabet, C. On the Velocity and Acceleration Estimation from Discrete Time-Position Sensors. J. Control Eng. Appl. Inform. 2015, 17, 30–40. [Google Scholar]
- Shaowei, W.; Shanming, W. Velocity and acceleration computations by single-dimensional Kalman filter with adaptive noise variance. Przegld Elektrotech-Niczny 2012, 2, 283–287. [Google Scholar]
- Analog Devices. Variable Resolution, Resolver-to-Digital Converter. AD2S83 Datasheet, Rev. E. 2000. [Online]. Available online: https://www.analog.com/media/en/technical-documentation/data-sheets/AD2S83.pdf (accessed on 10 December 2020).
- Analog Devices. Variable Resolution, 10-Bit to 16-Bit R/D Converter with Reference Oscillator. AD2S1210 Datasheet, Rev. A. 2010. [Online]. Available online: https://www.analog.com/media/en/technical-documentation/data-sheets/AD2S1210.pdf (accessed on 10 December 2020).
- Zimmermann, B.; Kohler, A. Optimizing Savitzky-Golay Parameters for Improving Spectral Resolution and Quantification in Infrared Spectroscopy. Appl. Spectrosc. 2013, 67, 892–902. [Google Scholar] [CrossRef]
- Serafinczuk, J.; Pietrucha, J.; Schroeder, G.; Gotszalk, T.P. Thin film thickness determination using X-ray reflectivity and Savitzky-Golay algorithm. Opt. Appl. 2011, 41, 315–322. [Google Scholar]
- Staggs, J. Savitzky–Golay smoothing and numerical differentiation of cone calorimeter mass data. Fire Saf. J. 2005, 40, 493–505. [Google Scholar] [CrossRef]
- Savitzky, A.; Golay, M.J.E. Smoothing and Differentiation of Data by Simplified Least Squares Procedures. Anal. Chem. 1964, 36, 1627–1639. [Google Scholar] [CrossRef]
- Krishnan, S.R.; Seelamantula, C.S. On the Selection of Optimum Savitzky-Golay Filters. IEEE Trans. Signal Process. 2013, 61, 380–391. [Google Scholar] [CrossRef]
- Cabrera, J. A Versatile Flat Track Tire Testing Machine. Veh. Syst. Dyn. 2003, 40, 271–284. [Google Scholar] [CrossRef]

















| g | Filter/ 0th Derivative | 1st Derivative | 2nd Derivative |
|---|---|---|---|
| gk-10 | −36 | 300 | 30 |
| gk-9 | 9 | −294 | 12 |
| gk-8 | 44 | −532 | −2 |
| gk-7 | 69 | −503 | −12 |
| gk-6 | 84 | −296 | −18 |
| gk-5 | 89 | 0 | −20 |
| gk-4 | 84 | 296 | −18 |
| gk-3 | 69 | 503 | −12 |
| gk-2 | 44 | 532 | −2 |
| gk-1 | 9 | 294 | 12 |
| gk | −36 | −300 | 30 |
| Divisor | 429 | 5148 | 858 |
| Method | M | T | MT | DLMT | PLL | SinCos |
|---|---|---|---|---|---|---|
| Time (ms) | 2.3531 | 4.8033 | 4.7263 | 3.4798 | 0.0251 | 0.0237 |
Publisher’s Note: MDPI stays neutral with regard to jurisdictional claims in published maps and institutional affiliations. |
© 2021 by the authors. Licensee MDPI, Basel, Switzerland. This article is an open access article distributed under the terms and conditions of the Creative Commons Attribution (CC BY) license (http://creativecommons.org/licenses/by/4.0/).
Share and Cite
Alcázar Vargas, M.; Pérez Fernández, J.; Velasco García, J.M.; Cabrera Carrillo, J.A.; Castillo Aguilar, J.J. A Novel Method for Determining Angular Speed and Acceleration Using Sin-Cos Encoders. Sensors 2021, 21, 577. https://doi.org/10.3390/s21020577
Alcázar Vargas M, Pérez Fernández J, Velasco García JM, Cabrera Carrillo JA, Castillo Aguilar JJ. A Novel Method for Determining Angular Speed and Acceleration Using Sin-Cos Encoders. Sensors. 2021; 21(2):577. https://doi.org/10.3390/s21020577
Chicago/Turabian StyleAlcázar Vargas, Manuel, Javier Pérez Fernández, Juan M. Velasco García, Juan A. Cabrera Carrillo, and Juan J. Castillo Aguilar. 2021. "A Novel Method for Determining Angular Speed and Acceleration Using Sin-Cos Encoders" Sensors 21, no. 2: 577. https://doi.org/10.3390/s21020577
APA StyleAlcázar Vargas, M., Pérez Fernández, J., Velasco García, J. M., Cabrera Carrillo, J. A., & Castillo Aguilar, J. J. (2021). A Novel Method for Determining Angular Speed and Acceleration Using Sin-Cos Encoders. Sensors, 21(2), 577. https://doi.org/10.3390/s21020577

