Soil Nutrient Detection for Precision Agriculture Using Handheld Laser-Induced Breakdown Spectroscopy (LIBS) and Multivariate Regression Methods (PLSR, Lasso and GPR)
Abstract
1. Introduction
2. Materials and Methods
2.1. Soil Sampling, Reference Analytics and Sample Preparation
2.2. LIBS Apparatus
2.3. Preprocessing of Data
2.4. Data Analysis by Multivariate Methods
3. Results
- 10-fold cross validation as a general standard;
- statistical splitting of the data set in 50% training data and 50% test data for comparison to the third validation scheme;
- data from field 1 for training and data from field 2 for testing (splitting in 50% training and 50% test data).
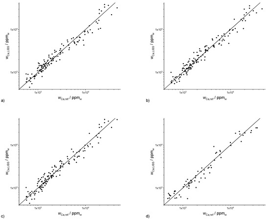
3.1. Calcium
3.2. Magnesium and Potassium
3.3. Nitrogen and Phosphorus
3.4. Minor Nutrients
3.5. Aluminium
3.6. Plant Available (PA) Phosphorus
3.7. Humus and pH
3.8. Interpretation of Lasso Coefficients
3.9. Comparison of PLS, Lasso and GPR
3.10. Variance Reduction
3.11. Data Pretreatment: Background-Correction and SNV-Normalization
3.12. Data-Reduction
4. Conclusion
Supplementary Materials
Author Contributions
Funding
Acknowledgments
Conflicts of Interest
References
- Stafford, J.V. Remote, non-contact and in-situ measurement of soil moisture content: A review. J. Agric. Eng. Res. 1988, 41, 151–172. [Google Scholar] [CrossRef]
- Gebbers, R.; Lück, E.; Dabas, M.; Domsch, H. Comparison of instruments for geoelectrical soil mapping at the field scale. Near Surf. Geophys. 2009, 7, 179–190. [Google Scholar] [CrossRef]
- Heggemann, T.; Welp, G.; Amelung, W.; Angst, G.; Franz, S.O.; Koszinski, S.; Schmidt, K.; Pätzold, S. Proximal gamma-ray spectrometry for site-independent in situ prediction of soil texture on ten heterogeneous fields in Germany using support vector machines. Soil Tillage Res. 2017, 168, 99–109. [Google Scholar] [CrossRef]
- Adamchuk, V.I.; Morgan, M.T.; Ess, D.R. An automated sampling system for measuring soil pH. Trans. Am. Soc. Agric. Eng. 1999, 42, 885–891. [Google Scholar] [CrossRef]
- Zorov, N.B.; Popov, A.M.; Zaytsev, S.M.; Labutin, T.A. Qualitative and quantitative analysis of environmental samples by laser-induced breakdown spectrometry. Russ. Chem. Rev. 2015, 84, 1021–1050. [Google Scholar] [CrossRef]
- Fortes, F.J.; Moros, J.; Lucena, P.; Cabalín, L.M.; Laserna, J.J. Laser-Induced Breakdown Spectroscopy. Anal. Chem. 2013, 85, 640–669. [Google Scholar] [CrossRef]
- Hahn, D.W.; Omenetto, N. Laser-Induced Breakdown Spectroscopy (LIBS)—Part II: Review of Instrumental and Methodological Approaches to Material Analysis and Applications to Different Fields. Appl. Spectrosc. 2012, 66, 347–419. [Google Scholar] [CrossRef]
- Hahn, D.W.; Omenetto, N. Laser-Induced Breakdown Spectroscopy (LIBS)—Part I: Review of Basic Diagnostics and Plasma-Particle Interactions: Still-Challenging Issues within the Analytical Plasma Community. Appl. Spectrosc. 2010, 64, 335A–336A. [Google Scholar] [CrossRef]
- Cremers, D.A.; Chinni, R.C. Laser-Induced Breakdown Spectroscopy—Capabilities and Limitations. Appl. Spectrosc. Rev. 2009, 44, 457–506. [Google Scholar] [CrossRef]
- Büchele, D.; Chao, M.; Ostermann, M.; Leenen, M.; Bald, I. Multivariate chemometrics as a key tool for prediction of K and Fe in a diverse German agricultural soil-set using EDXRF. Sci. Rep. 2019, 9, 17588. [Google Scholar] [CrossRef]
- Zaytsev, S.M.; Krylov, I.N.; Popov, A.M.; Zorov, N.B.; Labutin, T.A. Accuracy enhancement of a multivariate calibration for lead determination in soils by laser induced breakdown spectroscopy. Spectrochim. Acta Part B At. Spectrosc. 2018, 140, 65–72. [Google Scholar] [CrossRef]
- Popov, A.M.; Zaytsev, S.M.; Seliverstova, I.V.; Zakuskin, A.S.; Labutin, T.A. Matrix effects on laser-induced plasma parameters for soils and ores. Spectrochim. Acta Part B At. Spectrosc. 2018, 148, 205–210. [Google Scholar] [CrossRef]
- Hastie, T.; Tibshirani, R.; Friedman, J. The Elements of Statistical Learning. Data Mining, Inference and Prediction, 2nd ed.; Springer Science + Business Media: New York, NY, USA, 2009; ISBN 978-1-4614-7137-0. [Google Scholar]
- Hastie, T.; Tibshirani, R.; Wainwright, M. Statistical Learning with Sparsity: The Lasso and Generalizations; CRC Press: Boca Raton, FL, USA, 2015; ISBN 1498712169. [Google Scholar]
- Bricklemyer, R.S.; Brown, D.J.; Turk, P.J.; Clegg, S.M. Improved intact soil-core carbon determination applying regression shrinkage and variable selection techniques to complete spectrum laser-induced breakdown spectroscopy (LIBS). Appl. Spectrosc. 2013, 67, 1185–1199. [Google Scholar] [CrossRef]
- Dyar, M.D.; Carmosino, M.L.; Breves, E.A.; Ozanne, M.V.; Clegg, S.M.; Wiens, R.C. Comparison of partial least squares and lasso regression techniques as applied to laser-induced breakdown spectroscopy of geological samples. Spectrochim. Acta Part B At. Spectrosc. 2012, 70, 51–67. [Google Scholar] [CrossRef]
- Boucher, T.F.; Ozanne, M.V.; Carmosino, M.L.; Dyar, M.D.; Mahadevan, S.; Breves, E.A.; Lepore, K.H.; Clegg, S.M. A study of machine learning regression methods for major elemental analysis of rocks using laser-induced breakdown spectroscopy. Spectrochim. Acta Part B At. Spectrosc. 2015, 107, 1–10. [Google Scholar] [CrossRef]
- Rasmussen, C.E.; Williams, C.K.I. Gaussian Processes for Machine Learning; MIT Press: Cambridge, MA, USA, 2006; ISBN 026218253X. [Google Scholar]
- Bricklemyer, R.S.; Brown, D.J.; Turk, P.J.; Clegg, S. Comparing VIS–NIRS, LIBS, and combined VIs–NIRS-LIBS for intact soil core soil carbon measurement. Soil Sci. Soc. Am. J. 2018, 82, 1482–1496. [Google Scholar] [CrossRef]
- Riebe, D.; Erler, A.; Brinkmann, P.; Beitz, T.; Löhmannsröben, H.-G.; Gebbers, R. Comparison of Calibration Approaches in Laser-Induced Breakdown Spectroscopy for Proximal Soil Sensing in Precision Agriculture. Sensors 2019, 19, 5244. [Google Scholar] [CrossRef]
- Guo, G.; Niu, G.; Shi, Q.; Lin, Q.; Tian, D.; Duan, Y. Multi-element quantitative analysis of soils by laser induced breakdown spectroscopy (LIBS) coupled with univariate and multivariate regression methods. Anal. Methods 2019, 11, 3006–3013. [Google Scholar] [CrossRef]
- He, Y.; Liu, X.; Lv, Y.; Liu, F.; Peng, J.; Shen, T.; Zhao, Y.; Tang, Y.; Luo, S. Quantitative Analysis of Nutrient Elements in Soil Using Single and Double-Pulse Laser-Induced Breakdown Spectroscopy. Sensors 2018, 18, 1526. [Google Scholar] [CrossRef]
- Pareja, J.; López, S.; Jaramillo, D.; Hahn, D.W.; Molina, A. Laser ablation–laser induced breakdown spectroscopy for the measurement of total elemental concentration in soils. Appl. Opt. 2013, 52, 2470. [Google Scholar] [CrossRef]
- Díaz, D.; Hahn, D.W.; Molina, A. Evaluation of Laser-Induced Breakdown Spectroscopy (LIBS) as a Measurement Technique for Evaluation of Total Elemental Concentration in Soils. Appl. Spectrosc. 2012, 66, 99–106. [Google Scholar] [CrossRef]
- Ferreira, E.C.; Milori, D.M.B.P.; Ferreira, E.J.; dos Santos, L.M.; Martin-Neto, L.; de Araújo Nogueira, A.R. Evaluation of laser induced breakdown spectroscopy for multielemental determination in soils under sewage sludge application. Talanta 2011, 85, 435–440. [Google Scholar] [CrossRef] [PubMed]
- Segnini, A.; Xavier, A.A.P.; Otaviani-Junior, P.L.; Ferreira, E.C.; Watanabe, A.M.; Sperança, M.A.; Nicolodelli, G.; Villas-Boas, P.R.; Oliveira, P.P.A.; Milori, D.M.B.P. Physical and Chemical Matrix Effects in Soil Carbon Quantification Using Laser-Induced Breakdown Spectroscopy. Am. J. Anal. Chem. 2014, 5, 722–729. [Google Scholar] [CrossRef]
- Ebinger, M.H.; Norfleet, M.L.; Breshears, D.D.; Cremers, D.A.; Ferris, M.J.; Unkefer, P.J.; Lamb, M.S.; Goddard, K.L.; Meyer, C.W. Extending the Applicability of Laser-Induced Breakdown Spectroscopy for Total Soil Carbon Measurement. Soil Sci. Soc. Am. J. 2003, 67, 1616. [Google Scholar] [CrossRef]
- Martin, M.Z.; Wullschleger, S.D.; Garten, C.T.; Palumbo, A.V. Laser-induced breakdown spectroscopy for the environmental determination of total carbon and nitrogen in soils. Appl. Opt. 2003, 42, 2072. [Google Scholar] [CrossRef] [PubMed]
- Martin, M.Z.; Labbé, N.; André, N.; Harris, R.; Ebinger, M.; Wullschleger, S.D.; Vass, A.A. High resolution applications of laser-induced breakdown spectroscopy for environmental and forensic applications. Spectrochim. Acta Part B At. Spectrosc. 2007, 62, 1426–1432. [Google Scholar] [CrossRef]
- Martin, M.Z.; Labbé, N.; André, N.; Wullschleger, S.D.; Harris, R.D.; Ebinger, M.H. Novel Multivariate Analysis for Soil Carbon Measurements Using Laser-Induced Breakdown Spectroscopy. Soil Sci. Soc. Am. J. 2010, 74, 87. [Google Scholar] [CrossRef]
- Martin, M.Z.; Mayes, M.A.; Heal, K.R.; Brice, D.J.; Wullschleger, S.D. Investigation of laser-induced breakdown spectroscopy and multivariate analysis for differentiating inorganic and organic C in a variety of soils. Spectrochim. Acta Part B At. Spectrosc. 2013, 87, 100–107. [Google Scholar] [CrossRef]
- Bricklemyer, R.S.; Brown, D.J.; Barefield, J.E.; Clegg, S.M. Intact Soil Core Total, Inorganic, and Organic Carbon Measurement Using Laser-Induced Breakdown Spectroscopy. Soil Sci. Soc. Am. J. 2011, 75, 1006. [Google Scholar] [CrossRef]
- Ferreira, E.C.; Gomes Neto, J.A.; Milori, D.M.B.P.; Ferreira, E.J.; Anzano, J.M. Laser-induced breakdown spectroscopy: Extending its application to soil pH measurements. Spectrochim. Acta Part B At. Spectrosc. 2015, 110, 96–99. [Google Scholar] [CrossRef]
- Wainner, R.T.; Harmon, R.S.; Miziolek, A.W.; McNesby, K.L.; French, P.D. Analysis of environmental lead contamination: comparison of LIBS field and laboratory instruments. Spectrochim. Acta Part B At. Spectrosc. 2001, 56, 777–793. [Google Scholar] [CrossRef]
- Harmon, R.S.; De Lucia, F.C.; Miziolek, A.W.; McNesby, K.L.; Walters, R.A.; French, P.D. Laser-induced breakdown spectroscopy (LIBS)-an emerging field-portable sensor technology for real-time, in-situ geochemical and environmental analysis. Geochem. Explor. Environ. Anal. 2005, 5, 21–28. [Google Scholar] [CrossRef]
- Harmon, R.S.; Hark, R.R.; Throckmorton, C.S.; Rankey, E.C.; Wise, M.A.; Somers, A.M.; Collins, L.M. Geochemical Fingerprinting by Handheld Laser-Induced Breakdown Spectroscopy. Geostand. Geoanalytical Res. 2017, 41, 563–584. [Google Scholar] [CrossRef]
- Bennett, B.N.; Martin, M.Z.; Leonard, D.N.; Garlea, E. Calibration curves for commercial copper and aluminum alloys using handheld laser-induced breakdown spectroscopy. Appl. Phys. B 2018, 124, 42. [Google Scholar] [CrossRef]
- Senesi, G.S.; Manzari, P.; Consiglio, A.; De Pascale, O. Identification and classification of meteorites using a handheld LIBS instrument coupled with a fuzzy logic-based method. J. Anal. At. Spectrom. 2018, 33, 1664–1675. [Google Scholar] [CrossRef]
- Senesi, G.S.; Manzari, P.; Tempesta, G.; Agrosì, G.; Touchnt, A.A.; Ibhi, A.; De Pascale, O. Handheld Laser Induced Breakdown Spectroscopy Instrumentation Applied to the Rapid Discrimination between Iron Meteorites and Meteor-Wrongs. Geostand. Geoanalytical Res. 2018, 42, 607–614. [Google Scholar] [CrossRef]
- Crocombe, R.A. Portable Spectroscopy. Appl. Spectrosc. 2018, 72, 1701–1751. [Google Scholar] [CrossRef]
- Rakovský, J.; Čermák, P.; Musset, O.; Veis, P. A review of the development of portable laser induced breakdown spectroscopy and its applications. Spectrochim. Acta Part B At. Spectrosc. 2014, 101, 269–287. [Google Scholar] [CrossRef]
- Schirrmann, M.; Gebbers, R.; Kramer, E. Performance of Automated Near-Infrared Reflectance Spectrometry for Continuous in Situ Mapping of Soil Fertility at Field Scale. Vadose Zo. J. 2013, 12, 1. [Google Scholar] [CrossRef]
- Pořízka, P.; Klus, J.; Prochazka, D.; Képeš, E.; Hrdlička, A.; Novotný, J.; Novotný, K.; Kaiser, J. Laser-Induced Breakdown Spectroscopy coupled with chemometrics for the analysis of steel: The issue of spectral outliers filtering. Spectrochim. Acta Part B At. Spectrosc. 2016, 123, 114–120. [Google Scholar] [CrossRef]
- Conrad, T.O.F.; Leichtle, A.; Hagehülsmann, A.; Diederichs, E.; Baumann, S.; Thiery, J.; Schütte, C. Beating the Noise: New Statistical Methods for Detecting Signals in MALDI-TOF Spectra Below Noise Level. In Computational Life Sciences II. CompLife 2006. Lecture Notes in Computer Science; Berthold, M.R., Glen, R.C., Fischer, I., Eds.; Springer: Berlin, Germany, 2006; Volume 4216, pp. 119–128. [Google Scholar]
- Guezenoc, J.; Gallet-Budynek, A.; Bousquet, B. Critical review and advices on spectral-based normalization methods for LIBS quantitative analysis. Spectrochim. Acta Part B At. Spectrosc. 2019, 160, 105688. [Google Scholar] [CrossRef]
- Röst, H.L.; Sachsenberg, T.; Aiche, S.; Bielow, C.; W eisser, H.; Aicheler, F.; Andreotti, S.; Ehrlich, H.-C.; Gutenbrunner, P.; Kenar, E.; et al. OpenMS: A flexible open-source software platform for mass spectrometry data analysis. Nat. Methods 2016, 13, 741–748. [Google Scholar] [CrossRef] [PubMed]
- Kim, K.-R.; Kim, G.; Kim, J.-Y.; Park, K.; Kim, K.-W. Kriging interpolation method for laser induced breakdown spectroscopy (LIBS) analysis of Zn in various soils. J. Anal. At. Spectrom. 2014, 29, 76–84. [Google Scholar] [CrossRef]
- Friedman, J.; Hastie, T.; Tibshirani, T. Regularization Paths for Generalized Linear Models via Coordinate Descent. J. Stat. Softw. 2008, 33, 1–22. [Google Scholar] [CrossRef]








| Nutrients | Observed Lines, λ/nm | Average Mass Fractions/ppm |
|---|---|---|
| Ca | 315.9, 317.9, 370.6, 373.7, 393.3, 396.8, 422.7, 430.2, 443.5, 445.5, 518.9, 527.0, 551.4, 558.9, 585.8, 610.3, 612.2, 616.2, 643.9, 646.2, 649.4, 849.8 (3), 854.2 | 4950 |
| K | 404.6, 691.1 (2), 693.9 (4), 766.5, 769.9 | 1280 |
| Mg | 278.0, 279.5, 280.2, 285.2, 333.5 | 1450 |
| N | 746.8 (5), 821.6 (4), 868.3 (4) | 917 |
| P | 213.6 (<2), 547.7 (<2) | 372 |
| Fe | 193.6 (<2), 239.5, 248.8, 272.7 (3), 274.9, 301.8 (<2), 321.7 (2), 358.6 (4), 374.2, 405.5, 428.5, 438.4 | 10400 |
| Mn | 259.3, 279.8, 293.7, 294.8, 322.9 (4), 324.2, 344.1, 346.1, 403.3, 408.3, 476.3 (4), 478.4 (4), 482.4 (5) | 249 |
| C | 193.1 (5), 247.8 | |
| Al | 220.8, 221.1, 226.4 (2), 226.9 (3), 236.7, 237.3, 256.8, 257.5, 265.2 (3), 266 (4), 308.2, 309.3, 394.4, 396.2 | 6450 |
| Soil Parameter | PLSR | Lasso (Min/1SE) | GPR |
|---|---|---|---|
| Ca | 0.87 | 0.85/0.83 (56/31) | 0.89 |
| Mg | 0.79 | 0.75/0.69 (27/16) | 0.78 |
| K | 0.64 | 0.65/0.59 (51/16) | 0.66 |
| N | 0.51 | 0.65/0.60 (34/10) | 0.51 |
| P | 0.14 | 0.21/0.18 (18/8) | 0.28 |
| Fe | 0.77 | 0.76/0.71 (52/27) | 0.72 |
| Mn | 0.21 | 0.55/0.51 (51/29) | 0.13 |
| Al | 0.79 | 0.74/0.72 (76/36) | 0.81 |
| P (pa) | 0.22 | 0.25/0.11 (57/10) | 0.35 |
| Humus | 0.56 | 0.66/0.58 (47/10) | 0.54 |
| pH | 0.91 | 0.92/0.91 (36/32) | 0.95 |
| Soil Parameter | All Spectra | 5% Removal | 20% Removal | 50% Removal |
|---|---|---|---|---|
| Ca | 0.71 | 0.66 | 0.51 | 0.52 |
| Mg | 0.73 | 0.73 | 0.73 | 0.72 |
| K | 0.60 | 0.60 | 0.60 | 0.54 |
| N | 0.48 | 0.47 | 0.48 | 0.43 |
| P | 0.18 | 0.24 | 0.28 | 0.22 |
| Fe | 0.69 | 0.70 | 0.68 | 0.66 |
| Mn | 0.15 | 0.14 | 0.15 | 0.13 |
| Al | 0.72 | 0.73 | 0.72 | 0.69 |
| P (pa) | 0.25 | 0.27 | 0.30 | 0.24 |
| Humus | 0.58 | 0.63 | 0.55 | 0.58 |
| pH | 0.86 | 0.85 | 0.85 | 0.83 |
| mean | 0.54 | 0.55 | 0.53 | 0.51 |
| Element | Averaged Raw Spectra | Background Corrected, Normalized and Averaged Spectra | ||||
|---|---|---|---|---|---|---|
| PLSR | Lasso | GPR | PLSR | Lasso | GPR | |
| Ca | 0.82 (0.68) | 0.84 (0.59) | 0.86 (0.82) | 0.86 (0.87) | 0.84 (0.85) | 0.83 (0.89) |
| Mg | 0.73 | 0.71 | 0.75 | 0.79 | 0.75 | 0.78 |
| K | 0.60 | 0.64 | 0.60 | 0.64 | 0.65 | 0.66 |
| N | 0.48 | 0.56 | 0.41 | 0.51 | 0.65 | 0.51 |
| P | 0.18 | 0.16 | 0.26 | 0.14 | 0.21 | 0.28 |
| Fe | 0.69 | 0.63 | 0.64 | 0.77 | 0.76 | 0.72 |
| Mn | 0.15 | 0.07 | 0.01 | 0.21 | 0.55 | 0.13 |
| Al | 0.72 | 0.65 | 0.71 | 0.79 | 0.74 | 0.81 |
| P (pa) | 0.25 | 0.09 | 0.37 | 0.22 | 0.25 | 0.35 |
| Humus | 0.58 | 0.41 | 0.50 | 0.56 | 0.66 | 0.54 |
| pH | 0.86 | 0.77 | 0.93 | 0.91 | 0.92 | 0.95 |
| mean | 0.52 | 0.47 | 0.52 | 0.55 | 0.61 | 0.57 |
| change | 6% | 31% | 11% | |||
| Method | Raw | Background Corrected | SNR 1 | SNR 3 | SNR 5 | SNR 10 | SNR 22 |
|---|---|---|---|---|---|---|---|
| File size/kB | 17,745 | 7601 | 254 | 137 | 95 | 61 | 35 |
| Data points/spectrum | 7701 | 7701 | 238 | 179 | 149 | 115 | 81 |
| R² (PLSR) | 0.82 | 0.80 | 0.73 | 0.76 | 0.76 | 0.76 | 0.70 |
| R² (Lasso) | 0.84 | 0.80 | 0.79 | 0.80 | 0.82 | 0.74 | 0.64 |
| R² (GPR) | 0.86 | 0.85 | 0.79 | 0.73 | 0.75 | 0.83 | 0.76 |
© 2020 by the authors. Licensee MDPI, Basel, Switzerland. This article is an open access article distributed under the terms and conditions of the Creative Commons Attribution (CC BY) license (http://creativecommons.org/licenses/by/4.0/).
Share and Cite
Erler, A.; Riebe, D.; Beitz, T.; Löhmannsröben, H.-G.; Gebbers, R. Soil Nutrient Detection for Precision Agriculture Using Handheld Laser-Induced Breakdown Spectroscopy (LIBS) and Multivariate Regression Methods (PLSR, Lasso and GPR). Sensors 2020, 20, 418. https://doi.org/10.3390/s20020418
Erler A, Riebe D, Beitz T, Löhmannsröben H-G, Gebbers R. Soil Nutrient Detection for Precision Agriculture Using Handheld Laser-Induced Breakdown Spectroscopy (LIBS) and Multivariate Regression Methods (PLSR, Lasso and GPR). Sensors. 2020; 20(2):418. https://doi.org/10.3390/s20020418
Chicago/Turabian StyleErler, Alexander, Daniel Riebe, Toralf Beitz, Hans-Gerd Löhmannsröben, and Robin Gebbers. 2020. "Soil Nutrient Detection for Precision Agriculture Using Handheld Laser-Induced Breakdown Spectroscopy (LIBS) and Multivariate Regression Methods (PLSR, Lasso and GPR)" Sensors 20, no. 2: 418. https://doi.org/10.3390/s20020418
APA StyleErler, A., Riebe, D., Beitz, T., Löhmannsröben, H.-G., & Gebbers, R. (2020). Soil Nutrient Detection for Precision Agriculture Using Handheld Laser-Induced Breakdown Spectroscopy (LIBS) and Multivariate Regression Methods (PLSR, Lasso and GPR). Sensors, 20(2), 418. https://doi.org/10.3390/s20020418

