Two-Way Transmission for Low-Latency and High-Reliability 5G Cellular V2X Communications
Abstract
1. Introduction
- We consider multi-antennas at vehicles. NOMA scheme is suitable for communications between two vehicles driving around the roadside units (RSU). In order to share information more efficiently, the communication mode of V2X will mainly be two-way transmission, rather than one-way connection.
- For the sake of expanding the network coverage, we use RSU to assist vehicles to communicate with BS. In the broadcasting scenario, each RSU transmits information to vehicles in different directions. Different from the traditional OMA scenario, RSU serves multiple vehicles using NOMA in both uplink and downlink scenarios, since vehicles in the same group need to receive different information from the RSU.
- We derive the exact outage probability expressions for two vehicles in a pair in terms of perfect SIC (pSIC) and imperfect SIC (ipSIC). The obtained closed-form expression for outage probability is quite accurate. The system throughput is also discussed in the mode of delay-limited transmission.
- Impacts of SIC operation at receivers in the context of NOMA are carefully considered. The system performance in terms of outage probability can be enhanced by increasing the number of transmit antennas equipped at vehicles.
2. System Model of V2X Communications
3. Analysis of Outage Probability and Throughput of NOMA-V2X System
3.1. Outage probability of
3.2. Outage Probability of
3.3. Throughput
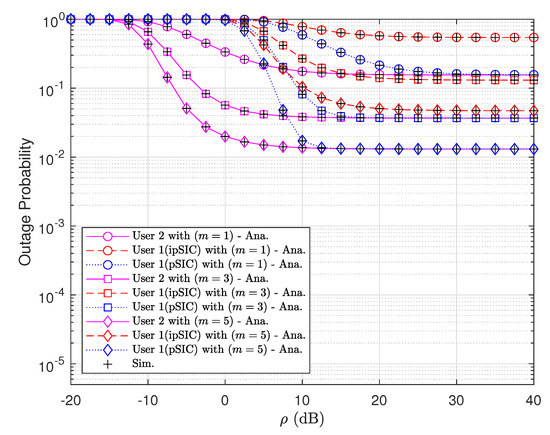
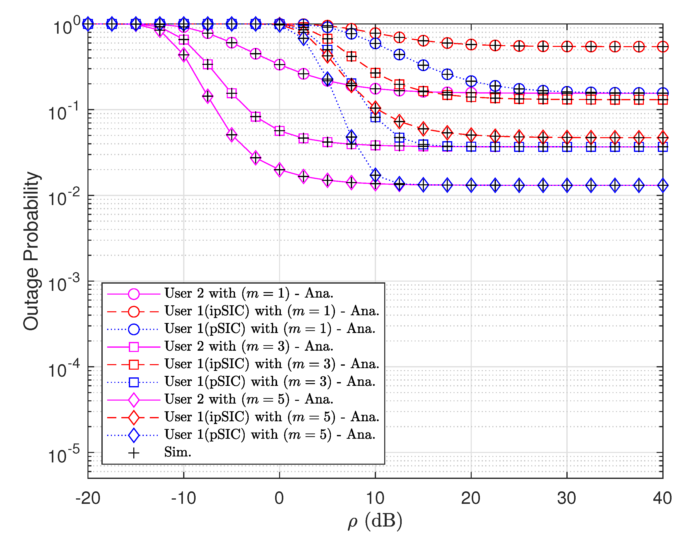
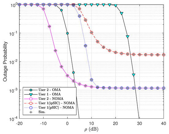
4. Numerical Results
5. Conclusions
Author Contributions
Funding
Conflicts of Interest
Appendix A. Derivation of (13)
Appendix B. Derivation of (15)
Appendix C. Derivation of (17)
References
- Karagiannis, G.; Altintas, O.; Ekici, E.; Heijenk, G.; Jarupan, B.; Lin, K.; Weil, T. Vehicular networking: A survey and tutorial on requirements, architectures, challenges, standards and solutions. IEEE Commun. Surv. Tutor. 2011, 13, 584–616. [Google Scholar] [CrossRef]
- Yang, H.; Zheng, K.; Zhao, L.; Zhang, K.; Chatzimisios, P.; Teng, Y. High reliability and low latency for vehicular networks: Challenges and solutions. arXiv 2017, arXiv:1712.00537. [Google Scholar]
- Sun, S.; Hu, J.; Peng, Y.; Pan, X. Support for vehicle-to-everything services based on LTE. IEEE Wirel. Commun. 2016, 23, 4–8. [Google Scholar] [CrossRef]
- Chen, S.; Hu, J.; Shi, Y.; Zhao, L. Technologies, standards and applications of LTE-V2X for vehicular networks. Telecommun. Sci. 2018, 34, 1–11. [Google Scholar]
- Soni, T.; Ali, A.R.; Ganesan, K.; Schellmann, M. Adaptive numerology—A solution to address the demanding QoS in 5G-V2X. In Proceedings of the IEEE WCNC, Barcelona, Spain, 15–18 April 2018; pp. 1–6. [Google Scholar]
- Song, L.; Li, Y.; Ding, Z.; Poor, H.V. Resource management in nonorthogonal multiple access networks for 5G and beyond. IEEE Netw. 2017, 31, 4–14. [Google Scholar] [CrossRef]
- Saito, Y.; Kishiyama, Y.; Benjebbour, A.; Nakamura, T.; Li, A.; Higuchi, K. Non-orthogonal multiple access (NOMA) for cellular future radio access. In Proceedings of the IEEE VTC’13, Dresden, Germany, 2–5 June 2013; pp. 1–5. [Google Scholar]
- Sun, Q.; Han, S.; Chin-Lin, I.; Pan, Z. On the ergodic capacity of MIMO NOMA systems. IEEE Wirel. Commun. Lett. 2015, 4, 405–408. [Google Scholar] [CrossRef]
- Zheng, K.; Zheng, Q.; Chatzimisios, P.; Xiang, W.; Zhou, Y. Heterogeneous vehicular networking: A survey on architecture, challenges, solutions. IEEE Commun. Surv. Tutor. 2015, 17, 2377–2396. [Google Scholar] [CrossRef]
- Dai, L.; Wang, B.; Yuan, Y.; Han, S.; Chih-Lin, I.; Wang, Z. Non-orthogonal multiple access for 5G: Solutions, challenges, opportunities, future research trends. IEEE Commun. Mag. 2015, 53, 74–81. [Google Scholar] [CrossRef]
- Do, D.-T.; van Nguyen, M.-S.; Hoang, T.-A.; Lee, B.-M. Exploiting Joint Base Station Equipped Multiple Antenna and Full-Duplex D2D Users in Power Domain Division Based Multiple Access Networks. Sensors 2019, 19, 2475. [Google Scholar] [CrossRef]
- Chen, X.; Liu, G.; Ma, Z.; Yu, F.R.; Ding, Z. Power Allocation for Cooperative Non-Orthogonal Multiple Access Systems. In Proceedings of the IEEE Global Communications Conference, Singapore, 4–8 December 2017. [Google Scholar]
- Zhang, L.; Liu, J.; Xiao, M.; Wu, G.; Liang, Y.-C.; Li, S. Performance Analysis and Optimization in Downlink NOMA Systems With Cooperative Full-Duplex Relaying. IEEE J. Sel. Areas Commun. 2017, 35, 2398–2412. [Google Scholar] [CrossRef]
- Do, D.-T.; Le, A.-T.; Le, C.-B.; Lee, B.M. On Exact Outage and Throughput Performance of Cognitive Radio based Non-Orthogonal Multiple Access Networks With and Without D2D Link. Sensors 2019, 19, 3314. [Google Scholar] [CrossRef] [PubMed]
- Do, D.-T.; Le, A.-T.; Lee, B.-M. On Performance Analysis of Underlay Cognitive Radio-Aware Hybrid OMA/NOMA Networks with Imperfect CSI. Electronics 2019, 8, 819. [Google Scholar] [CrossRef]
- Fang, Z.; Lu, Y.; Shi, J.; Jin, L.; Ji, J. A Non-Orthogonal Multiple Access based Relaying Scheme for Cellular Two-Way Relay Networks. In Proceedings of the International Conference on Information Science and Systems, Tokyo, Japan, 16–17 March 2019; pp. 239–242. [Google Scholar]
- Do, D.-T.; van Nguyen, M.-S. Device-to-device transmission modes in NOMA network with and without Wireless Power Transfer. Comput. Commun. 2019, 139, 67–77. [Google Scholar] [CrossRef]
- Do, D.-T.; Vaezi, M.; Nguyen, T.-L. Wireless Powered Cooperative Relaying using NOMA with Imperfect CSI. In Proceedings of the of IEEE Globecom Workshops (GC Wkshps), Abu Dhabi, UAE, 9–13 December 2018; pp. 1–6. [Google Scholar]
- Nguyen, T.-L.; Do, D.-T. Exploiting Impacts of Intercell Interference on SWIPT-assisted Non-orthogonal Multiple Access. Wirel. Commun. Mob. Comput. 2018, 2018, 2525492. [Google Scholar] [CrossRef]
- Do, D.-T.; Le, A.-T. NOMA based cognitive relaying: Transceiver hardware impairments, relay selection policies and outage performance comparison. Comput. Commun. 2019, 146, 144–154. [Google Scholar] [CrossRef]
- Di, B.; Song, L.; Li, Y.; Han, Z. V2X meets NOMA: Non-orthogonal multiple access for 5G-enabled vehicular networks. IEEE Wirel. Commun. 2018, 24, 14–21. [Google Scholar] [CrossRef]
- Di, B.; Song, L.; Li, Y.; Li, G.Y. Non-orthogonal multiple access for high-reliable and low-latency V2X communications in 5G systems. IEEE J. Sel. Areas Commun. 2017, 35, 2383–2397. [Google Scholar] [CrossRef]
- Di, B.; Song, L.; Li, Y.; Li, G.Y. NOMA-based low-latency and high-reliable broadcast communications for 5G V2X services. In Proceedings of the IEEE GLOBECOM’ 17, Singapore, 4–8 December 2017; pp. 1–6. [Google Scholar]
- Khoueiry, B.W.; Soleymani, M.R. An efficient NOMA V2X communication scheme in the internet of vehicles. In Proceedings of the IEEE 85th Vehicular Technology Conference (VTC Spring), Sydney, NSW, Australia, 4–7 June 2017; pp. 1–7. [Google Scholar]
- Chen, Y.; Wang, L.; Ai, Y.; Jiao, B.; Hanzo, L. Performance analysis of NOMA-SM in vehicle-to-vehicle massive MIMO channels. IEEE J. Sel. Areas Commun. 2017, 35, 2653–2666. [Google Scholar] [CrossRef]
- Liu, G.; Wang, Z.; Hu, J.; Ding, Z.; Fan, P. Cooperative NOMA Broadcasting/Multicasting for Low Latency and High-Reliability 5G Cellular V2X Communications. IEEE Internet Things J. 2019, 6, 7828–7838. [Google Scholar] [CrossRef]
- Guo, S.; Zhou, X. Robust power allocation for NOMA in heterogeneous vehicular communications with imperfect channel estimation. In Proceedings of the IEEE Annu. Int. Symp. PIMRC, Montreal, QC, Canada, 8–13 October 2017; pp. 1–5. [Google Scholar]
- Qian, L.P.; Wu, Y.; Zhou, H.; Shen, X. Dynamic cell association for non-orthogonal multiple-access V2S networks. IEEE J. Sel. Areas Commun. 2017, 35, 2342–2356. [Google Scholar] [CrossRef]
- Yue, X.; Liu, Y.; Kang, S.; Nallanathan, A.; Chen, Y. Modeling and analysis of two-way relay non-orthogonal multiple access systems. IEEE Trans. Commun. 2018, 66, 3784–3796. [Google Scholar] [CrossRef]
- Wang, X.; Jia, M.; Ho, I.W.; Guo, Q.; Lau, F.C.M. Exploiting full-Duplex Two-way relay cooperative Non-Orthogonal multiple access. IEEE Trans. Commun. 2019, 67, 2716–2729. [Google Scholar] [CrossRef]
- Gradshteyn, I.S.; Ryzhik, I.M. Table of Integrals, Series and Products, 6th ed.; Academic Press: New York, NY, USA, 2000. [Google Scholar]








© 2020 by the authors. Licensee MDPI, Basel, Switzerland. This article is an open access article distributed under the terms and conditions of the Creative Commons Attribution (CC BY) license (http://creativecommons.org/licenses/by/4.0/).
Share and Cite
Do, D.-T.; Nguyen, T.-T.T.; Le, C.-B.; Lee, J.W. Two-Way Transmission for Low-Latency and High-Reliability 5G Cellular V2X Communications. Sensors 2020, 20, 386. https://doi.org/10.3390/s20020386
Do D-T, Nguyen T-TT, Le C-B, Lee JW. Two-Way Transmission for Low-Latency and High-Reliability 5G Cellular V2X Communications. Sensors. 2020; 20(2):386. https://doi.org/10.3390/s20020386
Chicago/Turabian StyleDo, Dinh-Thuan, Tu-Trinh Thi Nguyen, Chi-Bao Le, and Jeong Woo Lee. 2020. "Two-Way Transmission for Low-Latency and High-Reliability 5G Cellular V2X Communications" Sensors 20, no. 2: 386. https://doi.org/10.3390/s20020386
APA StyleDo, D.-T., Nguyen, T.-T. T., Le, C.-B., & Lee, J. W. (2020). Two-Way Transmission for Low-Latency and High-Reliability 5G Cellular V2X Communications. Sensors, 20(2), 386. https://doi.org/10.3390/s20020386

