Detection of Small Magnetic Fields Using Serial Magnetic Tunnel Junctions with Various Geometrical Characteristics
Abstract
1. Introduction
2. Experimental Methods
3. Sensitivity and Noise Power
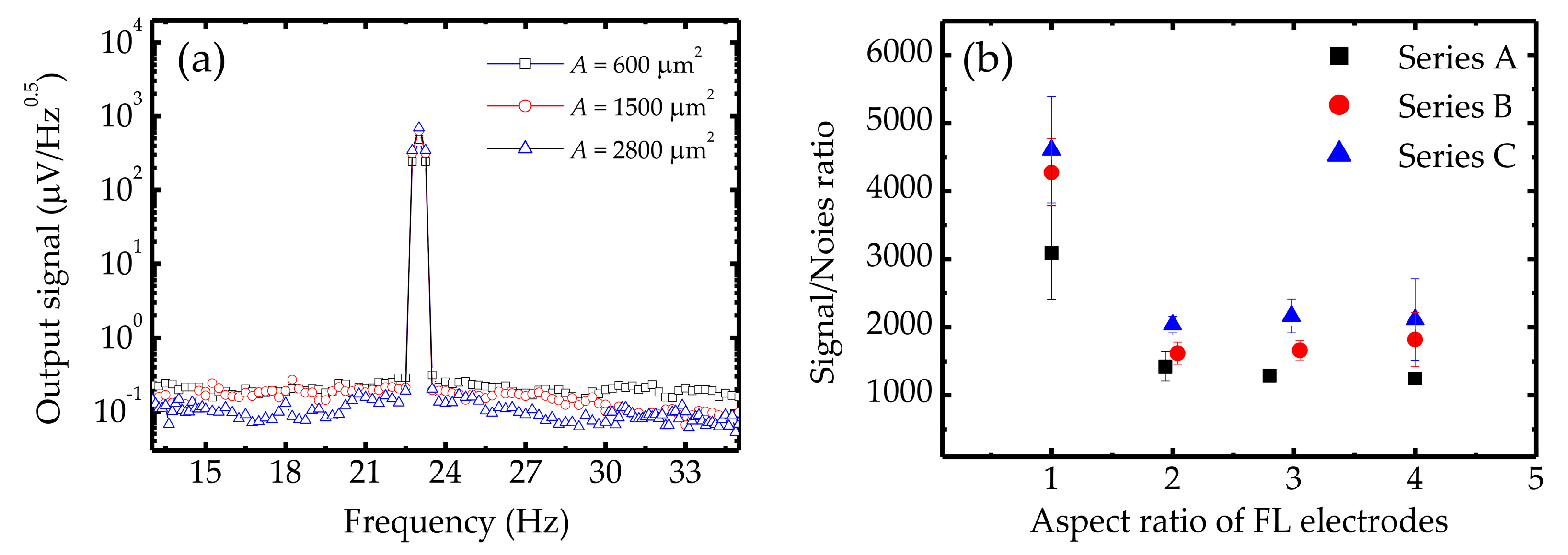
4. Detection of a Certain Low-Frequency Magnetic Field
5. Conclusion
Author Contributions
Funding
Conflicts of Interest
References
- Cohen, D. Magnetoencephalography: Detection of the Brain’s Electrical Activity with a Superconducting Magnetometer. Science 1972, 175, 664–666. [Google Scholar] [CrossRef] [PubMed]
- Stutzke, N.A.; Russek, S.E.; Pappas, D.P.; Tondra, M. Low-frequency noise measurements on commercial magnetoresistive magnetic field sensors. J. Appl. Phys. 2005, 97, 10Q107. [Google Scholar] [CrossRef]
- Tsukada, K.; Yoshioka, M.; Kawasaki, Y.; Kiwa, T. Detection of back-side pit on a ferrous plate by magnetic flux leakage method with analyzing magnetic field vector. NDT E Int. 2010, 43, 323–328. [Google Scholar] [CrossRef]
- Díaz-Michelena, M. Small Magnetic Sensors for Space Applications. Sensors 2009, 9, 2271–2288. [Google Scholar] [CrossRef] [PubMed]
- Popovic, R.S.; Flanagan, J.A.; Besse, P.A. The future of magnetic sensors. Sens. Actuators A Phys. 1996, 56, 39–55. [Google Scholar] [CrossRef]
- Hardner, H.T.; Weissman, M.B.; Salamon, M.B.; Parkin, S.S.P. Fluctuation-dissipation relation for giant magnetoresistive 1/f noise. Phys. Rev. B 1993, 48, 16156–16159. [Google Scholar] [CrossRef] [PubMed]
- Graham, D.L.; Ferreira, H.A.; Freitas, P.P. Magnetoresistive-based biosensors and biochips. Trends Biotechnol. 2004, 22, 455–462. [Google Scholar] [CrossRef]
- García-Martín, J.; Gómez-Gil, J.; Vázquez-Sánchez, E. Non-Destructive Techniques Based on Eddy Current Testing. Sensors 2011, 11, 2525–2565. [Google Scholar] [CrossRef]
- Choi, J.; Gani, A.W.; Bechstein, D.J.B.; Lee, J.-R.; Utz, P.J.; Wang, S.X. Portable, one-step, and rapid GMR biosensor platform with smartphone interface. Biosens. Bioelectron. 2016, 85, 1–7. [Google Scholar] [CrossRef]
- Guedes, A.; Macedo, R.; Jaramillo, G.; Cardoso, S.; Freitas, P.; Horsley, D. Hybrid GMR Sensor Detecting 950 pT/sqrt(Hz) at 1 Hz and Room Temperature. Sensors 2018, 18, 790. [Google Scholar] [CrossRef]
- Mohd Noor Sam, M.A.I.; Jin, Z.; Oogane, M.; Ando, Y. Investigation of a Magnetic Tunnel Junction Based Sensor for the Detection of Defects in Reinforced Concrete at High Lift-Off. Sensors 2019, 19, 4718. [Google Scholar] [CrossRef] [PubMed]
- Freitas, P.P.; Cardoso, F.A.; Martins, V.C.; Martins, S.A.M.; Loureiro, J.; Amaral, J.; Chaves, R.C.; Cardoso, S.; Fonseca, L.P.; Sebastião, A.M.; et al. Spintronic platforms for biomedical applications. Lab Chip 2012, 12, 546–557. [Google Scholar] [CrossRef] [PubMed]
- Pannetier-Lecoeur, M.; Parkkonen, L.; Sergeeva-Chollet, N.; Polovy, H.; Fermon, C.; Fowley, C. Magnetocardiography with sensors based on giant magnetoresistance. Appl. Phys. Lett. 2011, 98, 153705. [Google Scholar] [CrossRef]
- Wang, W.; Sukegawa, H.; Shan, R.; Mitani, S.; Inomata, K. Giant tunneling magnetoresistance up to 330% at room temperature in sputter deposited Co2FeAl/MgO/CoFe magnetic tunnel junctions. Appl. Phys. Lett. 2009, 95, 182502. [Google Scholar] [CrossRef]
- Tezuka, N.; Ikeda, N.; Sugimoto, S.; Inomata, K. Giant Tunnel Magnetoresistance at Room Temperature for Junctions using Full-Heusler Co 2 FeAl 0.5 Si 0.5 Electrodes. Jpn. J. Appl. Phys. 2007, 46, L454–L456. [Google Scholar] [CrossRef]
- Yamamoto, M.; Ishikawa, T.; Taira, T.; Li, G.; Matsuda, K.; Uemura, T. Effect of defects in Heusler alloy thin films on spin-dependent tunnelling characteristics of Co2 MnSi/MgO/Co2 MnSi and Co2 MnGe/MgO/Co2 MnGe magnetic tunnel junctions. J. Phys. Condens. Matter 2010, 22, 164212. [Google Scholar] [CrossRef]
- Chaves, R.C.; Freitas, P.P.; Ocker, B.; Maass, W. MgO based picotesla field sensors. J. Appl. Phys. 2008, 103, 07E931. [Google Scholar] [CrossRef]
- Cardoso, S.; Leitao, D.C.; Gameiro, L.; Cardoso, F.; Ferreira, R.; Paz, E.; Freitas, P.P. Magnetic tunnel junction sensors with pTesla sensitivity. Microsyst. Technol. 2014, 20, 793–802. [Google Scholar] [CrossRef]
- Fujiwara, K.; Oogane, M.; Kou, F.; Watanabe, D.; Naganuma, H.; Ando, Y. Fabrication of Magnetic Tunnel Junctions with a Synthetic Ferrimagnetic Free Layer for Magnetic Field Sensor Applications. Jpn. J. Appl. Phys. 2011, 50, 013001. [Google Scholar] [CrossRef]
- Shah, L.R.; Bhargava, N.; Kim, S.; Stearrett, R.; Kou, X.; Sun, X.; Sun, S.; Kolodzey, J.; Nowak, E.R.; Xiao, J.Q. Magnetic tunneling junction based magnetic field sensors: Role of shape anisotropy versus free layer thickness. J. Appl. Phys. 2011, 109, 07C731. [Google Scholar] [CrossRef]
- Ferreira, R.; Paz, E.; Freitas, P.P.; Wang, J.; Xue, S. Large Area and Low Aspect Ratio Linear Magnetic Tunnel Junctions With a Soft-Pinned Sensing Layer. IEEE Trans. Magn. 2012, 48, 3719–3722. [Google Scholar] [CrossRef]
- Nowak, E.R.; Merithew, R.D.; Weissman, M.B.; Bloom, I.; Parkin, S.S.P. Noise properties of ferromagnetic tunnel junctions. J. Appl. Phys. 1998, 84, 6195–6201. [Google Scholar] [CrossRef]
- Lei, Z.Q.; Li, G.J.; Egelhoff, W.F.; Lai, P.T.; Pong, P.W.T. Review of Noise Sources in Magnetic Tunnel Junction Sensors. IEEE Trans. Magn. 2011, 47, 602–612. [Google Scholar] [CrossRef]
- Guerrero, R.; Pannetier-Lecoeur, M.; Fermon, C.; Cardoso, S.; Ferreira, R.; Freitas, P.P. Low frequency noise in arrays of magnetic tunnel junctions connected in series and parallel. J. Appl. Phys. 2009, 105, 113922. [Google Scholar] [CrossRef]
- Fujiwara, K.; Oogane, M.; Nishikawa, T.; Naganuma, H.; Ando, Y. Detection of Sub-Nano-Tesla Magnetic Field by Integrated Magnetic Tunnel Junctions with Bottom Synthetic Antiferro-Coupled Free Layer. Jpn J. Appl. Phys. 2013, 52, 04CM07. [Google Scholar] [CrossRef]
- Guo, D.W.; Cardoso, F.A.; Ferreira, R.; Paz, E.; Cardoso, S.; Freitas, P.P. MgO-based magnetic tunnel junction sensors array for non-destructive testing applications. J. Appl. Phys. 2014, 115, 17E513. [Google Scholar] [CrossRef]
- Ikeda, S.; Hayakawa, J.; Ashizawa, Y.; Lee, Y.M.; Miura, K.; Hasegawa, H.; Tsunoda, M.; Matsukura, F.; Ohno, H. Tunnel magnetoresistance of 604% at 300K by suppression of Ta diffusion in CoFeB/MgO/CoFeB pseudo-spin-valves annealed at high temperature. Appl. Phys. Lett. 2008, 93, 082508. [Google Scholar] [CrossRef]
- Djayaprawira, D.D.; Tsunekawa, K.; Nagai, M.; Maehara, H.; Yamagata, S.; Watanabe, N.; Yuasa, S.; Suzuki, Y.; Ando, K. 230% room-temperature magnetoresistance in CoFeB/MgO/CoFeB magnetic tunnel junctions. Appl. Phys. Lett. 2005, 86, 092502. [Google Scholar] [CrossRef]
- Fujiwara, K.; Oogane, M.; Yokota, S.; Nishikawa, T.; Naganuma, H.; Ando, Y. Fabrication of magnetic tunnel junctions with a bottom synthetic antiferro-coupled free layers for high sensitive magnetic field sensor devices. J. Appl. Phys. 2012, 111, 07C710. [Google Scholar] [CrossRef]
- Lu, Y.; Altman, R.A.; Marley, A.; Rishton, S.A.; Trouilloud, P.L.; Xiao, G.; Gallagher, W.J.; Parkin, S.S.P. Shape-anisotropy-controlled magnetoresistive response in magnetic tunnel junctions. Appl. Phys. Lett. 1997, 70, 2610–2612. [Google Scholar] [CrossRef]
- Koop, H.; Brückl, H.; Meyners, D.; Reiss, G. Shape dependence of the magnetization reversal in sub-μm magnetic tunnel junctions. J. Magn. Magn. Mater. 2004, 272–276, E1475–E1476. [Google Scholar] [CrossRef]
- Scola, J.; Polovy, H.; Fermon, C.; Pannetier-Lecœur, M.; Feng, G.; Fahy, K.; Coey, J.M.D. Noise in MgO barrier magnetic tunnel junctions with CoFeB electrodes: Influence of annealing temperature. Appl. Phys. Lett. 2007, 90, 252501. [Google Scholar] [CrossRef]
- Egelhoff, W.F.; Pong, P.W.T.; Unguris, J.; McMichael, R.D.; Nowak, E.R.; Edelstein, A.S.; Burnette, J.E.; Fischer, G.A. Critical challenges for picoTesla magnetic-tunnel-junction sensors. Sens. Actuators A Phys. 2009, 155, 217–225. [Google Scholar] [CrossRef]
- Ozbay, A.; Gokce, A.; Flanagan, T.; Stearrett, R.A.; Nowak, E.R.; Nordman, C. Low frequency magnetoresistive noise in spin-valve structures. Appl. Phys. Lett. 2009, 94, 202506. [Google Scholar] [CrossRef]
- Jiang, L.; Nowak, E.R.; Scott, P.E.; Johnson, J.; Slaughter, J.M.; Sun, J.J.; Dave, R.W. Low-frequency magnetic and resistance noise in magnetic tunnel junctions. Phys. Rev. B 2004, 69, 054407. [Google Scholar] [CrossRef]






| Sensor | Free Layer Pattern (FL Electrode) Area (Unit: μm) (Junction Area) | |||
|---|---|---|---|---|
| Series A sensors | ||||
| Series B sensors | ||||
| Series C sensors | ||||
© 2020 by the authors. Licensee MDPI, Basel, Switzerland. This article is an open access article distributed under the terms and conditions of the Creative Commons Attribution (CC BY) license (http://creativecommons.org/licenses/by/4.0/).
Share and Cite
Jin, Z.; Wang, Y.; Fujiwara, K.; Oogane, M.; Ando, Y. Detection of Small Magnetic Fields Using Serial Magnetic Tunnel Junctions with Various Geometrical Characteristics. Sensors 2020, 20, 5704. https://doi.org/10.3390/s20195704
Jin Z, Wang Y, Fujiwara K, Oogane M, Ando Y. Detection of Small Magnetic Fields Using Serial Magnetic Tunnel Junctions with Various Geometrical Characteristics. Sensors. 2020; 20(19):5704. https://doi.org/10.3390/s20195704
Chicago/Turabian StyleJin, Zhenhu, Yupeng Wang, Kosuke Fujiwara, Mikihiko Oogane, and Yasuo Ando. 2020. "Detection of Small Magnetic Fields Using Serial Magnetic Tunnel Junctions with Various Geometrical Characteristics" Sensors 20, no. 19: 5704. https://doi.org/10.3390/s20195704
APA StyleJin, Z., Wang, Y., Fujiwara, K., Oogane, M., & Ando, Y. (2020). Detection of Small Magnetic Fields Using Serial Magnetic Tunnel Junctions with Various Geometrical Characteristics. Sensors, 20(19), 5704. https://doi.org/10.3390/s20195704

