Quantitative Measurement and Evaluation of Red Blood Cell Aggregation in Normal Blood Based on a Modified Hanai Equation
Abstract
1. Introduction
2. Materials and Methods
2.1. Blood Samples
2.2. Experimental Condition
2.3. Experimental Condition
3. Results
3.1. Experimental Setup
3.2. Impedance of the Pulsatile Blood Flow
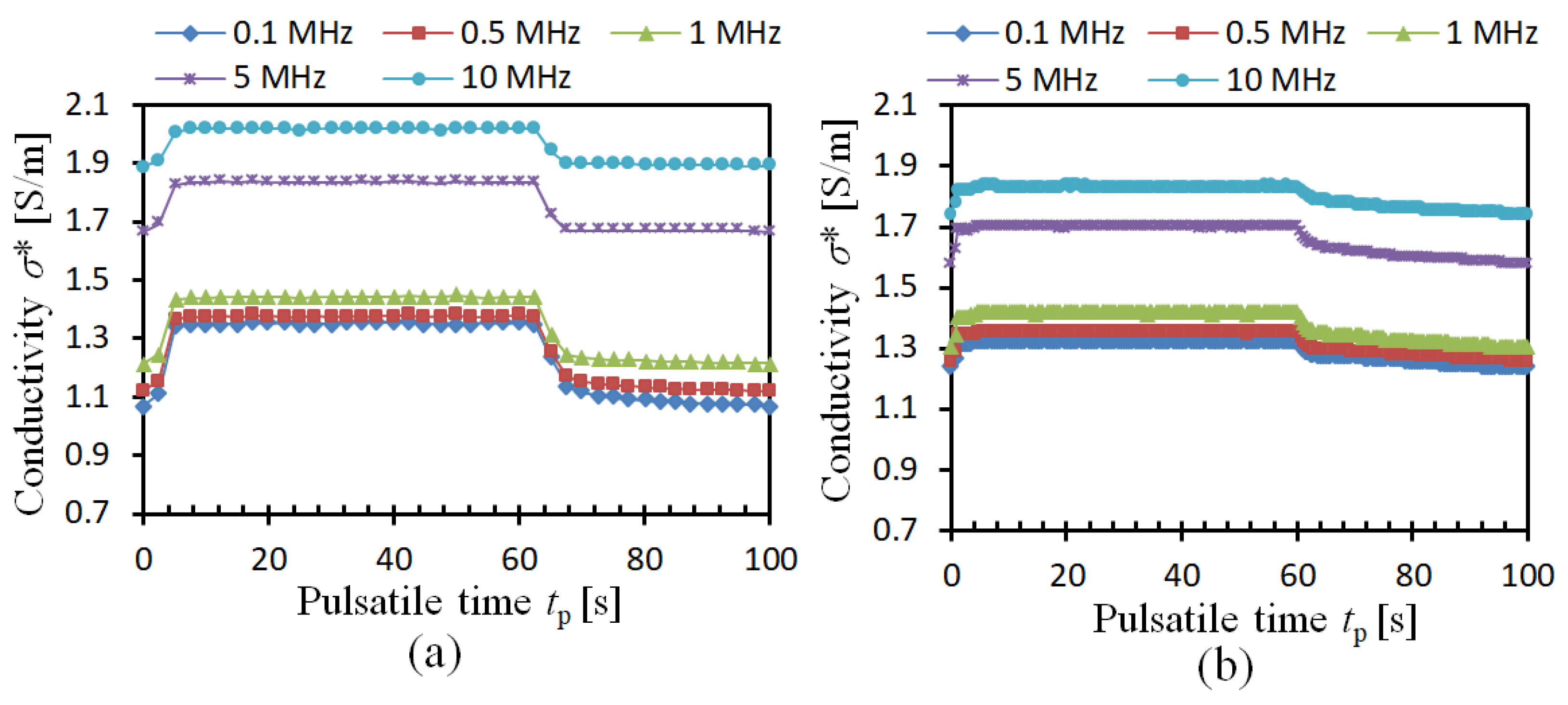
3.3. Conductivity of the Pulsatile Blood Flow
3.4. Relaxation Frequency of Pulsatile Blood Flow
4. Discussion
4.1. Modified Hanai Equation
4.2. Shear Rate of the Pulsatile Flow
4.3. Quantitative Calculation of RBC Aggregation
5. Conclusions
Author Contributions
Funding
Conflicts of Interest
References
- World Health Organization. Hearts: Technical Package for Cardiovascular Disease Management in Primary Health Care; World Health Organization: Geneva, Switzerland, 2016. [Google Scholar]
- Chien, S. Red cell deformability and its relevance to blood flow. Annu. Rev. Physiol. 1987, 49, 177–192. [Google Scholar] [CrossRef] [PubMed]
- Pop, G.A.; Bisschops, L.L.; Iliev, B.; Struijk, P.C.; van der Hoeven, J.G.; Hoedemaekers, C.W. On-line blood viscosity monitoring in vivo with a central venous catheter, using electrical impedance technique. Biosens. Bioelectron. 2013, 41, 595–601. [Google Scholar] [CrossRef] [PubMed]
- Richardson, P.D. Effect of blood flow velocity on growth rate of platelet thrombi. Nature 1973, 245, 103–104. [Google Scholar] [CrossRef] [PubMed]
- Jain, A.; Graveline, A.; Waterhouse, A.; Vernet, A.; Flaumenhaft, R.; Ingber, D.E. A shear gradient-activated microfluidic device for automated monitoring of whole blood haemostasis and platelet function. Nat. Commun. 2016, 7, 10176. [Google Scholar] [CrossRef] [PubMed]
- Lee, H.Y.; Barber, C.; Rogers, J.A.; Minerick, A.R. Electrochemical hematocrit determination in a direct current microfluidic device. Electrophoresis 2015, 36, 978–985. [Google Scholar] [CrossRef] [PubMed]
- Li, S.; Collins, A.J. Association of hematocrit value with cardiovascular morbidity and mortality in incident hemodialysis patients. Kidney Int. 2004, 65, 626–633. [Google Scholar] [CrossRef] [PubMed]
- Guo, Q.; Duffy, S.P.; Matthews, K.; Deng, X.; Santoso, A.T.; Islamzada, E.; Ma, H. Deformability based sorting of RBCs improves diagnostic sensitivity for malaria caused by Plasmodium falciparum. Lab Chip 2016, 16, 645–654. [Google Scholar] [CrossRef] [PubMed]
- Tatsumi, K.; Katsumoto, Y.; Fujiwara, R.; Nakabe, K. Numerical and Experimental Study on the Development of Electric Sensor as for Measurement of Red Blood Cell Deformability in Microchannels. Sensors 2012, 12, 10566–10583. [Google Scholar] [CrossRef] [PubMed]
- Pribush, A.; Meyerstein, D.; Meyerstein, N. The mechanism of erythrocyte sedimentation. Part 1: Channeling in sedimenting blood. Colloids Surf. B Biointerfaces 2010, 75, 214–223. [Google Scholar] [CrossRef] [PubMed]
- Kang, Y.J. Microfluidic-Based Measurement Method of Red Blood Cell Aggregation under Hematocrit Variations. Sensors 2017, 17, 2037. [Google Scholar] [CrossRef] [PubMed]
- Yeom, E.; Lee, S.J. Microfluidic-based speckle analysis for sensitive measurement of erythrocyte aggregation: A comparison of four methods for detection of elevated erythrocyte aggregation in diabetic rat blood. Biomicrofluidics 2015, 9, 024110. [Google Scholar] [CrossRef] [PubMed]
- Li, J.; Sapkota, A.; Kikuchi, D.; Sakota, D.; Maruyama, O.; Takei, M. RBCs aggregability measurement of coagulating blood in extracorporeal circulation system with multiple-frequency electrical impedance spectroscopy. Biosens. Bioelectron. 2018, 112, 79–85. [Google Scholar] [CrossRef] [PubMed]
- Kaliviotis, E.; Sherwood, J.M.; Balabani, S. Partitioning of RBC aggregates in bifurcating microscale flows. Sci. Rep. 2017, 7, 44563. [Google Scholar] [CrossRef] [PubMed]
- Fu, Y.; Guo, J. Blood Cholesterol Monitoring With Smartphone as Miniaturized Electrochemical Analyzer for Cardiovascular Disease Prevention. IEEE T. Biomed. Circuits Syst. 2018, 12, 784–790. [Google Scholar] [CrossRef] [PubMed]
- Yao, J.; Sugawara, M.; Obara, H.; Mizutani, T.; Takei, M. Distinct Motion of GFP-Tagged Histone Expressing Cells Under AC Electrokinetics in Electrode-Multilayered Microfluidic Device. IEEE Trans. Biomed. Circuits Syst. 2017, 11, 1450–1458. [Google Scholar] [CrossRef] [PubMed]
- Zhang, J.; Yuan, D.; Sluyter, R.; Yan, S.; Zhao, Q.; Xia, H.; Tan, S.; Nguyen, N.; Li, W. High-throughput separation of white blood cells from whole blood using inertial microfluidics. IEEE Trans. Biomed. Circuits Syst. 2017, 11, 1422–1430. [Google Scholar] [CrossRef] [PubMed]
- Bauersachs, R.M.; Shaw, S.; Zeidler, A.; Meiselman, H.J. Hemorheological findings in uncontrolled type II diabetes mellitus: Effects of acute insulin therapy. Clin. Hemorheol. 1987, 7, 432. [Google Scholar]
- Baskurt, O.K.; Temiz, A.; Meiselman, H.J. RBC aggregation in experimental sepsis. J. Lab. Clin. Med. 1997, 130, 183–190. [Google Scholar] [CrossRef]
- Rainer, C.; Kawanishi, D.T.; Chandraratna, P.A.N.; Bauersachs, R.M.; Reid, C.L.; Rahimtoola, S.H.; Meiselman, H.J. Changes in blood rheology in patients with stable angina pectoris as a result of coronary artery disease. Circulation 1987, 76, 15–20. [Google Scholar] [CrossRef] [PubMed]
- Shin, S.; Hou, J.X.; Suh, J.S. Measurement of cell aggregation characteristics by analysis of laser-backscattering in a microfluidic rheometry. Korea-Aust. Rheol. J. 2007, 19, 61–66. [Google Scholar]
- Shin, S.; Park, M.S.; Ku, Y.H.; Suh, J.S. Shear-dependent aggregation characteristics of RBCs in a pressure-driven microfluidic channel. Clin. Hemorheol. Microcirc. 2006, 34, 353–361. [Google Scholar] [PubMed]
- Kavitha, A.; Ramakrishnan, S. Assessment of human RBC aggregation using image processing and wavelets. Meas. Sci. Rev. 2007, 7, 43–51. [Google Scholar]
- Bozzo, J.; Hernandez, M.R.; Del Giorgio, A.; Ordinas, A. RBC aggregability is increased by aspirin and flow stress, whereas dipyridamole induces cell shape alterations: Measurements by digital image analysis. Eur. J. Clin. Investig. 1996, 26, 747–754. [Google Scholar] [CrossRef]
- Savéry, D.; Cloutier, G. A point process approach to assess the frequency dependence of ultrasound backscattering by aggregating RBCs. J. Acoust. Soc. Am. 2001, 11, 3252–3262. [Google Scholar] [CrossRef]
- Gyawali, P.; Ziegler, D.; Cailhier, J.F.; Denault, A.; Cloutier, G. Quantitative Measurement of Erythrocyte Aggregation as a Systemic Inflammatory Marker by Ultrasound Imaging: A Systematic Review. Ultrasound Med. Biol. 2018, 4, 1303–1317. [Google Scholar] [CrossRef] [PubMed]
- Yeom, E.; Nam, K.H.; Paeng, D.G.; Lee, S.J. Effects of RBC aggregates dissociation on the estimation of ultrasound speckle image velocimetry. Ultrasonics 2014, 54, 1480–1487. [Google Scholar] [CrossRef] [PubMed]
- Zhbanov, A.; Yang, S. Effect of erythrocyte sedimentation and aggregation on the conductivity of blood in a miniature chamber. In Proceedings of the Sixth International Conference on Quantum, Nano and Micro Technologies, Los Alamitos, CA, USA, 19–24 August 2012. [Google Scholar]
- Zhbanov, A.; Yang, S. Effects of aggregation on blood sedimentation and conductivity. PLoS ONE 2015, 10, e0129337. [Google Scholar] [CrossRef] [PubMed]
- Kaliviotis, E.; Ivanov, I.; Antonova, N.; Yianneskis, M. Erythrocyte aggregation at non-steady flow conditions: A comparison of characteristics measured with electrorheology and image analysis. Clin. Hemorheol. Microcirc. 2010, 44, 43–54. [Google Scholar] [PubMed]
- Baskurt, O.K.; Mehmet, U.; Meiselman, H.J. Time course of electrical impedance during red blood cell aggregation in a glass tube: Comparison with light transmittance. IEEE Trans. Biomed. Eng. 2010, 57, 969–978. [Google Scholar] [CrossRef] [PubMed]
- Başkurt, O.K.; Bor-Küçükatay, M.; Yalçın, Ö. The effect of red blood cell aggregation on blood flow resistance. Biorheology 1999, 36, 447–452. [Google Scholar] [PubMed]
- Asami, K. Characterization of heterogeneous systems by dielectric spectroscopy. Prog. Polym. Sci. 2002, 27, 1617–1659. [Google Scholar] [CrossRef]
- Bitbol, M.; Quemada, D. Measurement of erythrocyte orientation in flow by spin labeling. Biorheology 1985, 22, 31–42. [Google Scholar] [CrossRef] [PubMed]
- Zamir, M. The Physics of Pulsatile Flow; Springer: New York, NY, USA, 2000; pp. 1–112. [Google Scholar]







© 2019 by the authors. Licensee MDPI, Basel, Switzerland. This article is an open access article distributed under the terms and conditions of the Creative Commons Attribution (CC BY) license (http://creativecommons.org/licenses/by/4.0/).
Share and Cite
Wen, J.; Wan, N.; Bao, H.; Li, J. Quantitative Measurement and Evaluation of Red Blood Cell Aggregation in Normal Blood Based on a Modified Hanai Equation. Sensors 2019, 19, 1095. https://doi.org/10.3390/s19051095
Wen J, Wan N, Bao H, Li J. Quantitative Measurement and Evaluation of Red Blood Cell Aggregation in Normal Blood Based on a Modified Hanai Equation. Sensors. 2019; 19(5):1095. https://doi.org/10.3390/s19051095
Chicago/Turabian StyleWen, Jianming, Nen Wan, Huilu Bao, and Jianping Li. 2019. "Quantitative Measurement and Evaluation of Red Blood Cell Aggregation in Normal Blood Based on a Modified Hanai Equation" Sensors 19, no. 5: 1095. https://doi.org/10.3390/s19051095
APA StyleWen, J., Wan, N., Bao, H., & Li, J. (2019). Quantitative Measurement and Evaluation of Red Blood Cell Aggregation in Normal Blood Based on a Modified Hanai Equation. Sensors, 19(5), 1095. https://doi.org/10.3390/s19051095

