Microstrip Patch Strain Sensor Miniaturization Using Sierpinski Curve Fractal Geometry
Abstract
:1. Introduction
- use of high permittivity laminates,
- introduction of various slots in the ground plane,
- change and optimization of patch shape.
2. Sensor Design
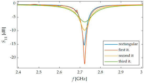
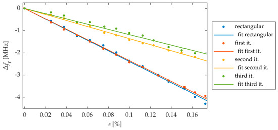
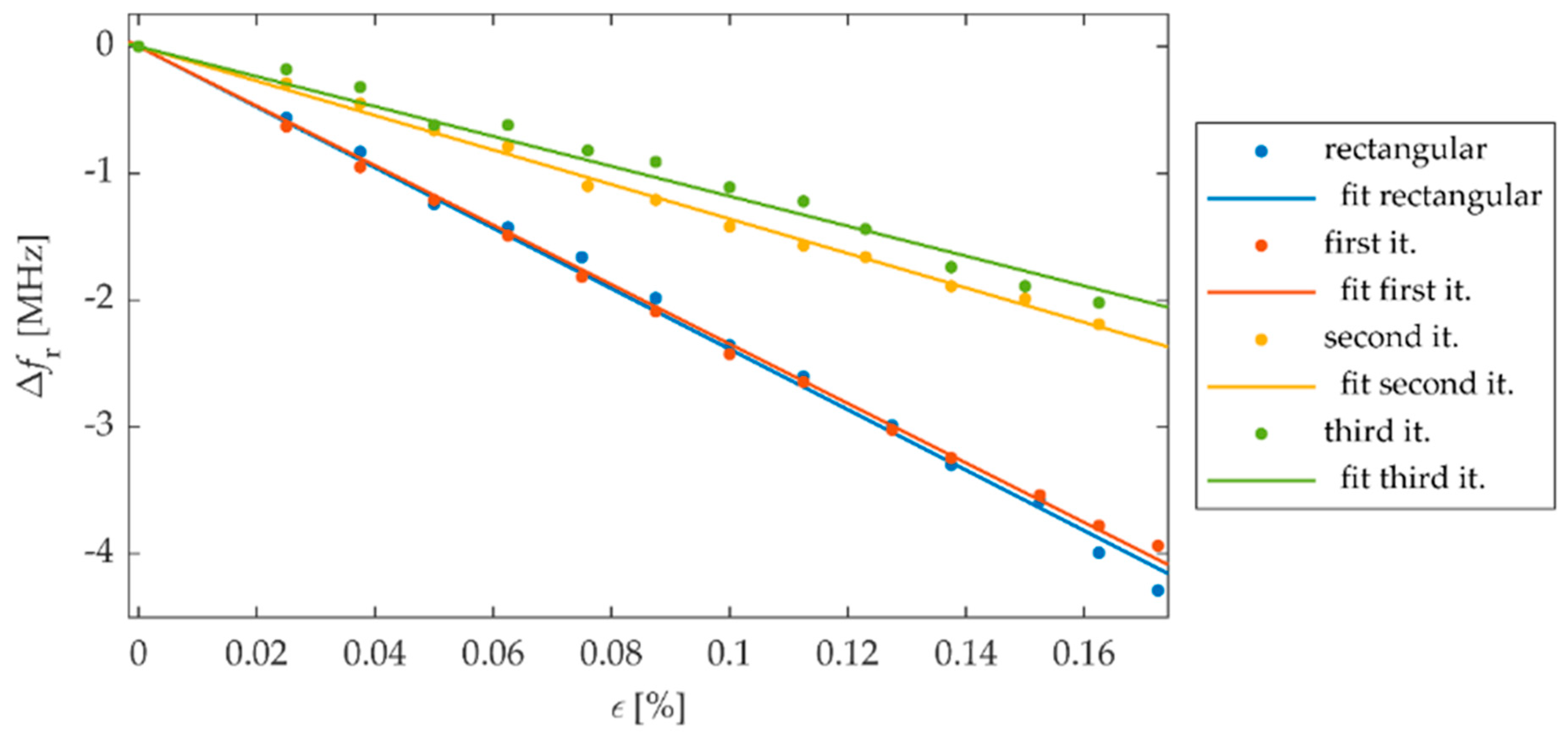
3. Numerical Analysis
4. Experimental Analysis
5. Conclusions
Author Contributions
Acknowledgments
Conflicts of Interest
References
- Klikowicz, P.; Salamak, M.; Poprawa, G. Structural health monitoring of urban structures. Procedia Eng. 2016, 161, 958–962. [Google Scholar] [CrossRef]
- Comisu, C.C.; Taranu, N.; Boaca, G.; Scutaru, M.C. Structural health monitoring system of bridges. Procedia Eng. 2017, 199, 2054–2059. [Google Scholar] [CrossRef]
- Surhone, L.M. Strain Gauge: Edward E. Simmons, Arthur Claude Ruge, Cyanoacrylate, Electrical Resistance, Wheatstone Bridge, Electrical Conductance, Electrical Conductivity; Betascript Publishing: Beau Bassin, Mauritius, 2010; ISBN 10: 613033124X. [Google Scholar]
- Zeiser, R.; Fellner, T.; Wilde, J. Capacitive strain gauges on flexible polymer substrates for wireless. intelligent systems. J. Sens. Sens. Syst. 2014, 3, 77–86. [Google Scholar] [CrossRef]
- Seung-Rok, K.; Jin-Hoon, K.; Jin-Woo, P. Wearable and Transparent Capacitive Strain Sensor with High Sensitivity Based on Patterned Ag Nanowire Networks. ACS Appl. Mater. Interfaces 2017, 9, 26407–26416. [Google Scholar]
- Matsuzaki, R.; Todoroki, A. Wireless flexible capacitive sensor based on ultra-flexible epoxy resin for strain measurement of automobile tires. Sens. Actuators A 2007, 140, 32–42. [Google Scholar] [CrossRef]
- Sun, Y.; Thompson, S.E.; Nishida, T. Strain Effect in Semiconductors, Theory and Device Applications; Springer: New York, NY, USA, 2010; ISBN 978-1-4419-0552-9. [Google Scholar]
- Kulha, P.; Enser, H.; Sell, J.K.; Strauß, B.; Schatzl-Linder, M.; Jakoby, B.; Hilber, W. Temperature Dependence of Gauge Factor of Printed Piezoresistive Layers Embedded in Organic Coatings. Proceedings 2017, 1, 618. [Google Scholar] [CrossRef]
- Li, M.; Cheng, W.; Chen, J.; Xie, R.; Li, X. A High Performance Piezoelectric Sensor for Dynamic Force Monitoring of Landslide. Sensors 2017, 17, 394. [Google Scholar] [CrossRef]
- Islam, M.N.; Seethaler, R.; Alam, M.S. Characterization of piezoelectric materials for simultaneous strain and temperature sensing for ultra-low frequency applications. Smart Mater. Struct. 2015, 24, 085019. [Google Scholar] [CrossRef]
- Szymanik, B.; Psuj, G.; Lopato, P.; Maciusowicz, M.; Herbko, M. Multimodal fatigue progress monitoring of construction steel elements. Arch. QIRT 2016, 2016, 297–305. [Google Scholar]
- Maciusowicz, M.; Psuj, G. Use of Time-Dependent Multispectral Representation of Magnetic Barkhausen Noise Signals for the Needs of Non-Destructive Evaluation of Steel Materials. Sensors 2019, 19, 1443. [Google Scholar] [CrossRef]
- Ramakrishnan, M.; Rajan, G.; Semenova, Y.; Farrell, G. Overview of Fiber Optic Sensor Technologies for Strain/Temperature Sensing Applications in Composite Materials. Sensors 2016, 16, 99. [Google Scholar] [CrossRef] [PubMed]
- Lopato, P.; Herbko, M. A Circular Microstrip Antenna Sensor for Direction Sensitive Strain Evaluation. Sensors 2018, 18, 310. [Google Scholar] [CrossRef] [PubMed]
- Daliri, A.; Galehdar, A.; Rowe, W.S.; Ghorbani, K.; John, S. Utilising microstrip patch antenna strain sensors for structural health monitoring. J. Intel. Mat. Syst. Struct. 2011, 23, 169–182. [Google Scholar] [CrossRef]
- Wang, W.; Ge, H.; Liu, T.; Liu, M. Study of Patch Antennas for Strain Measurement. Electromagn. Nondestruct. Eval. (XVIII) 2015, 40, 313–321. [Google Scholar]
- Sharama, N.; Thakare, V.V. Analysis of microstrip rectangular patch antenna as a strain sensor. Int. J. Res. Elect. Commun. Technol. 2015, 2, 17–19. [Google Scholar]
- Huang, H. Flexible wireless antenna sensor: A review. IEEE Sens. J. 2013, 13, 3865–3872. [Google Scholar] [CrossRef]
- Daliri, A.; Galehdar, A.; John, S.; Rowe, W.S.T.; Ghorbani, K. Slotted circular microstrip antenna application in strain based structural health monitoring. In Proceedings of the 14th Australian International Aerospace Congress, Melbourne, Australia, 28 February–3 March 2011. [Google Scholar]
- Daliri, A.; Wang, C.H.; John, S.; Galehdar, A.; Rowe, W.S.T.; Ghorbani, K. Multidirectional circular microstrip patch antenna strain sensor. In Proceedings of the ASME 2011 Conference on Smart Materials, Adaptive Structures and Intelligent Systems, Scottsdale, AZ, USA, 18–21 September 2011. [Google Scholar]
- Daliri, A.; Galehdar, A.; Rowe, W.S.T.; John, S.; Wang, C.H.; Ghorbani, K. Quality factor effect on the wireless range of microstrip patch antenna strain sensors. Sensors 2014, 14, 595–605. [Google Scholar] [CrossRef]
- Benchirouf, A.; Zichner, R.; Muller, C.; Kanoun, O. Electromagnetic simulation of flexible strain sensor based microstrip patch antenna. Int. J. Microw. Opt. Technol. 2015, 10, 397–401. [Google Scholar]
- Tata, U.; Huang, H.; Carter, R.L.; Chiao, J.C. Exploiting a patch antenna for strain measurements. Meas. Sci. Technol. 2008, 20, 015201. [Google Scholar] [CrossRef]
- Lopato, P.; Herbko, M. Microwave structural health monitoring sensor for deformation measurement of bended steel structures: Influence of curvature effect. Radioengineering 2017, 26, 1060–1066. [Google Scholar] [CrossRef]
- Herbko, M.; Lopato, P. Sensitivity Analysis of Circular Microstrip Strain Sensor. In Proceedings of the 2019 International Interdisciplinary PhD Workshop (IIPhDW), Wismar, Germany, 15–17 May 2019. [Google Scholar]
- Chakaravarthi, G.; Logakannan, K.P.; Philip, J.; Rengaswamy, J.; Ramachandran, V.; Arunachalam, K. Reusable Passive Wireless RFID Sensor for Strain Measurement on Metals. IEEE Sens. J. 2018, 18, 5143–5150. [Google Scholar] [CrossRef]
- Yi, X.; Wu, T.; Wang, Y.; Tentzeris, M.M. Sensitivity Modeling of an RFID-Based Strain-Sensing Antenna With Dielectric Constant Change. IEEE Sens. J. 2015, 15, 6147–6155. [Google Scholar] [CrossRef]
- Lopato, P.; Herbko, M. Analysis of rectangular microstrip strain sensor. Weld Technol. Rev. 2017, 89, 37–41. [Google Scholar]
- Yao, J.; Tjuatja, S.; Huang, H. A compact FMCW interrogator of microstrip antenna for foot pressure sensing. In Proceedings of the Electromagnetic Research Symposium (PIERS), Shanghai, China, 8–11 August 2016. [Google Scholar]
- Yao, J.; Tjuatja, S.; Huang, H. Real-time vibratory strain sensing using passive wireless antenna sensor. IEEE Sens. J. 2015, 15, 4338–4345. [Google Scholar] [CrossRef]
- Boccard, J.-M.; Aftab, T.; Hoppe, J.; Yousaf, A.; Hütter, R.; Reindl, L.M. High-resolution, far-field, and passive temperature sensing up to 700 °C using an isolated ZST microwave dielectric resonator. IEEE Sens. J. 2016, 16, 715–722. [Google Scholar] [CrossRef]
- Cheng, H.; Ebadi, S.; Gong, X. A low-profile wireless passive temperature sensor using resonator/antenna integration up to 1000 °C. IEEE Antennas Wirel. Propag. Lett. 2012, 11, 369–372. [Google Scholar]
- Girbau, D.; Ramos, A.; Lázaro, A.; Rima, S.; Villarino, R. Passive wireless temperature sensor based on time-coded UWB chipless RFID tags. IEEE Trans. Microw. Theory Tech. 2012, 60, 3623–3632. [Google Scholar] [CrossRef]
- Yao, J.; Tchafa, F.M.; Jain, A.; Tjuatja, S.; Huang, H. Far-field interrogation of microstrip patch antenna for temperature sensing without electronics. IEEE Sens. J. 2016, 16, 7053–7060. [Google Scholar] [CrossRef]
- Reed, S.; Desclos, L.; Terret, C.; Toutain, S. Patch antenna size reduction by means of inductive slots. Microw. Opt. Technol. Lett. 2000, 29, 79–81. [Google Scholar] [CrossRef]
- Reha, A.; El Amri, A.; Bouchouirbat, M. The Behaviour of CPW-Fed Sierpinski Curve Fractal Antenna. J. Microw. Optoelectron. Electromagn. Appl. 2018, 17, 366–372. [Google Scholar] [CrossRef]
- Ghatak, R.; Poddar, D.R.; Mishra, R.K. Design of Sierpinski gasket fractal microstrip antenna using real coded genetic algorithm. IET Microw. Antennas Propag. 2009, 3, 1133–1140. [Google Scholar] [CrossRef]
- Sivia, J.S.; Singh, A.; Kamal, T.S. Design of Sierpinski Carpet Fractal Antenna using Artificial Neural Networks. Int. J. Comput. Appl. Technol. 2013, 68, 5–10. [Google Scholar]
- Balanis, C.A. Antenna Theory: Analysis and Design, 3rd ed.; John Wiley & Sons: Hoboken, NJ, USA, 2005; pp. 811–882. ISBN 978-1-119-09493-7. [Google Scholar]











| Patch Shape | fr [GHz] | Δfr ε=0.1% [MHz] | Type of Deformation |
|---|---|---|---|
| Rectangular patch feed by microstrip line [23] | 17.7 | 14.3 | Non-planar (bending) |
| Rectangular patch feed by microstrip line [28] | 0.5–15 | 0.5–15.1 | Planar |
| Circular patch feed by microstrip line— first resonant frequency [14] | 2.5 | 2.3 | Planar |
| Circular patch feed by microstrip line— second resonant frequency [14] | 4.3 | 1.2 | Planar |
| Circular patch feed by microstrip line [25] | 0.5–5 | 0.5–4.8 | Planar |
| Slotted patch feed by coaxial probe [19] | 3.4 | 3.1 | Non-planar (bending) |
| Patch Shape | Δfr ε=0.1% [MHz]—Feed by Microstrip Line | Δfr ε=0.1% [MHz]—Feed without Microstrip Line |
|---|---|---|
| Rectangular | −2.59 | −2.63 |
| First iteration of Sierpinski curve fractal | −2.17 | −2.13 |
| Second iteration of Sierpinski curve fractal | −1.42 | −1.45 |
| Third iteration of Sierpinski curve fractal | −1.15 | −1.2 |
| Patch Shape | Resonator Size [mm2] | Δfr ε=0.1% [MHz]—Simulation | Δfr ε=0.1% [MHz]—Measurement |
|---|---|---|---|
| Rectangular | 832.28 | −2.59 | −2.39 |
| First iteration of Sierpinski curve fractal | 778.24 | −2.17 | −2.35 |
| Second iteration of Sierpinski curve fractal | 333.54 | −1.42 | −1.36 |
| Third iteration of Sierpinski curve fractal | 184.59 | −1.15 | −1.18 |
© 2019 by the authors. Licensee MDPI, Basel, Switzerland. This article is an open access article distributed under the terms and conditions of the Creative Commons Attribution (CC BY) license (http://creativecommons.org/licenses/by/4.0/).
Share and Cite
Herbko, M.; Lopato, P. Microstrip Patch Strain Sensor Miniaturization Using Sierpinski Curve Fractal Geometry. Sensors 2019, 19, 3989. https://doi.org/10.3390/s19183989
Herbko M, Lopato P. Microstrip Patch Strain Sensor Miniaturization Using Sierpinski Curve Fractal Geometry. Sensors. 2019; 19(18):3989. https://doi.org/10.3390/s19183989
Chicago/Turabian StyleHerbko, Michal, and Przemyslaw Lopato. 2019. "Microstrip Patch Strain Sensor Miniaturization Using Sierpinski Curve Fractal Geometry" Sensors 19, no. 18: 3989. https://doi.org/10.3390/s19183989
APA StyleHerbko, M., & Lopato, P. (2019). Microstrip Patch Strain Sensor Miniaturization Using Sierpinski Curve Fractal Geometry. Sensors, 19(18), 3989. https://doi.org/10.3390/s19183989

