Next Article in Journal
Estimating the Vertical Structure of Weather-Induced Mission Costs for Small UAS
Next Article in Special Issue
Wireless Readout of Multiple SAW Temperature Sensors
Previous Article in Journal
Evaluation of Machine Learning Algorithms for Surface Water Extraction in a Landsat 8 Scene of Nepal
Previous Article in Special Issue
Design and Simulation of a Wireless SAW–Pirani Sensor with Extended Range and Sensitivity
 
 
Font Type:
Arial Georgia Verdana
Font Size:
Aa Aa Aa
Line Spacing:
Column Width:
Background:
Article

SAW Torque Sensor Gyroscopic Effect Compensation by Least Squares Support Vector Machine Algorithm Based on Chaos Estimation of Distributed Algorithm

Nanjing University of Science and Technology, School of Mechanical Engineering, 200 Xiaolingwei, 210094 Nanjing, China
*
Author to whom correspondence should be addressed.
Sensors 2019, 19(12), 2768; https://doi.org/10.3390/s19122768
Submission received: 6 May 2019 / Revised: 5 June 2019 / Accepted: 18 June 2019 / Published: 20 June 2019
(This article belongs to the Special Issue Advances in Surface Acoustic Wave Sensors)

Abstract

:
As this study examined the issue of surface acoustic wave (SAW) torque sensor which interfered in high rotational speed, the gyroscopic effect generated by rotation was analyzed. Firstly, the SAW coupled equations which contained torque and rotation loads were deduced, and the torque calculation error caused by rotation was solved. Following this, the hardware of the SAW gyroscopic effect testing platform and the turntable experiment were designed to verify the correctness of the theoretical calculation. Finally, according to the experimental data, the gyroscopic effect was compensated by multivariate polynomial fitting (MPF), Gaussian processes regression (GPR), and least squares support vector machine algorithms (LSSVM). The comparison results showed that the LSSVM has the obvious advantage. For improving the function of LSSVM model, chaos estimation of distributed algorithm (CEDA) was proposed to optimize the super parameters of the LSSVM, and numerical simulation results showed that: (1) CEDA is superior to traditional estimation of distributed algorithms in convergence speed and anti-premature ability; (2) the performance of CEDA-LSSVM is better than genetic algorithms (GA)-LSSVM and particle swarm optimization (PSO)-LSSVM. After compensating by CEDA-LSSVM, the magnitude of the torque calculation relative error was 10−4 in any direction. This method has a significant effect on reducing gyroscopic interference, and it lays a foundation for the engineering application of SAW torque sensor.

1. Introduction

In mechanical transmission systems, torque is one of the most valuable mechanical quantities to evaluate the system performance, and to reflect both power and condition of the machinery. Torque measurements with high accuracy have the essential prerequisites for operation, monitoring, and fault diagnosis [1,2]. However, it is hard to measure under the condition with rotation, narrow spaces, and high vibrations by traditional methods [3]. The surface acoustic wave (SAW) torque sensor is the emerging technology, and it has the benefits of passive, wireless, high sensitivity, small size, high stability, and near digital signal output which facilitates the subsequent signal processing. The mature development of that technology will be destined to replace the traditional torque sensor [4].
The accuracy of the SAW torque sensor is affected by the environment. One of the factors is the gyroscopic effect caused by rotation [5]. At present, the research on gyroscopic effect interference and the compensation method of the SAW torque sensor is still in the exploratory stage, and the corresponding research report cannot be found. Xiaojun Ji et al. [6] performed research on the novel demodulation system. In this system, the equipment has the fuller dynamic response range and more effective length of the signal which utilized the clipping amplifier, and a correlation extension algorithm was developed to suppress the noise and to improve the resolution of frequency estimation. V. Kalinin et al. [7] established a large diameter radio frequency rotary coupler and wireless rotational angle SAW measurement system. The new clamp-on the SAW sensing element did not need to transform the shaft. However, the influence of gyroscopic effect on the SAW sensors was not considered.
The gyroscopic effect is a phenomenon that the propagation parameters of the SAW would be changed when the SAW device rotates [8]. Taking the particles on the SAW device surface as the observed objects, the gyroscopic effect on the SAW is shown in Figure 1. As the SAW propagated along the x1 axis, the medium rotated uniformly around the x2 axis, and only the Coriolis inertial force on the particle is shown. The original particle motions are similar to the simple harmonic oscillation perpendicular to the surface. When the rotation has happened, the normal motion is affected, and a new running wave was shifted a quarter of the wavelength and coupled with the original wave, which affected the propagation characteristics of the SAW. It was inconspicuous under static or low rotational situations, which cannot be ignored with high speed [9]. It is of great significance to work on the compensation method of the SAW torque sensor gyroscopic effect for improving the accuracy and broadening the scope of application.
Generally speaking, the compensation methods for sensor interference are divided into the hardware compensation method and the software compensation algorithm. At present for SAW devices, the research on compensation of environmental factors has focused mostly on the hardware compensation method. V. Kalinin et al. [10] developed a wireless temperature and torque sensor based on three one-port SAW resonators. The three SAW resonators were fabricated on the same substrate in a certain array mode to realize the interference compensation and the ambient temperature calculation of the device at the same time. Wen Wang et al. [11] undertook research on the SAW vibration sensor with temperature compensation. Two sets of SAW sensors were fabricated on Y-cut quartz cantilever beam, one of which was arranged at the far end of proof mass on the beam to obtain maximum sensitivity, and another group completed the temperature compensation with differential structure. It can be seen that the hardware compensation method not only increases the hardware expenditure at the front-end of the sensor, but also troubles the detection link in the reader. Meanwhile, the compensation structure cannot be exactly the same in the actual processing. The sensor calibration is difficult, and the accuracy and compensation effect are easily affected by the processing error. The gyroscopic effect caused by rotation is a spatial problem, which cannot guarantee that the compensation structure can be in the same rotating axis as the sensitive structure. Therefore, the hardware method is not suitable for the gyroscopic effect compensation of the SAW sensors, and appropriate software compensation algorithms should be designed to compensate for the interference error.
High sensitivity is the remarkable advantage of the SAW sensor, however, sensing too many physical quantities also restricts the development of the SAW sensor. In the normal torque measurement environment, the varying disturbance of temperature and rotation is ubiquitous. Hence, the strengths of the SAW sensor may be truly highlighted only by compensating for the disturbance. It is significant for all non-speed sensitive SAW devices. In this paper, the influence of the SAW torque sensor with gyroscopic effects under high rotating situations is studied. The transfer model of the SAW torque sensor in rotational process is deduced, and the verification experiment of the gyroscopic effect is designed. Based on the experimental data, the gyroscopic effect was compensated by the least squares support vector machine algorithms (LSSVM) to improve the accuracy of the torque measurement. In order to improve the performance of the LSSVM, the chaos estimation of distributed algorithm (CEDA) is proposed to optimize the regularization parameter and kernel parameter. The numerical simulation results show that the LSSVM algorithm based on the CEDA parameter optimization can compensate the interference of the gyroscopic effect on the SAW torque sensor.

2. Model of SAW Torque Sensor under High Rotational Speed

The installation of SAW torque elements is shown in Figure 2, where M is the applied torque. Based on the round shaft torsion plane hypothesis in mechanics of materials and corresponding calculations, the torque elements are arranged on the surface of the working axis and at an angle of ±45° to the shaft axis. As shown in Figure 2, SAW propagates along the x1 axis on the plane of x3 = 0 in Ox1x2x3 coordinate, and the working shaft revolves around the axis.
When torque and rotation are applied to the shaft, the angular velocity of the medium relative to the inertial space is Ω, the particles at the surface are subjected the stress σ by torque; the Coriolis force −2mΩ × v; and the centrifugal force −mΩ × (Ω × R); the v and the R are the instantaneous velocity vector and instantaneous position vector of a particle on the SAW device surface relative to the rotating axis inertial coordinate system. Scalar forms can be applied by using generalized Hooke’s law and the vector algorithm. The SAW propagation characteristic on the dynamic deformable substrate with torque and rotation load is defined as Equation (1) [12,13].
{ ρ 2 u i t 2 = ( C i j k l + C ^ i j k l ) 2 u k x l x j + e k i j 2 ϕ x k x j 2 ρ ζ i j k Ω j u l t ρ ( Ω i Ω j u j Ω j 2 u j ) e j k l 2 u k x l x j ε j k 2 ϕ x k x j = 0
In Equation (1), ρ is the density, Cijkl, ejkl, and εjk are the stiffness, the piezoelectric modules, and the components of permittivity of the material, ζijk is the permutation, Ωj is the angular velocity of the rotating devices, u and ϕ are the displacement and the electrical potential. Einstein’s summation rule is used, and i, j, k, l are changed from 1 to 3. C ^ i j k l is the perturbation bias, which depends on the torque is defined as Equation (2).
C ^ i j k l = T i k δ j l + C i j k l m n E m n + C i j n k W l x n + C i n k l W j x n
where m, n = 1, 2, 3, Tik is the stress tensor, δjl is the Kronecker delta, Cijklmn and Cijnk are the third-order and the second-order elastic constants, Emn is the biasing strain, ∂Wl/∂xn is the displacement gradient component.
The solutions of the SAW motion equations have the form of Equation (3).
{ u i = A k exp [ j ( ω t β l p x p ) ] ϕ = ϕ 0 exp [ j ( ω t β l p x p ) ]
where Ak and ϕ0 are the amplitudes, β = ω/v is the wave number, v is the phase velocity of SAW, lp is the direction cosine and p = 1, 2, 3. Substituting Equation (3) into Equation (1), according to the direction and the plane of the SAW propagation, lp can be expressed as l1 = 1, l2 = 0, l3 = η, η is the attenuation coefficient of the SAW, the Christoffel equations with torque and rotation are derived as Equation (4).
{ A k l l l j ( C ^ i j k l + C i j k l ) A k ρ v 2 δ i k 2 A k ρ v 2 j ζ i j k Ω j / ω + e j k l l k l j ϕ 0 = 0 ϕ 0 = A k e j k l l l l j ε j k l k l j
The ratio of the centrifugal force and the Coriolis force is proportional to Ω/ω, therefore, the contribution of the centrifugal force is far less than the Coriolis force to the SAW devices because of Ω/ω≪1, and the centrifugal force Akδikρv2(1+Ωj2+ΩiΩj)/ω2 is ignored in Equation (4). The 2Akρv2ijkΩj/ω term represents the influence of the Coriolis force on the SAW propagation, which has been neglected by previous SAW torque sensors.
If the Ω direction coincides with the SAW propagating direction, and taking a new piezoelectric material Lanthanum Gallium Silicate (LGS) as an example, Equation (4) is solved by the determinant absolute value method of the boundary conditions coefficient [14]. The Euler angle of the LGS is (0°, 140°, 24°) which has better temperature performance, and other parameters are considered as this cut type. Firstly, the resonance frequency shifts under 50 Nm, 100 Nm and 150 Nm are calculated. Then, the resonance frequency shifts with the gyroscopic effect under the same torque are deduced. Finally, the torque calculation error caused by the rotation is plotted as Figure 3.
As shown in Figure 3, the higher the rotation speed, the more error the rotation makes. The torque calculation error reaches 14.8% when the torque and the rotational speed are 50 Nm and 5000 r/min. Therefore, for the accuracy of the sensor, the gyroscopic effect in Equation (4) cannot be ignored, and the compensation model must be established.

3. Verification Experiment of Gyroscopic Effect on SAW Torque Sensor

Based on the analysis of the SAW sensor measurement theory, the experimental system was designed to verify the gyroscopic effect on the SAW sensor. Considering the magnitude of the gyroscopic effect, the environmental factors of the experiment, and the accuracy of the existing frequency estimation algorithm, the torque was not loaded during the experiment. The wireless passive SAW torque elements were transformed into wireless active resonators, which improved the SNR and the effective signal length for high accuracy of the gyroscopic effect test. The hardware components diagram of the testing device is shown in Figure 4.
A grinding machine with adjustable rotational speed from 0 to 10000 r/min was reformed and matched with a tachometer as the standard rotation generating device. The rotational speed was adjusted by the knob according to the tachometer. The RF transmitting unit was connected with the grinding machine axis through the sleeve, and the rotational axis direction can be coincided with the three axes of the SAW device coordinate system by adjusting the matching mode with the sleeve. The resonance frequency shifts caused by the gyroscopic effect was measured. The gyroscopic effect verification platform is shown in Figure 5. The substrate material of the SAW torque sensor was LGS, and the resonant frequency was 433 MHz. The circuit PCB board of receiving unit contained other hardware parts except computer.
The test rotational speed ranged from 0 to 5000 r/min with 500 r/min adjusting step. The resonance frequency shifted values of the SAW torque sensor which were measured by the test system after the rotational speed was stabilized. The torque calculation error caused by rotation and the rotational speed curve are shown in Figure 6.
As shown in Figure 6, the trend of experimental results in x1 and x2 directions are consistent with the theoretical calculation, which can verify the correctness of the theoretical calculation. The error caused by the rotation affected the accuracy of the torque calculation greatly, which must be compensated.
The data of the resonance frequency shift were not completely consistent with the theoretical values. After analysis, the reasons are as follows: (1) The RF transmitting unit and fixture are not the circular axisymmetric model that causes the rotational mass center shifting and the unstable rotational speed; (2) It is difficult to ensure that the expectant direction completely coincides with the rotating axis in the installing process; (3) The torque load is not strictly linear with the rotation load, and only applying the rotation may affect the accuracy of the model.

4. The LSSVM Based on the CEDA

The complexity of the SAW transfer model with gyroscopic effect is vast, therefore, there are many problems in real-time torque calculations by substituting the resonance frequency shift and rotational speed in Equation (4), such as, large amounts of calculations and slow responses, which cannot be applied in industry. Therefore, a rotational compensation algorithm should be established to calibrate. For the torque sensor, it is expected to calibrate several points in the measurement range to complete the compensation model parameter estimation of the sensor [15]. The key to solving this issue is establishing the error compensation model with a small sample size and high accuracy.

4.1. The Least Square Support Vector Machine

LSSVM is an extension of the support vector machine (SVM). It improves the generalization ability through the principle of structural risk minimization, and solves practical problems such as small samples, non-linearity, high dimension, local minima, etc. It has been applied in pattern recognition, signal processing, function approximation and other fields [16].
Suppose {x(i), y(i)} (i=1,2,…n) are the data sets for training with the input x(i) ∈ Rm, and the output y(i) ∈ R, then the SVM model can be described as Equation (5).
y = ω T φ ( x ) + b
where the φ(·) is the nonlinear mapping. By using the squared error ξi as the loss function, the optimization problem is as follows as Equation (6).
min J ( ω , ξ ) = 1 2 ω T ω + 1 2 γ i = 1 n ξ i 2 s . t . y ( i ) [ ω T φ ( x ( i ) ) + b ] = 1 ξ i   i = 1 , 2 , , n
where γ is the regularization parameter. Through the Lagrange function to solve this issue, the LSSVM optimization turns into Equation (7).
[ 0 y T y Ω + γ 1 I ] [ b a ] = [ 0 Y ]
where I is the identity matrix, Ωij= K(xi, xj) is the kernel matrix, the Lagrange coefficient a = [a1,a2,…an]. By solving the linear equation, it can be concluded that:
{ a ^ = ( Ω + γ 1 I ) 1 ( Y b y ) b ^ = ( Ω + γ 1 I ) 1 Y / ( Ω + γ 1 I ) 1 y
where Y = by+(Ω+γ−1I)−1a, so the regression model of LSSVM is:
y = i = 1 n a ^ i K ( x , x ( i ) ) + b ^
The radial basis function (RBF) is chosen as the kernel in this paper, and its expression is k(x,xi) = exp(−‖xxi2/σ2). Therefore, γ and σ are still super parameters to be determined.

4.2. The LSSVM Parameter Optimization based on CEDA

The parameter selection of LSSVM will determine its learning performance and generalization ability. At present, the most commonly used parameter selection algorithms are GA and PSO [17,18], but the selection, crossover and mutation of the former are too complex, and the latter is prone to be premature, and the convergence speed of two algorithms is still not ideal.
Therefore, the estimation of distributed algorithm (EDA) model based on chaotic mutation optimization is proposed as a parameter optimization algorithm for LSSVM. EDA is a new evolutionary model that uses learning and sampling of the probability model to replace the selection, crossover and mutation in genetic algorithm (GA). It has excellent global searching ability and convergence speed because of the distribution in solution space described by the probability model, and the population generation from a macro perspective by statistical learning, but that also brings the poor local optimization problem [19]. Therefore, the chaotic mutation is imported in EDA to reconstruct the solution space by using its randomness and ergodicity ability, which guarantees the local optimization and the convergence speed.
After initializing the population and solution space, the evolution can be in progress according to the fitness and mutation probability of individuals in the population. Adopting the linear fitness allocation, which is expressed as follows:
f i t i = max s p s p + β ( s p min s p ) r a n k i n g i N P
where sp is the subpop, maxsp and minsp is the range of sp, β is the sp coefficient, ranking is the index of fitness rank for the current individual, NP is particles number in the population. It will be mutated and evolved when the new population is becoming monotonous. The individual xijG after chaotic mutation can be expressed as:
x i j G = x i j G + r i j α i j
where i is the ordinal of the population, changed from 1 to NP, j is the dimension of the population, αij is the chaotic time series generated by one-dimensional Logistic map, expressed as αt+1 = λαt(1−αt), λ is the control coefficient, rij is the radius of variation, shown as:
r i j = C j 1 f i t i max f i t
where the Cj is the mutation step, which has a wide influence for the algorithm. A larger step is used to quickly retrieve in the solution space at initial stage, and smaller steps later for a fine search. The adaptive sampling method is applied and expressed as follows:
C j = max x i j G min x i j G D I V
where the DIV is the partition coefficient. Substituting Equations (12) and (13) into Equation (11), the new population after chaotic mutation can be obtained.
In addition to the chaotic mutation, the diversity of population also can be improved by reverse operation. While different from a mutation, a reverse operation does not generate new individuals, and a randomly selected sequence which is controlled by reverse probability is rearranged in the original population. Chaotic mutations and reverse operations can ensure the diversity of the population.
The fitness of the population after chaotic mutations and reverse should be reevaluated. The population shoulders the responsibility of producing new generations at this moment, so the fitness evaluation model should also consider the concentration between individuals. Individual concentration is used to describe the number of similar individuals, the individual with high fitness and low individual concentration should be promote the selection probability. Individual concentration can be expressed as:
ρ i = max d i / d i d i = l = 1 N P ( X i G X l G ) 2
where di is the sum of individual concentration. The new fitness evaluation method is shown as follows:
f i t i = f i t i / ρ i
After the fitness evaluation of the population, the new generation is ready. The strategy of generating is to select np (np < NP) better individuals from the population as a judging basis, generate k × NP (k > 1) new individuals through Gauss model, and reselect NP individuals as the next generation population. Following this, continue iterating until the fitness value reaches the expectation or the number of iterations reaches the limitation. Therefore, the process of LSSVM parameter optimization by CEDA is shown in Figure 7.

5. Numerical Simulation Analysis

5.1. Performance Analysis of CEDA

CEDA introduces chaotic mutation to improve the anti-premature ability. It first compares with EDA to verify its effectiveness. Considering the number of parameters to be optimized in LSSVM, ShafferF6 function is chosen as the test function, and its expression is as follows:
min f ( x 1 , x 2 ) = 0.5 + sin 2 x 1 2 + x 2 2 0.5 ( 1 + 0.001 ( x 1 2 + x 2 2 ) ) 2 s . t . 10 x i 10     ( i = 1 , 2 )
The function has two independent variables, and only one global minimum fmin(0,0) = 0 in its definition domain. In the simulation process, the NP of CEDA and EDA is 1000, the maximum number of iterations was 100. The optimal results and the number of iterations are shown in Figure 8.
The attached figure in Figure 8 is the three-dimensional surface graph of the test function. It can be seen that the test function has strong nonlinearity, many local extreme points and only one global minimum point. After the fifth iteration, EDA could not produce better individuals, only evolved ones, and the final fitness was 0.058; CEDA generated six evolutions in 100 iterations, and the final fitness was 4.348 × 10−4, which was much better than EDA.
After verifying the advantages of CEDA, the CEDA-LSSVM was compared with GA-LSSVM and PSO-LSSVM. In the simulation process, the NP of CEDA was 1000, the population size of PSO and GA was 1000, and the maximum number of iterations was 100. Using the experiment data as regression data, the normalized fitness and the number of iterations curve are shown in Figure 9.
It can be seen from Figure 9 that the convergence speed of GA-LSSVM was better than PSO-LSSVM, but its normalized fitness was lower than PSO-LSSVM. While the convergence speed of CEDA-LSSVM and GA-LSSVM was well matched, but the fitness was slightly better than PSO-LSSVM. Therefore, the gyroscopic effect compensation for SAW torque sensor by CEDA-LSSVM was better than PSO-LSSVM and GA-LSSVM.

5.2. Comparison of CEDA-LSSVM with Multivariate Polynomial Fitting (MPF) and Gaussian Processes Regression (GPR)

In Figure 6, the torque calculation errors are obviously non-linear. Therefore, the most commonly used MPF was selected to compensate for the errors. The torque calculation relative errors compensated by MPF are shown in Figure 10.
Considering the complexity and accuracy of the compensation model, the third order for MPF was selected. From Figure 10, it can be seen that the maximum torque calculation relative error in x1 and x2 directions are less than 0.06% and 0.08% respectively, but that in x3 direction is still more than 0.1%. By comparing Figure 10 with Figure 6, it can be seen that MPF had a good compensation effect for the gyroscopic effect error, but that was not ideal in the x3 direction. The reason is that the data in x3 direction has the characteristics of irregular with multi peak and valley. To compensate, it should improve the MPF’s order. However, increasing the order will not only increase the computational complexity, but also affect the compensation effect in x1 and x2 directions. Therefore, it is necessary to select a more suitable non-linear compensation algorithm to compensate for the gyroscopic effect.
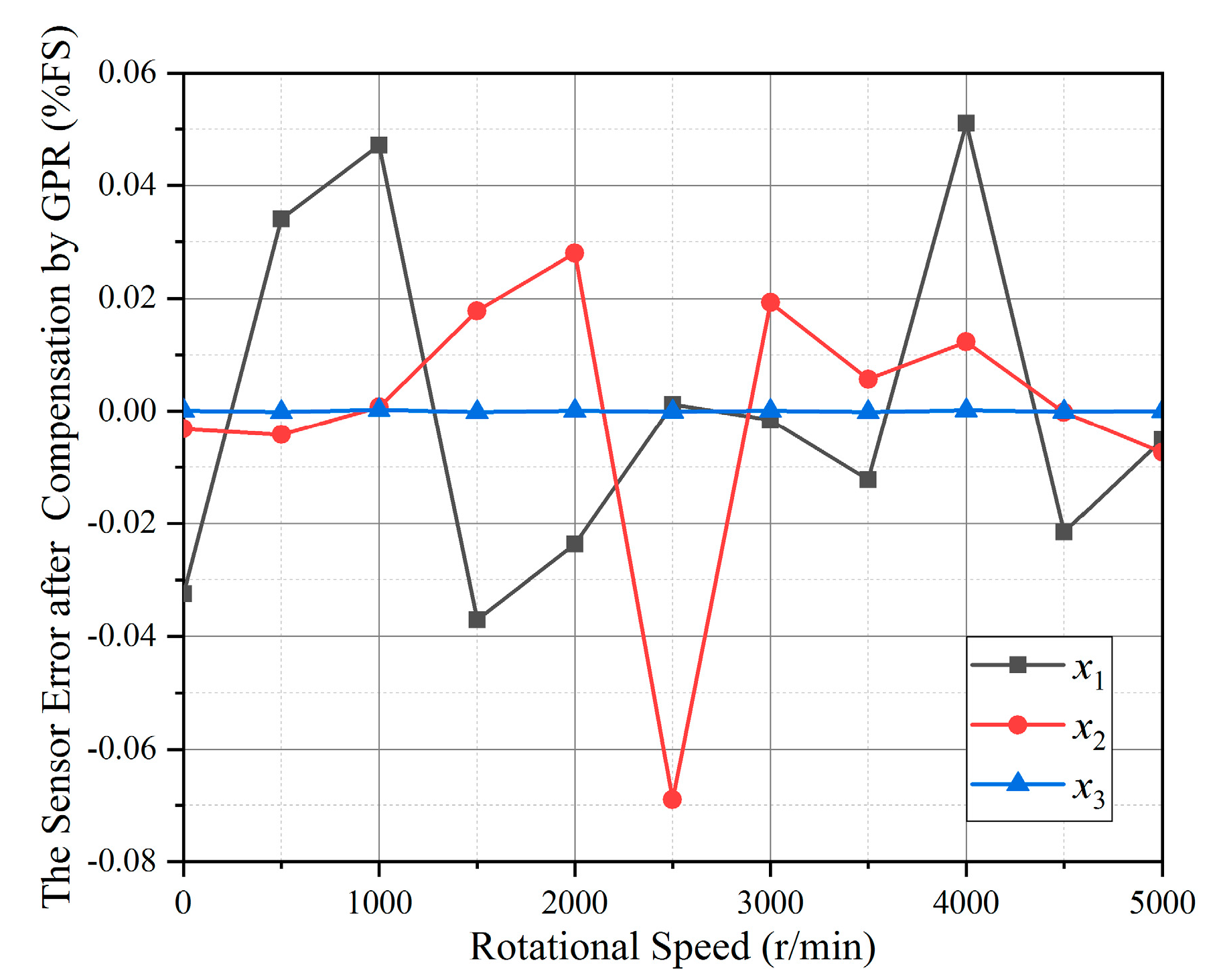
Gaussian processes (GPs) are probabilistic kernel machines, which have the characteristics of flexible non-parametric inference, probability interpretation of predictions and easy realization. GPR is moderately simple to implement and use without loss of performance compared with artificial neural networks (ANN) or SVM. Even with a small number of samples, the ability of prediction is still superior [20]. The torque calculation relative error after compensation by GPR is shown in Figure 11.
The squared exponential is selected as the kernel of GPR for prediction and regression. From Figure 11, the maximum torque calculation relative errors in x1 and x2 directions were within 0.06% and 0.08% respectively, and the order of magnitude in x3 direction was 10−4. Compared with MPF, the compensation effects in x1 and x2 directions are comparable, and significantly improved in x3 direction. Therefore, the compensation of gyroscopic effect by GPR has a good achievement. Nevertheless, in order to make further improvements on the measurement accuracy of SAW torque sensor, the LSSVM based on CEDA parameter optimization was proposed and used, and the torque calculation relative errors compensated by CEDA-LSSVM are shown in Figure 12.
From the Figure 12, it can be concluded that the magnitude of the torque calculation relative errors in x1, x2, and x3 directions are 10−4. The comparisons of maximum torque calculation relative errors after compensation by three algorithms are shown in Table 1. The compensation results of CEDA-LSSVM in x1 and x2 directions are much better than MPF and GPR. CEDA-LSSVM in x3 direction was slightly inferior to GPR, but much better than MPF, and the error magnitude was reduced to 10−4. Therefore, the LSSVM based on CEDA parameter optimization can be used to compensate for the influence of gyroscopic effects on the SAW torque sensor.

6. Conclusions

In this paper, the SAW torque sensor under high rotational speed environment was studied in depth, the influence of rotation on the SAW torque sensor was analyzed, and the theoretical correctness was verified by experiment. The gyroscopic effect compensation model of the SAW torque sensor was established by LSSVM based on CEDA parametric optimization, and the superiority was verified by comparing with a variety of other algorithms. The experimental results show that the magnitude of the torque calculation relative errors after compensation were 10−4, which verified the validity of the proposed compensation method for the gyroscopic effect of the SAW torque sensor, and improved the accuracy and environmental applicability of the SAW torque sensor.

Author Contributions

All authors participated in the work presented here. W.H. finished the sensor design, and algorithm simulation, and defined the research topic with X.B., Y.C. and M.X. helped to build the testing platform and design the verification experiment. All authors read and approved the manuscript.

Funding

The work was supported by the Key Laboratory Foundation of China (project number: 61422130102117) and Postgraduate Research & Practice Innovation Program of Jiangsu Province (project number: KYCX18_0403).

Conflicts of Interest

The authors declare no conflicts of interest.

References

  1. Yeh, C.T.; Tsai, N.C.; Chiu, H.L.; Sue, C.Y. Digital High-Resolution Torque Sensor and Signal Processing. IEEE Sens. J. 2015, 15, 2093–2100. [Google Scholar] [CrossRef]
  2. Prete, A.D.; Mansard, N.; Ramos, O.E.; Stasse, O.; Nori, F. Implementing Torque Control with High-Ratio Gear Boxes and Without Joint-Torque Sensors. Int. J. Humanoid Robot. 2016, 13. [Google Scholar] [CrossRef]
  3. Finio, B.M.; Galloway, K.C.; Wood, R.J. An ultra-high precision, high bandwidth torque sensor for microrobotics applications. In Proceedings of the IEEE International Conference on Intelligent Robots and Systems, San Francisco, CA, USA, 25–30 September 2011; pp. 31–38. [Google Scholar]
  4. Raj, V.B.; Singh, H.; Nimal, A.T.; Tomar, M.; Sharma, M.U.; Gupta, V. Origin and role of elasticity in the enhanced DMMP detection by ZnO/SAW sensor. Sens. Actuators B Chem. 2015, 207, 375–382. [Google Scholar] [CrossRef]
  5. Biryukov, S.V.; Schmidt, H.; Weihnacht, M. Gyroscopic effect for SAW in common piezoelectric crystals. In Proceedings of the IEEE Ultrasonics Symposium, Rome, Italy, 20–23 September 2009; pp. 2133–2136. [Google Scholar]
  6. Ji, X.; Fan, Y.; Qi, H.; Chen, J.; Han, T.; Cai, P. A wireless demodulation system for passive surface acoustic wave torque sensor. Rev. Sci. Instrum. 2014, 85, 125001. [Google Scholar] [CrossRef] [PubMed]
  7. Kalinin, V.; Leigh, A.; Stopps, A.; Artigao, E. Resonant SAW torque sensor for wind turbines. In Proceedings of the IEEE European Frequency and Time Forum & International Frequency Control Symposium, Prague, Czech Republic, 21–25 July 2013; pp. 462–465. [Google Scholar]
  8. Oh, H.; Yang, S.; Lee, K. Development of Surface Acoustic Wave-Based Microgyroscope Utilizing Progressive Wave. Jpn. J. Appl. Phys. 2014, 49, 06GN16. [Google Scholar] [CrossRef]
  9. Oh, H.; Wang, W.; Yang, S.; Lee, K. Development of SAW based gyroscope with high shock and thermal stability. Sens. Actuators A Phys. 2011, 165, 8–15. [Google Scholar] [CrossRef]
  10. Kalinin, V.; Bown, G.; Leigh, A. P1K-3 Contactless Torque and Temperature Sensor Based on SAW Resonators. In Proceedings of the IEEE Ultrasonics Symposium, Vancouver, BC, Canada, 2–6 October 2006; pp. 1490–1493. [Google Scholar]
  11. Wang, W.; Xue, X.; Huang, Y.; Liu, X. A Novel Wireless and Temperature-Compensated SAW Vibration Sensor. Sensors 2014, 20702–20712. [Google Scholar] [CrossRef] [PubMed]
  12. Sang, W.L.; Rhim, J.W.; Park, S.W.; Yang, S.S. A micro rate gyroscope based on the SAW gyroscopic effect. J. Micromech. Microeng. 2007, 17, 2272. [Google Scholar]
  13. Wang, W.; Lee, K.; Kim, T.; Yang, S.; Park, I. Pressure Sensitivity Evaluation of Passive SAW Microsensor Integrated with Pressure-Temperature and ID Tag on 41°-YX LiNbO3. In Proceedings of the TRANSDUCERS 2007—2007 International Solid-State Sensors, Actuators and Microsystems Conference, Lyon, France, 10–14 June 2007; pp. 1935–1938. [Google Scholar]
  14. Wang, W.; Shao, X.; Liu, J.; He, S. Theoretical analysis on SAW gyroscopic effect combining with metallic dot array. In Proceedings of the IEEE Ultrasonics Symposium, Dresden, Germany, 7–10 October 2012; pp. 2412–2415. [Google Scholar]
  15. Kalinin, V.; Lohr, R.; Leigh, A. Development of a calibration procedure for contactless torque and temperature sensors based on SAW resonators. In Proceedings of the 2008 IEEE Ultrasonics Symposium, Beijing, China, 2–5 November 2008; pp. 1865–1868. [Google Scholar]
  16. Lee, B.H.; Kim, S.U.; Seok, J.W.; Won, S. Nonlinear System Identification based on Support Vector Machine using Particle Swarm Optimization. In Proceedings of the 2006 SICE-ICASE International Joint Conference, Busan, Korea, 18–21 October 2006. [Google Scholar]
  17. Cai, Z.; Xu, W.; Meng, Y.; Shi, C.; Wang, R. Prediction of landslide displacement based on GA-LSSVM with multiple factors. Bull. Eng. Geol. Environ. 2016, 75, 637–646. [Google Scholar] [CrossRef]
  18. Sun, Y.; Liu, Y.; Liu, H. Temperature Compensation for a Six-Axis Force/Torque Sensor Based on the Particle Swarm Optimization Least Square Support Vector Machine for Space Manipulator. IEEE Sens. J. 2016, 16, 798–805. [Google Scholar] [CrossRef]
  19. Larranga, P.; Lozano, J.A. Estimation of Distribution Algorithms: A New Tool for Evolutionary Computation; Kluwer Academic Publishers: Boston, MA, USA, 2001. [Google Scholar]
  20. Wang, J.; Fleet, D.; Hertzmann, A. Gaussian process dynamical models for human motion. IEEE Trans. Pattern Anal. Mach. Intell. 2008, 30, 283–298. [Google Scholar] [CrossRef] [PubMed]
Figure 1. The effect of gyroscopic on the surface acoustic wave (SAW) propagation.
Figure 1. The effect of gyroscopic on the surface acoustic wave (SAW) propagation.
Sensors 19 02768 g001
Figure 2. The SAW torque elements installation diagram.
Figure 2. The SAW torque elements installation diagram.
Sensors 19 02768 g002
Figure 3. The torque calculation error caused by rotation.
Figure 3. The torque calculation error caused by rotation.
Sensors 19 02768 g003
Figure 4. The hardware components diagram of the gyroscopic effect testing system.
Figure 4. The hardware components diagram of the gyroscopic effect testing system.
Sensors 19 02768 g004
1- Loop Amplifier. 2- Phase Compensator. 3- Low Noise Amplifier. 4- RF Filter. 5- Frequency Mixer. 6- Low-Pass Filter. 7- Clipping Amplifier. 8- Phase-Locked Loop.
Figure 5. The gyroscopic effect verification platform.
Figure 5. The gyroscopic effect verification platform.
Sensors 19 02768 g005
Figure 6. The torque calculation error caused by the rotation in x1, x2, and x3 directions.
Figure 6. The torque calculation error caused by the rotation in x1, x2, and x3 directions.
Sensors 19 02768 g006
Figure 7. The process of the least squares support vector machine algorithm (LSSVM) parameter optimization by chaos estimation of distributed algorithm (CEDA).
Figure 7. The process of the least squares support vector machine algorithm (LSSVM) parameter optimization by chaos estimation of distributed algorithm (CEDA).
Sensors 19 02768 g007
Figure 8. The result of test function extremum finding by CEDA and EDA.
Figure 8. The result of test function extremum finding by CEDA and EDA.
Sensors 19 02768 g008
Figure 9. The comparison of the regression effect between CEDA-LSSVM and PSO-LSSVM and GA-LSSVM.
Figure 9. The comparison of the regression effect between CEDA-LSSVM and PSO-LSSVM and GA-LSSVM.
Sensors 19 02768 g009
Figure 10. The torque calculation relative errors compensated by multivariate polynomial fitting (MPF).
Figure 10. The torque calculation relative errors compensated by multivariate polynomial fitting (MPF).
Sensors 19 02768 g010
Figure 11. The torque calculation relative error after compensation by Gaussian processes regression (GPR).
Figure 11. The torque calculation relative error after compensation by Gaussian processes regression (GPR).
Sensors 19 02768 g011
Figure 12. The torque calculation relative error compensated by CEDA-LSSVM.
Figure 12. The torque calculation relative error compensated by CEDA-LSSVM.
Sensors 19 02768 g012
Table 1. The comparisons of the best compensation result by MPF, GPR and CEDA-LSSVM.
Table 1. The comparisons of the best compensation result by MPF, GPR and CEDA-LSSVM.
Rotational Axis DirectionBest Compensation Result (%FS)
MPFGPRCEDA-LSSVM
x10.057550.051065.94693 × 10−4
x20.067290.069014.40580 × 10−4
x30.113522.20221 × 10−46.59945 × 10−4

Share and Cite

MDPI and ACS Style

Han, W.; Bu, X.; Cao, Y.; Xu, M. SAW Torque Sensor Gyroscopic Effect Compensation by Least Squares Support Vector Machine Algorithm Based on Chaos Estimation of Distributed Algorithm. Sensors 2019, 19, 2768. https://doi.org/10.3390/s19122768

AMA Style

Han W, Bu X, Cao Y, Xu M. SAW Torque Sensor Gyroscopic Effect Compensation by Least Squares Support Vector Machine Algorithm Based on Chaos Estimation of Distributed Algorithm. Sensors. 2019; 19(12):2768. https://doi.org/10.3390/s19122768

Chicago/Turabian Style

Han, Wei, Xiongzhu Bu, Yihan Cao, and Miaomiao Xu. 2019. "SAW Torque Sensor Gyroscopic Effect Compensation by Least Squares Support Vector Machine Algorithm Based on Chaos Estimation of Distributed Algorithm" Sensors 19, no. 12: 2768. https://doi.org/10.3390/s19122768

APA Style

Han, W., Bu, X., Cao, Y., & Xu, M. (2019). SAW Torque Sensor Gyroscopic Effect Compensation by Least Squares Support Vector Machine Algorithm Based on Chaos Estimation of Distributed Algorithm. Sensors, 19(12), 2768. https://doi.org/10.3390/s19122768

Note that from the first issue of 2016, this journal uses article numbers instead of page numbers. See further details here.

Article Metrics

Back to TopTop