Stochastic Feedback Based Continuous-Discrete Cubature Kalman Filtering for Bearings-Only Tracking
Abstract
1. Introduction
2. The Model of BOT in Continuous-Discrete Form
3. General Types of Continuous-Discrete Filters
3.1. The Taylor Approximation
3.2. CD-CKF
4. Stochastic Feedback Framework of CD-CKF
4.1. Covariance Adaption
4.2. Stochastic Feedback Framework
- (1)
- Post covariance information is used to decrease the influence of the unpredictable error within continuous-time domain state prediction process, and as a result, it enhances the accuracy of the filtering.
- (2)
- Online covariance updating can decrease the computational complexity in derivative or matrix operation compared with traditional methods.
- (3)
- The cubature rule improves the performance of the filtering when dealing with non-linear problems, and it also provides a more accurate innovation covariance matrix than CD-EKF and other methods.
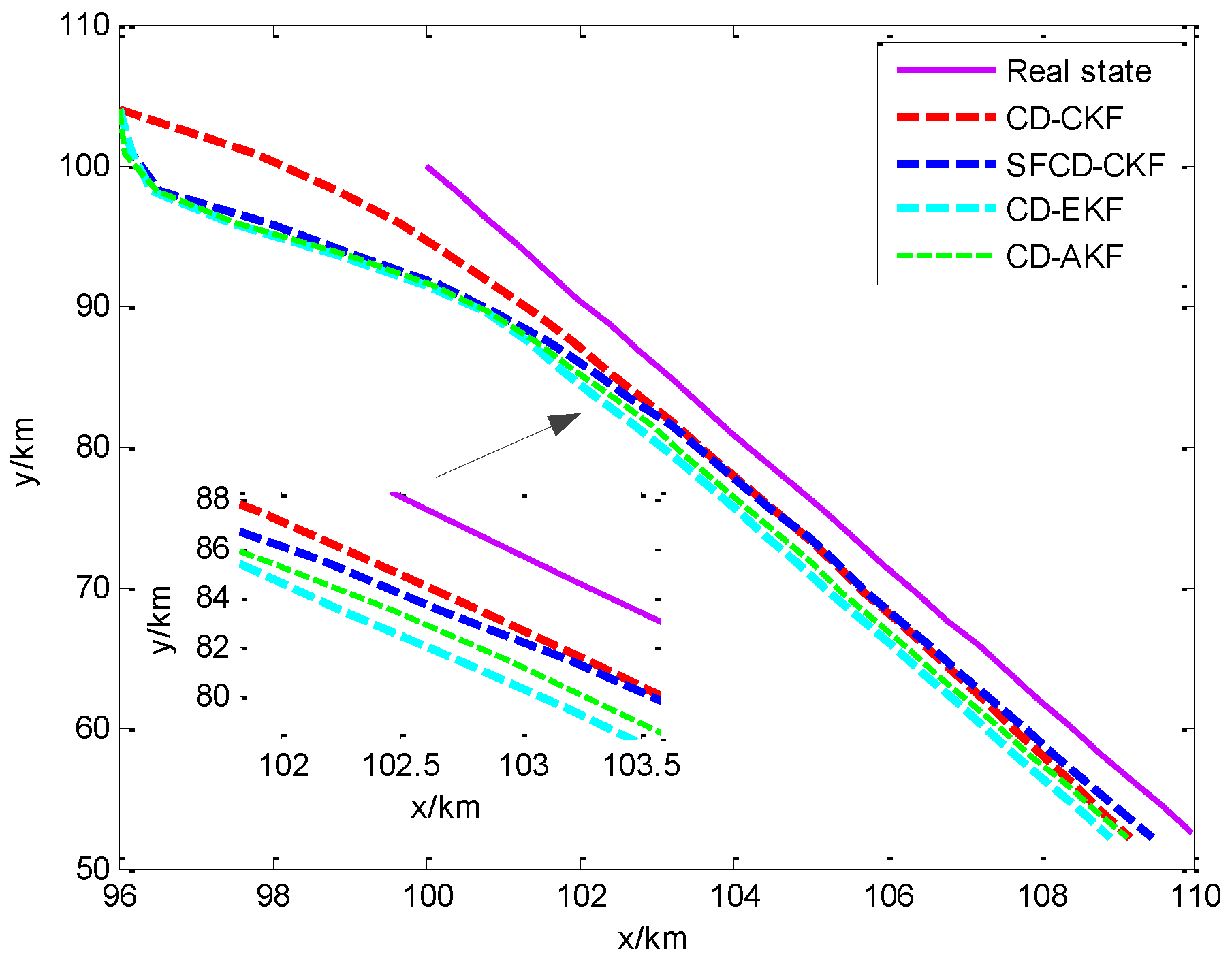
5. Numerical Simulation
5.1. Linear Model Tracking
5.2. Nonlinear Model Tracking
6. Conclusions
Author Contributions
Funding
Conflicts of Interest
References
- Fawcett, J.A. Effect of Course Maneuvers On Bearings-Only Range Estimation. IEEE Trans. Acoust. Speech Signal Process. 1988, 36, 1193–1199. [Google Scholar] [CrossRef]
- Nguyen, N.H.; Dogancay, K. Improved Pseudolinear Kalman Filter Algorithms for Bearings-Only Target Tracking. IEEE Trans. Signal Process. 2017, 23, 6119–6134. [Google Scholar] [CrossRef]
- Li, L.Q.; Wang, X.L.; Liu, Z.X.; Xie, W.X. Auxiliary Truncated Unscented Kalman Filtering for Bearings-Only Maneuvering Target Tracking. Sensors 2017, 17, 972. [Google Scholar]
- Daneshyar, S.A.; Nahvi, M. Moving Objects Tracking Based On Improved Particle Filter Algorithm by Elimination of Unimportant Particles. Opt. Int. J. Light Electron Opt. 2017, 138, 455–469. [Google Scholar] [CrossRef]
- Zhou, Y.; Wu, P.; Li, X. Adaptive Navigation Algorithm Under Abnormal Measurements in Libration-Point Mission. IEEE Trans. Aerosp. Electron. Syst. 2018, 54, 246–256. [Google Scholar] [CrossRef]
- Kulikov, G.Y.; Kulikova, M.V. The Accurate Continuous-Discrete Extended Kalman Filter for Radar Tracking. IEEE Trans. Signal Process. 2016, 64, 948–958. [Google Scholar] [CrossRef]
- Ma, Y.; Genton, M.G.; Parzen, E. Asymptotic Properties of Sample Quantiles of Discrete Distributions. Ann. Inst. Stat. Math. 2011, 63, 227–243. [Google Scholar] [CrossRef]
- Touzi, N.; Tourin, A. Optimal Stochastic Control, Stochastic Target Problems, and Backward SDE; Springer: New York, NY, USA, 2013. [Google Scholar]
- Crouse, D. Basic Tracking Using Nonlinear Continuous-Time Dynamic Models. IEEE Aerosp. Electron. Syst. Mag. 2015, 30, 4–41. [Google Scholar] [CrossRef]
- Yong, J.; Zhou, X.Y. Stochastic Controls; Springer: New York, NY, USA, 1999; pp. 30–48. [Google Scholar]
- Kloeden, P.E.; Okateb, E. Numerical Solution of Stochastic Differential Equations; Springer: Berlin, Germany, 1999. [Google Scholar]
- Crouse, D.F. Cubature Kalman Filters for Continuous-Time Dynamic Models Part 1: Solutions Discretizing the Langevin Equation. In Proceedings of the 2014 IEEE Radar Conference, Cincinnati, OH, USA, 19–23 May 2014. [Google Scholar]
- Arasaratnam, I.; Haykin, S.; Hurd, T.R. Cubature Kalman Filtering for Continuous-Discrete Systems: Theory and Simulation. IEEE Trans. Signal Process. 2010, 58, 4977–4993. [Google Scholar] [CrossRef]
- Crouse, D.F. Cubature Kalman Filters for Continuous-Time Dynamic Models Part 2: A Solution Based On Moment Matching. In Proceedings of the 2014 IEEE Radar Conference, Cincinnati, OH, USA, 19–23 May 2014. [Google Scholar]
- Kulikov, G.Y.; Kulikova, M.V. Accurate Numerical Implementation of the Continuous-Discrete Extended Kalman Filter. IEEE Trans. Autom. Control 2014, 59, 273–279. [Google Scholar] [CrossRef]
- Jørgensen, J.B.; Thomsen, P.G.; Madsen, H.; Kristensen, M.R. A Computationally Efficient and Robust Implementation of the Continuous-Discrete Extended Filter. In Proceedings of the 2007 American Control Conference, New York, NY, USA, 2007; pp. 3706–3712. [Google Scholar]
- Kulikova, M.V.; Kulikov, G.Y. NIRK-based Accurate Continuous-Discrete Extended Kalman filters for Estimating Continous-Time Stochastic Target Tracking Models. J. Comput. Appl. Math. 2017, 316, 260–270. [Google Scholar] [CrossRef]
- Duan, J.; Shi, H.; Liu, D.; Yu, H. Square Root Cubature Kalman Filter-Kalman Filter Algorithm for Intelligent Vehicle Position Estimate. Procedia Eng. 2016, 137, 267–276. [Google Scholar] [CrossRef]
- Wang, J.; Wang, J.; Zhang, D.; Shao, X. Stochastic Feedback Based Kalman Filter for Nonlinear Continuous-Discrete Systems. IEEE Trans. Autom. Control 2017, 99, 1. [Google Scholar] [CrossRef]
- Mallich, M.; Morelande, K.; Mihaylova, L. Continuous-Discrete Filtering Using EKF, UKF and PF. In Proceedings of the 15th International Conference on Information Fusion, Singapore, 9–12 July 2012. [Google Scholar]
- Mohamed, A.H.; Schwarz, K.P. Adaptive Kalman Filtering for INS/GPS. J. Geodesy 1999, 73, 193–203. [Google Scholar] [CrossRef]
- Mehra, R.K. Approaches to Adaptive Filtering. IEEE Trans. Autom. Control 1972, 17, 693–698. [Google Scholar] [CrossRef]







© 2018 by the authors. Licensee MDPI, Basel, Switzerland. This article is an open access article distributed under the terms and conditions of the Creative Commons Attribution (CC BY) license (http://creativecommons.org/licenses/by/4.0/).
Share and Cite
He, R.; Chen, S.; Wu, H.; Hong, L.; Chen, K. Stochastic Feedback Based Continuous-Discrete Cubature Kalman Filtering for Bearings-Only Tracking. Sensors 2018, 18, 1959. https://doi.org/10.3390/s18061959
He R, Chen S, Wu H, Hong L, Chen K. Stochastic Feedback Based Continuous-Discrete Cubature Kalman Filtering for Bearings-Only Tracking. Sensors. 2018; 18(6):1959. https://doi.org/10.3390/s18061959
Chicago/Turabian StyleHe, Renke, Shuxin Chen, Hao Wu, Lei Hong, and Kun Chen. 2018. "Stochastic Feedback Based Continuous-Discrete Cubature Kalman Filtering for Bearings-Only Tracking" Sensors 18, no. 6: 1959. https://doi.org/10.3390/s18061959
APA StyleHe, R., Chen, S., Wu, H., Hong, L., & Chen, K. (2018). Stochastic Feedback Based Continuous-Discrete Cubature Kalman Filtering for Bearings-Only Tracking. Sensors, 18(6), 1959. https://doi.org/10.3390/s18061959
