Sign in to use this feature.

Years

Between: -

Subjects

remove_circle_outline
remove_circle_outline
remove_circle_outline
remove_circle_outline
remove_circle_outline
remove_circle_outline
remove_circle_outline
remove_circle_outline
remove_circle_outline

Journals

remove_circle_outline
remove_circle_outline
remove_circle_outline
remove_circle_outline
remove_circle_outline
remove_circle_outline
remove_circle_outline

Article Types

Countries / Regions

remove_circle_outline
remove_circle_outline
remove_circle_outline
remove_circle_outline
remove_circle_outline

Search Results (1,971)

Search Parameters:
Keywords = nonlinear filtering

Order results
Result details
Results per page
Select all
Export citation of selected articles as:
25 pages, 3043 KB  
Article
Research on the Ambiguity Function Characteristics of Uniform Circular Frequency Diverse Array Sonar
by Weiye Liu and Yixin Yang
J. Mar. Sci. Eng. 2026, 14(6), 522; https://doi.org/10.3390/jmse14060522 - 10 Mar 2026
Abstract
The existing research on frequency diverse arrays (FDAs) predominantly concentrates on narrowband uniform linear frequency diverse arrays (ULFDAs). The uniform circular array presents advantages, such as a small aperture and omnidirectional scanning. In practical underwater acoustic environments, multi-carrier narrowband signals are commonly utilized. [...] Read more.
The existing research on frequency diverse arrays (FDAs) predominantly concentrates on narrowband uniform linear frequency diverse arrays (ULFDAs). The uniform circular array presents advantages, such as a small aperture and omnidirectional scanning. In practical underwater acoustic environments, multi-carrier narrowband signals are commonly utilized. Nevertheless, current studies lack theoretical analysis and exploration of the performance of narrowband uniform circular frequency diverse arrays (UCFDAs). This paper, utilizing a UCFDA sonar transmit and single-element receive model, introduces narrowband signals employing a multi-carrier design. Through the time-domain convolution of signals output from matched filters, we deduce the general expression of the ambiguity function and its properties for UCFDA sonar within the narrowband framework. Simulations employing rectangular pulses are executed to validate the accuracy of the derived analytical expression of the ambiguity function. Moreover, we conduct a comparative analysis of the ambiguity function shapes for UCFDA sonar with linear frequency offset models, natural logarithmic frequency offset models, and multi-carrier UCFDA sonar. This analysis reveals that the nonlinear characteristics of the natural logarithmic frequency offset model effectively eliminate the periodically appearing ambiguity peaks in the ambiguity function of traditional linear frequency offset UCFDA sonar. Furthermore, the multi-carrier design significantly diminishes the sidelobe level in the zero-Doppler cut and has higher robustness under noise conditions. Full article
(This article belongs to the Section Ocean Engineering)
Show Figures

Figure 1

27 pages, 4297 KB  
Article
Velocity and Angle Tracking of Fast Targets Using a Bandwidth-Coded Hybrid Chirp FMCW Radar
by Burak Gökdemir, Yaser Dalveren, Ali Kara and Mohammad Derawi
Sensors 2026, 26(6), 1751; https://doi.org/10.3390/s26061751 - 10 Mar 2026
Abstract
Frequency-modulated continuous-wave (FMCW) radars are widely used for range and velocity estimation. However, conventional velocity measurement techniques based on 2D-FFT processing require a large number of chirps and suffer from a maximum unambiguous velocity limitation, which restricts their applicability to high-speed targets. This [...] Read more.
Frequency-modulated continuous-wave (FMCW) radars are widely used for range and velocity estimation. However, conventional velocity measurement techniques based on 2D-FFT processing require a large number of chirps and suffer from a maximum unambiguous velocity limitation, which restricts their applicability to high-speed targets. This study addresses these challenges by proposing a hybrid FMCW chirp waveform that employs bandwidth variation between consecutive chirps while maintaining a constant chirp duration. The proposed method enables separation of range- and Doppler-dependent frequency components using only two chirps; thus, it improves the maximum velocity constraint by keeping intermediate-frequency bandwidth and sampling requirements low. In addition, spatial angle estimation is performed using an amplitude-comparison monopulse antenna configuration, allowing single-snapshot angle measurement with low computational complexity. To enhance measurement robustness, extended and unscented Kalman filters are integrated for target tracking. Simulation results demonstrate that the proposed waveform achieves accurate velocity estimation for very high-speed targets and that the unscented Kalman filter consistently outperforms the extended Kalman filter in terms of convergence speed and robustness, particularly under poor initialization and strong nonlinearities. The results confirm that the proposed framework provides an efficient solution for tracking a single, fast-moving, isolated target in a homogeneous environment using FMCW radar systems at short and medium ranges. Full article
(This article belongs to the Section Radar Sensors)
Show Figures

Figure 1

11 pages, 1279 KB  
Proceeding Paper
High-Performance Harmonic Filter Design for Electric Vehicle Charging Stations to Enhance Power Quality
by Sugunakar Mamidala and Yellapragada Venkata Pavan Kumar
Eng. Proc. 2026, 124(1), 61; https://doi.org/10.3390/engproc2026124061 - 9 Mar 2026
Abstract
The recent advent of charging infrastructure on an Electric Vehicles (EVs) poses a severe problem with effect on the power grid in terms of harmonic distortion, mostly caused by the nonlinear loads on the electric power produced by charging stations, diode bridge rectifiers, [...] Read more.
The recent advent of charging infrastructure on an Electric Vehicles (EVs) poses a severe problem with effect on the power grid in terms of harmonic distortion, mostly caused by the nonlinear loads on the electric power produced by charging stations, diode bridge rectifiers, and switching converters. These harmonics continuously negatively influence power quality by increasing system and grid current, voltage total harmonic distortion (THD), power factor, and voltage regulation, and lowering the overall efficiency of the system at high rates that exceed IEEE 519 harmonic standards. This paper develops a thorough design and critical analysis of four topologies of harmonic passive filter, including single-tuned filter (STF), double-tuned filter (DTF), high-pass filter (HPF), and C-type high-pass filter (CHPF), to alleviate harmonics and enhance power quality on grid-tied charging stations of electric vehicles. A generalized structure is modeled and simulated in MATLAB/Simulink R2021a at a charging load of an EV charging load for all the filters under the same conditions and evaluated based on the current THD (ITHD), voltage THD (VTHD), input power factor (PF), voltage regulation (VR), and efficiency (η). The findings show that STF has an ITHD of 8.3%, VTHD of 4.6%, PF of 0.92, VR of 6.2%, and efficiency of 91.3%; DTF has an ITHD of 6.1%, VTHD of 3.9%, PF of 0.95, VR of 5.4%, and 93.5%; HPF has an ITHD of 5.6%, VTHD of 3.5%, 0.96 PF, 5.0% of VR, and 94.2% efficiency. The effectiveness of the proposed CHPH is superior to all other traditional approaches and has the lowest ITHD and VTHD, 3.7% and 2.1%, respectively, the highest PF of 0.987, a better VR of 3.8%, and a higher efficiency of 96.2%. The proposed CHPF shows the high-performance characteristics as reflected in the harmonic reduction, improved voltage stability, power factor, and efficiency. The suggested CHPF complies with IEEE 519 standards and provides better grid compatibility with modern EV charging applications. Full article
(This article belongs to the Proceedings of The 6th International Electronic Conference on Applied Sciences)
Show Figures

Figure 1

20 pages, 11684 KB  
Article
Adaptive Digital Twin Modeling with Control: Integration of Extended Kalman Filter-Based Recursive Sparse Nonlinear Identification with Model Predictive Control
by Jingyi Wang, Liang Cao, Yankai Cao and Bhushan Gopaluni
Sensors 2026, 26(5), 1734; https://doi.org/10.3390/s26051734 - 9 Mar 2026
Abstract
The adoption of digital twins has revolutionized industrial process simulation, monitoring, and control effectiveness. However, practical implementations of digital twins are hindered by substantial challenges, including extended development time, diminishing model accuracy, and restricted interactive capabilities. Addressing these critical issues, this paper proposes [...] Read more.
The adoption of digital twins has revolutionized industrial process simulation, monitoring, and control effectiveness. However, practical implementations of digital twins are hindered by substantial challenges, including extended development time, diminishing model accuracy, and restricted interactive capabilities. Addressing these critical issues, this paper proposes a comprehensive digital twin development framework that integrates digital twin identification, real-time model updating, and advanced process control. The proposed approach first identifies the offline digital twin model through the sparse identification of a nonlinear dynamics algorithm, reducing the digital twin development time while maintaining model fidelity. Then, the identified model is updated by the extended Kalman filter to mitigate the problem of diminishing accuracy. Finally, incorporating the latest updated model into the model predictive control facilitates the control inputs optimization and enhances the interactive capacity of digital twins. Through one industrial case study and two simulation examples, the advantages of the proposed algorithm are demonstrated. Full article
Show Figures

Figure 1

22 pages, 1479 KB  
Article
HDCF-Mamba: Bridging Global Dependencies and Local Dynamics for Multi-Scale PV Forecasting
by Wenzhuo Shi, Hongtian Zhao, Siyin Deng and Aojie Sun
Energies 2026, 19(5), 1315; https://doi.org/10.3390/en19051315 - 5 Mar 2026
Viewed by 105
Abstract
The inherent randomness, high volatility, and non-stationarity of photovoltaic (PV) power generation pose substantial threats to the stability of modern power grids. Developing high-precision forecasting models is essential for grid operation, yet conventional architectures often encounter a performance bottleneck: they struggle to simultaneously [...] Read more.
The inherent randomness, high volatility, and non-stationarity of photovoltaic (PV) power generation pose substantial threats to the stability of modern power grids. Developing high-precision forecasting models is essential for grid operation, yet conventional architectures often encounter a performance bottleneck: they struggle to simultaneously achieve high computational efficiency for long-range dependency modeling and robust perception for local, abrupt fluctuations. To address these limitations, this paper proposes HDCF-Mamba, a novel forecasting framework that resolves the feature distribution gap between long-range trends and short-term volatility. The core innovation lies in the Heterogeneous Dual-branch Cross-Fusion (HDCF) mechanism, which enables the synergetic integration of a Mamba-based global branch and a Multi-Kernel Filter Unit-based multi-scale local branch. Specifically, we integrate the Mamba Selective State Space Mechanism into the global branch to efficiently capture long-term dependencies with O(L) linear complexity, fundamentally overcoming the quadratic computational bottleneck of Transformers. Meanwhile, the Multi-Scale Feature Extraction Module (MSFEM) acts as a local compensator to capture high-frequency power fluctuations caused by transient weather changes. Unlike simple hybrid models that rely on linear addition, our HDCF design utilizes a temporal concatenation mechanism to ensure non-linear alignment of these heterogeneous features. Extensive experiments on four real-world PV operational datasets (including publicly available benchmark datasets and actual photovoltaic power station monitoring data: ECD-PV, LSP-PV, APS-PV, and PSB-PV) demonstrate that HDCF-Mamba consistently outperforms state-of-the-art models, achieving a reduction in Mean Absolute Error (MAE) of up to 11.4% compared to iTransformer and 8% compared to SCINet, while maintaining superior computational efficiency. Full article
Show Figures

Figure 1

30 pages, 9900 KB  
Article
Multimodal Weak Texture Remote Sensing Image Matching Based on Normalized Structural Feature Transform
by Qiang Xiong, Xiaojuan Liu, Xuefeng Zhang and Tao Ke
Remote Sens. 2026, 18(5), 775; https://doi.org/10.3390/rs18050775 - 4 Mar 2026
Viewed by 183
Abstract
Significant nonlinear radiation differences and weak texture differences exist between multimodal weak texture remote sensing images (MWTRSIs). When using traditional methods to match MWTRSIs, the low distinguishability of descriptors in weak texture regions results in poor matching performance. A robust matching method is [...] Read more.
Significant nonlinear radiation differences and weak texture differences exist between multimodal weak texture remote sensing images (MWTRSIs). When using traditional methods to match MWTRSIs, the low distinguishability of descriptors in weak texture regions results in poor matching performance. A robust matching method is proposed based on normalized structural feature transform (NSFT), which can extract spatial structural features of images while mitigating nonlinear radiation differences between weak texture regions. First, the bilateral filter is used to transform the weak texture remote sensing image into a normalized image, which not only greatly weakens the nonlinear radiation difference but also retains most of the structural information. Then, the UC-KAZE detector is designed to extract many evenly distributed feature points on the normalized image. Subsequently, a multimodal weak texture feature descriptor with rotation invariance is designed based on the self-similarity of the weak texture image. Finally, the initial correspondences are constructed by bilateral matching, and the mismatches are removed by the fast sample consensus (FSC) algorithm. We perform comparison experiments on eight types of MWTRSIs. The results show that the proposed method has good scale and rotation invariance and good resistance to nonlinear radiation differences and weak texture differences. Full article
Show Figures

Figure 1

28 pages, 2739 KB  
Article
Sideslip Angle Estimation for Electric Vehicles Based on Adaptive Weight Fusion: Collaborative Optimization of Robust Observer and Kalman Filter
by Xi Chen, Kanghui Cheng, Te Chen, Guowei Dou, Xinlong Cheng and Xiaoyu Wang
Algorithms 2026, 19(3), 189; https://doi.org/10.3390/a19030189 - 3 Mar 2026
Viewed by 122
Abstract
Accurate estimation of vehicle sideslip angle is vital for the stability and safety of four-wheel independent drive electric vehicles (4WIDEVs), but it faces challenges, including model uncertainties caused by tire yaw stiffness variations and system delays. This paper proposes a novel adaptive fusion [...] Read more.
Accurate estimation of vehicle sideslip angle is vital for the stability and safety of four-wheel independent drive electric vehicles (4WIDEVs), but it faces challenges, including model uncertainties caused by tire yaw stiffness variations and system delays. This paper proposes a novel adaptive fusion strategy that combines the dynamic robust observer (DRO) and the improved adaptive square-root unscented Kalman filter (ASUKF). The DRO is designed based on a two-degrees-of-freedom vehicle model and ensures stability through linear matrix inequalities (LMIs), effectively handling parameter uncertainties and time delays; the ASUKF utilizes a three-degrees-of-freedom model and the magic formula tire model, combined with Sage–Husa adaptive filtering, to address the nonlinear tire dynamics. The key innovation of this paper is the introduction of a fuzzy-rule-based adaptive weighting mechanism that dynamically adjusts the fusion weights of the DRO and ASUKF in real time, thereby exploiting their complementary advantages under uncertainty and nonlinear conditions. The simulation and experimental validations demonstrate that this method significantly improves estimation accuracy, reducing the estimation error of vehicle sideslip angle by an average of 9.36%, and maintains robust performance and dynamic adaptability in various conditions, providing a reliable solution for the real-time state estimation of intelligent electric vehicles. Full article
Show Figures

Figure 1

31 pages, 10970 KB  
Article
Robust Soil Salinity Retrieval Under Small-Sample and High-Dimensional Hyperspectral Conditions via Physically Constrained Generative Augmentation
by Shan Yu, Lide Su, Wala Du, Deji Wuyun, Han Gao, Liangliang Yu, Yuxin Zhao, A Ruhan and Rong Li
Remote Sens. 2026, 18(5), 759; https://doi.org/10.3390/rs18050759 - 2 Mar 2026
Viewed by 206
Abstract
Soil salinity mapping in heterogeneous irrigation districts faces a dual challenge: the high dimensionality of hyperspectral data leads to redundancy, while the scarcity of ground-truth samples restricts the generalization of data-driven models. Traditional regression methods often struggle to capture non-linear spectral responses under [...] Read more.
Soil salinity mapping in heterogeneous irrigation districts faces a dual challenge: the high dimensionality of hyperspectral data leads to redundancy, while the scarcity of ground-truth samples restricts the generalization of data-driven models. Traditional regression methods often struggle to capture non-linear spectral responses under such “small-sample” conditions. To address these limitations, this study proposes a semi-supervised retrieval framework coupling Optimal Band Combination Analysis (OBCA) with a Spectral Wasserstein GAN with Gradient Penalty (S-WGAN-GP). We constructed a robust feature set via cross-scenario evaluation and developed a rigorous “Uncertainty-Aware Filtering” protocol to screen synthetic samples generated by a teacher mechanism. The OBCA screening revealed that salinity-sensitive features are robustly clustered in the Green (550–570 nm) and Near-Infrared (NIR, 880–950 nm) regions, with NIR bands demonstrating superior stability across different sites. The proposed S-WGAN-GP successfully densified the feature manifold by generating 1186 high-fidelity synthetic samples. By incorporating these augmented data, the inversion accuracy was substantially improved: the R2 of the optimal SVR model increased from 0.36 (baseline) to 0.60 (+66.7%), and the RMSE decreased from 7.06 to 5.57 dSm−1. This study confirms that physically constrained generative augmentation, when combined with rigorous quality control, effectively bridges the distribution gap in limited datasets. The proposed framework offers a transferable and accurate solution for fine-scale soil salinity monitoring in data-scarce arid regions. Full article
Show Figures

Figure 1

27 pages, 2569 KB  
Article
A Combined Kalman Filter–LSTM to Forecast Downside Risk of BWP/USD Returns: A Bottom-Up Hierarchical Approach
by Katleho Makatjane and Diteboho Xaba
Forecasting 2026, 8(2), 21; https://doi.org/10.3390/forecast8020021 - 2 Mar 2026
Viewed by 241
Abstract
This paper offers a hybrid forecasting approach that merges a local-level state space Kalman filter with a Long-Short-Term Memory (LSTM) neural network to assess the downside risk of the Botswana Pula versus the US Dollar (BWP/USD). Inspired by the inability of conventional econometric [...] Read more.
This paper offers a hybrid forecasting approach that merges a local-level state space Kalman filter with a Long-Short-Term Memory (LSTM) neural network to assess the downside risk of the Botswana Pula versus the US Dollar (BWP/USD). Inspired by the inability of conventional econometric models to capture complex latent structural shifts and nonlinear patterns, our architecure uses a bottom-up hierarchical methodology in which the smoothed level component of the exchange rate is isolated by the Kalman filter and subsequently fed into the LSTM architecture. Three key indicators for assessing downside risk—Maximum Drawdown (MDD), Conditional Drawdown-at-Risk (CDaR), and Downside Deviation—are used to assess model performance across various time-frames (7, 30, 90, 180, and 240 days). As confirmed by Kupiec and Christoffersen’s backtesting processes, the findings show a high degree of alignment between projected and actual values, with negligible downside deviation bias and robust calibration. Moreover, global economic and geopolitical shocks, such as the COVID-19 pandemic, the Russia–Ukraine conflict, and the 2015–2016 Shanghai Stock Exchange crash, are important factors that influence exchange rate volatility, according to explainable artificial intelligence techniques, particularly SHAP (SHapley Additive exPlanations) analysis. Downside risk is also greatly increased by regional currency links, especially the impact of the ZAR/BWP exchange rate. On the other hand, domestic temporal variables, such as week, quarter, and month, have very little impact. These results emphasise how Botswana’s currency rate is structurally vulnerable to external shocks and how crucial it is to include both global and regional considerations in risk analysis. The research concludes that the accuracy and transparency of projections for exchange rate risk significantly improve when practical filtering is combined with deep learning and explainable AI. To improve macroeconomic resilience and guide successful financial risk management plans in emerging market environments, policymakers are advised to employ AI-driven forecasting techniques, enhance regional monetary coordination, and set up real-set learning systems. Full article
(This article belongs to the Section AI Forecasting)
Show Figures

Figure 1

15 pages, 977 KB  
Article
Particle-in-Cell Simulations of Laser Crossbeam Energy Transfer via Magnetized Ion-Acoustic Wave
by Yuan Shi and John D. Moody
Physics 2026, 8(1), 25; https://doi.org/10.3390/physics8010025 - 1 Mar 2026
Viewed by 136
Abstract
Magnetic fields, either imposed externally or produced spontaneously, are often present in laser-driven high-energy-density systems. In addition to changing plasma conditions, magnetic fields also directly modify laser–plasma interactions (LPI) by changing the participating waves and their nonlinear interactions. In this paper, we use [...] Read more.
Magnetic fields, either imposed externally or produced spontaneously, are often present in laser-driven high-energy-density systems. In addition to changing plasma conditions, magnetic fields also directly modify laser–plasma interactions (LPI) by changing the participating waves and their nonlinear interactions. In this paper, we use two-dimensional particle-in-cell (PIC) simulations to investigate how magnetic fields directly affect crossbeam energy transfer (CBET) from a pump to a seed laser beam when the transfer is mediated by the ion-acoustic wave (IAW) quasimode. Our simulations are performed in the parameter space where CBET is the dominant process and in a linear regime, where pump depletion, distribution function evolution, and secondary instabilities are insignificant. We use a Fourier filter to separate out the seed signal and project the seed fields onto two electromagnetic eigenmodes, which become nondegenerate in magnetized plasmas. By comparing the seed energy before CBET occurs and after CBET reaches quasi-steady state, we extract the CBET energy gains for both eigenmodes in lasers that are initially linearly polarized. Our simulations reveal that, starting from a few MG fields, the two eigenmodes have different gains, and magnetization alters the dependence of the gains on laser detuning. The overall gain decreases with magnetization when the laser polarizations are initially parallel, while a nonzero gain becomes allowed when the laser polarizations are initially orthogonal. These findings qualitatively agree with theoretical expectations. Full article
Show Figures

Figure 1

24 pages, 2789 KB  
Article
Optimized Hybrid EV Charging System Interconnected with the Grid
by Amritha Kodakkal, Rajagopal Veramalla, Surender Reddy Salkuti and Leela Deepthi Gottimukkula
World Electr. Veh. J. 2026, 17(3), 119; https://doi.org/10.3390/wevj17030119 - 27 Feb 2026
Viewed by 179
Abstract
As the oil price has skyrocketed, the attraction towards electric vehicles has gone up. This scenario has also increased the demand for charging infrastructure. This paper proposes a novel charging infrastructure for electric vehicles which is energized by a solar photovoltaic unit, integrated [...] Read more.
As the oil price has skyrocketed, the attraction towards electric vehicles has gone up. This scenario has also increased the demand for charging infrastructure. This paper proposes a novel charging infrastructure for electric vehicles which is energized by a solar photovoltaic unit, integrated with a distribution static compensator. The output of the photovoltaic array is regulated by a DC–DC converter, which uses maximum power point tracking to support optimal solar energy conversion. The compensator is integrated into the grid through a zigzag-star transformer, which helps with neutral current compensation, promoting balanced and distortion-free operation. The control algorithm is designed to ensure superior power quality during grid synchronization and sustainable energy management. This novel architecture ensures bidirectional power flow, enabling the charge–discharge dynamics of the electric vehicles, which can be termed Grid-to-Vehicle and Vehicle-to-Grid modes. Better grid flexibility and resilience are ensured by this dynamic power exchange. The control strategy based on the Linear Kalman Filter provides reactive power balance and maintains steady voltage at the point of common coupling, and it ensures enhanced power quality during power flow, resulting in efficient and reliable grid operations. The effectiveness of the control algorithm is tested and validated under Grid-to-Vehicle, Vehicle-to-Grid, nonlinear, unbalanced, and isolated solar conditions. Analytical tuning of the gains in the controller, by using the conventional methods, is not efficient under dynamic conditions and nonlinear loads. An optimization technique is used to estimate the proportional–integral control gains, which avoids the difficulty of tuning the controllers. Simulation of the system is carried out using MATLAB 2022b/SIMULINK. Simulation results under diverse operating scenarios confirm the system’s capability to sustain superior power quality, maintain grid stability, and support a robust and reliable charging infrastructure. By enabling regulated bidirectional energy exchange and autonomous operation during grid disturbances, the charger operates as a resilient grid-support asset rather than as a passive electrical load. Full article
(This article belongs to the Section Charging Infrastructure and Grid Integration)
Show Figures

Figure 1

25 pages, 6045 KB  
Article
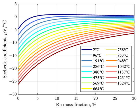
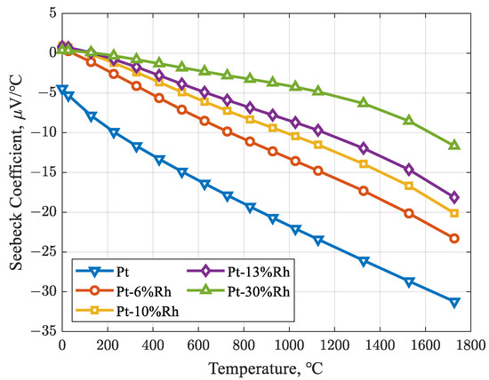
Data-Driven Remaining Useful Life Prediction for Pt–Rh Thermocouples Using an Extended Kalman Filter
by Na Li, Siyang Dai, Yi Liu, Yunlong Zhu, Jitao Li and Xiaojin Huang
Sensors 2026, 26(5), 1483; https://doi.org/10.3390/s26051483 - 26 Feb 2026
Viewed by 274
Abstract
Platinum (Pt)–Rhodium (Rh) thermocouples are widely used in industrial processes such as chemical and nuclear power production, serving as one of the most common temperature measuring instruments and playing a vital role in real-time condition monitoring. However, the measurement accuracy can be affected [...] Read more.
Platinum (Pt)–Rhodium (Rh) thermocouples are widely used in industrial processes such as chemical and nuclear power production, serving as one of the most common temperature measuring instruments and playing a vital role in real-time condition monitoring. However, the measurement accuracy can be affected by harsh high-temperature operating environments, which may cause measurement drift or even functional failure. To address this challenge, and considering the very slow drift of Pt–Rh thermocouples over long time scales, a back-propagation neural network (BPNN) is introduced to compensate for the nonlinear error introduced by the linearization step of the extended Kalman filter (EKF). This combined algorithm enhances the accuracy of remaining useful life (RUL) prediction for Pt–Rh thermocouples. First, based on the Seebeck effect and vapor-transport theory, a degradation model for Pt–Rh thermocouples operating at high temperatures was developed. The simulation results of the degradation model align with laboratory degradation test data, confirming the validity of the model. Subsequently, the improved RUL prediction algorithm was compared with other methods. The results show that the EKF–BPNN hybrid approach provides better prediction accuracy for objects with slow degradation and weak nonlinearity, with MAE 0.0016%, RMSE 0.0019%, MAPE 0.039%, R2 0.9833, respectively. Algorithms with strong nonlinear estimation capability introduce larger errors and are not suited for RUL prediction of Pt–Rh thermocouples. Therefore, the proposed hybrid EKF–BPNN algorithm is optimal for RUL prediction of Pt–Rh thermocouples degrading under high temperature conditions. Full article
(This article belongs to the Section Industrial Sensors)
Show Figures

Figure 1

27 pages, 5347 KB  
Article
Size- and Concentration-Resolved Detection of PET Microplastics in Real Water via Excitation–Emission Matrix Fluorescence Quenching of Polyamide-Derived Carbon Quantum Dots
by Christian Ebere Enyoh and Qingyue Wang
Sensors 2026, 26(5), 1445; https://doi.org/10.3390/s26051445 - 26 Feb 2026
Viewed by 271
Abstract
The selective detection of microplastics (MPs) in aquatic environments is hindered by particle size diversity and matrix-induced interferences. This study reports an excitation–emission matrix (EEM) fluorescence sensing platform using polyamide-derived carbon quantum dots (PACQDs; 0.5–2.6 nm) for the size- and concentration-resolved detection of [...] Read more.
The selective detection of microplastics (MPs) in aquatic environments is hindered by particle size diversity and matrix-induced interferences. This study reports an excitation–emission matrix (EEM) fluorescence sensing platform using polyamide-derived carbon quantum dots (PACQDs; 0.5–2.6 nm) for the size- and concentration-resolved detection of polyethylene terephthalate MPs (PETMPs). PACQDs exhibited a pronounced fluorescence “turn-off” response upon PETMP interaction, governed by particle size (10–149 μm) and loading (4–8 g L−1). Small PETMPs (10 μm) followed linear Stern–Volmer behavior, achieving a detection limit of 1.67 mg L−1 in deionized water. Conversely, larger particles induced non-linear optical effects, including scattering-driven enhancement and inner-filter effects. Multivariate analysis using PCA and PARAFAC resolved three distinct components associated with surface-state quenching, scattering-mediated redistribution, and surface area-driven binding. Component-specific scores confirmed that PACQDs are most sensitive to small PETMPs, while larger particles primarily introduce optical interference. Selectivity tests showed distinct discrimination of PETMPs over polyamide and polypropylene. In tap water, significant matrix effects were corrected via matrix-matched calibration, achieving recoveries within 80–120%. This study establishes EEM-based multivariate fluorescence as a mechanism-informed strategy for PETMP sensing, highlighting the robust applicability of PACQDs for monitoring small PETMPs in real-world water matrices. Full article
(This article belongs to the Section Optical Sensors)
Show Figures

Figure 1

17 pages, 1450 KB  
Article
Research on SoC Estimation of Lithium Batteries Based on LDL-MIAUKF Algorithm
by Zhihua Xu and Tinglong Pan
Eng 2026, 7(3), 100; https://doi.org/10.3390/eng7030100 - 24 Feb 2026
Viewed by 164
Abstract
Accurate state-of-charge (SoC) estimation is essential for ensuring the safety, efficiency, and longevity of lithium-ion batteries in electric vehicles and energy storage systems. However, conventional methods such as ampere-hour (AH) integration and the extended Kalman filter (EKF) often suffer from error accumulation, sensitivity [...] Read more.
Accurate state-of-charge (SoC) estimation is essential for ensuring the safety, efficiency, and longevity of lithium-ion batteries in electric vehicles and energy storage systems. However, conventional methods such as ampere-hour (AH) integration and the extended Kalman filter (EKF) often suffer from error accumulation, sensitivity to initial conditions, and inadequate handling of strong nonlinearities and time-varying noise. To overcome these limitations, this paper proposes a novel LDL-Decomposition-Based Multi-Innovation Adaptive Unscented Kalman Filter (LDL-MIAUKF) algorithm that integrates three key innovations: (1) multi-innovation theory to exploit historical measurement sequences for enhanced state correction; (2) an adaptive mechanism to dynamically adjust process and observation noise covariances in real time; and (3) LDL decomposition (instead of Cholesky) to guarantee numerical stability and positive definiteness of the covariance matrix during sigma point generation. A second-order RC equivalent circuit model is established for the lithium battery, and its parameters are identified online using the forgetting factor recursive least squares (FFRLS) method under Hybrid Pulse Power Characterization (HPPC) test conditions. The proposed LDL-MIAUKF algorithm is then applied to estimate SoC using real battery data. Experimental results demonstrate that the LDL-MIAUKF achieves a maximum SoC estimation error of less than 1% at 25 °C and effectively tracks the reference SoC with high robustness. Furthermore, the terminal voltage prediction error of the identified model remains within ±0.1 V, confirming model accuracy. These results validate that the proposed LDL-MIAUKF algorithm significantly improves estimation accuracy, stability, and adaptability, making it a promising solution for advanced battery management systems. Full article
(This article belongs to the Section Electrical and Electronic Engineering)
Show Figures

Figure 1

17 pages, 828 KB  
Article
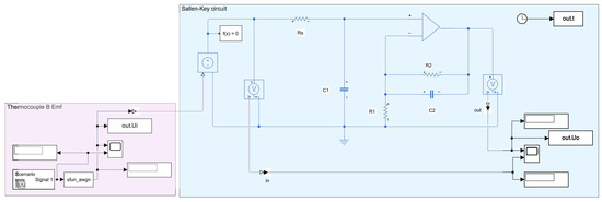
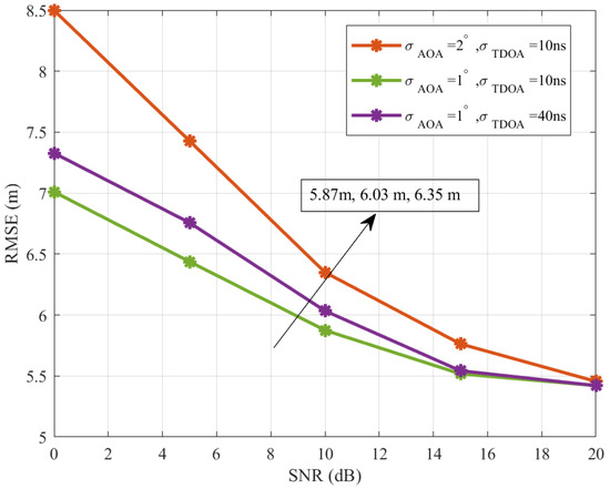
Positioning of UAVs in Urban Environments Using Fusion of TDOA and AOA Data Based on Extended Kalman Filter
by Qiang Guo, Rongzhi Gu, Lijun Bian, Maolin Lu, Ning Mao, Zixin Jia, Yan Huo, Jiangying Du, Yue Jin and Zelin Liang
Electronics 2026, 15(5), 907; https://doi.org/10.3390/electronics15050907 - 24 Feb 2026
Viewed by 252
Abstract
Unmanned aerial vehicles (UAVs) have been extensively deployed across a range of applications thank to their flexibility and low cost. While this expansion has significantly improved their operational efficiency and service capacity, it has also posed challenges for UAV supervision and management systems. [...] Read more.
Unmanned aerial vehicles (UAVs) have been extensively deployed across a range of applications thank to their flexibility and low cost. While this expansion has significantly improved their operational efficiency and service capacity, it has also posed challenges for UAV supervision and management systems. To address these issues, this paper proposes a three-dimensional (3D) localization method that integrates time difference of arrival (TDOA) and angle of arrival (AOA) measurements based on the extended Kalman filter (EKF). Specifically, for AOA-based positioning, a uniform circular array (UCA) is employed to capture spatial signal characteristics, and the multiple-signal classification (MUSIC) algorithm is applied to precisely estimate the azimuth and elevation angles of incoming signals. In TDOA-based localization, a multipath signal separation and identification algorithm is implemented to enhance robustness against multipath propagation in complex environments. Subsequently, the TDOA and AOA measurements are fused using the EKF, where nonlinear measurement models are linearized via Jacobian matrices to improve computational efficiency and estimation accuracy. Finally, simulation results demonstrate that the proposed hybrid localization method outperforms existing positioning methods that rely solely on AOA or TDOA, achieving a positioning accuracy of approximately 5 m and an angular error within 3°, which is suitable for applications in multipath environments such as urban areas. Full article
Show Figures

Figure 1

Back to TopTop