A Strategic Bargaining Game for a Spectrum Sharing Scheme in Cognitive Radio-Based Heterogeneous Wireless Sensor Networks
Abstract
:1. Introduction
- In HWSN, not only are the differences (e.g., frequency band, bandwidth) between licensed users considered, but the discrepancies (e.g., hardware, space, and wireless environment) between unlicensed users are taken into account.
- Since there is no need to know competitors’ information, the non-cooperative game model no longer needs a central controller (base station or auctioneer). The advantages are that users in our model are adaptive and networks are distributed, which cannot be achieved by most existing schemes.
- The proposed scheme can be implemented in two scenarios according to the supply-and-demand relationship, i.e., less or more licensed radio spectrum supply than network demand.
2. Proposed Spectrum-Sharing Scheme
2.1. System Model
2.2. Utility Function
2.3. Strategic Bargaining
2.3.1. One Round of Bargaining (the Ultimatum Game)
2.3.2. Finitely Many Rounds of Bargaining
2.4. Integrity Monitoring Mechanism
- Case 1:
- Single unlicensed user is dishonest: Located on the straight line with maximal utility; if they become dishonest, as shown in Figure 5, case 1.1, case 1.2, or case 1.3 will occur.
- Case 2:
- Single unlicensed user is dishonest: Not located on the straight line with maximal utility; therefore, their dishonesty cannot affect the licensed user’s strategy.
- Case 3:
- All unlicensed users are dishonest: The peak of each straight line will reduce, leading to a reduction in a licensed user’s utility.
- Case 4:
- Some unlicensed users are dishonest; this case can be analyzed using Cases 1, 2, and 3.
3. Results
3.1. Nash Bargaining Solution
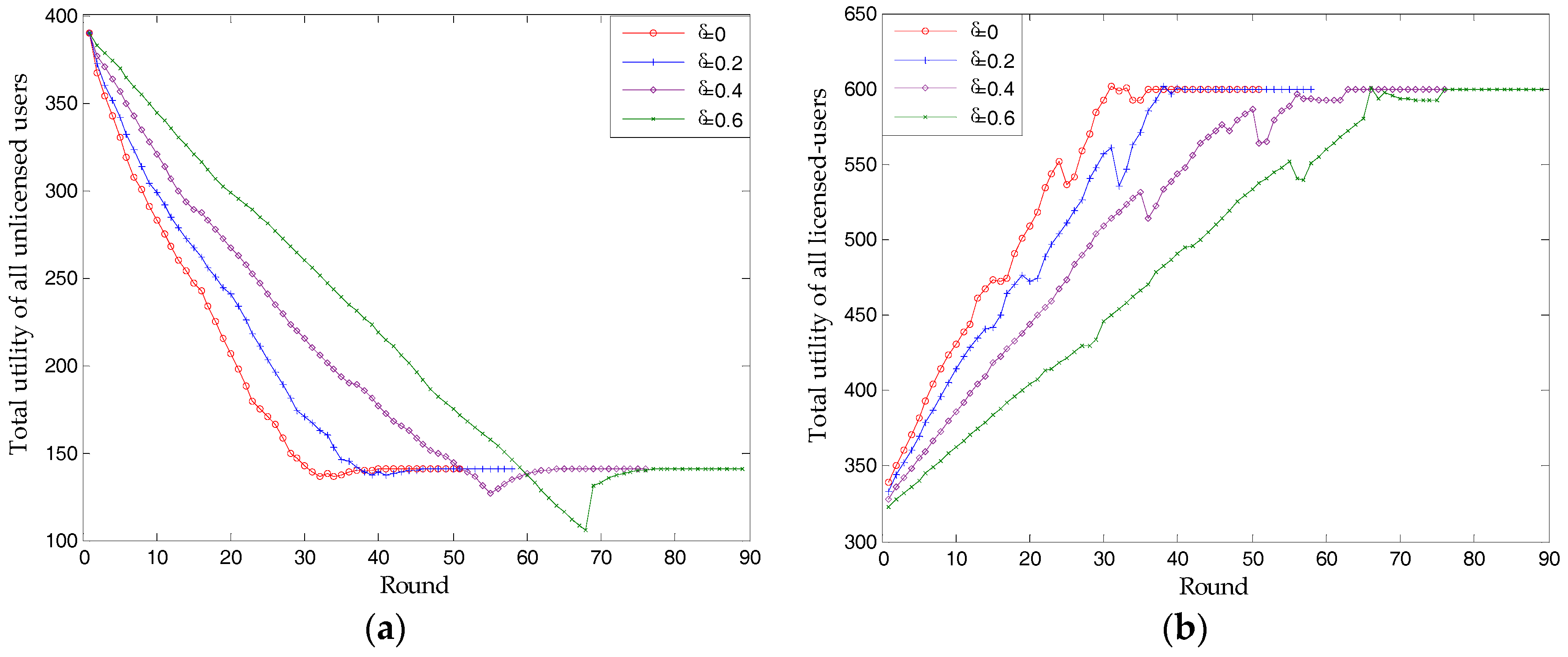
3.2. The Influence of Dishonest Unlicensed Users
3.3. Other Simulations
3.4. Comparison with Existing Schemes
4. Discussion
Acknowledgments
Author Contributions
Conflicts of Interest
References
- Teng, F.; Guo, D.; Honig, M.L. Sharing of unlicensed spectrum by strategic operators. IEEE J. Sel. Areas Commun. 2014. [Google Scholar] [CrossRef]
- Zhao, Q.; Sadler, B.M. A survey of dynamic spectrum access. IEEE Signal Process. Mag. 2007, 24, 79–89. [Google Scholar] [CrossRef]
- Prasad, R.V.; Pawelczak, P.; Hoffmeyer, J.A.; Berger, H.S. Cognitive functionality in next generation wireless networks: Standardization efforts. IEEE Commun. Mag. 2008, 46, 72–78. [Google Scholar] [CrossRef]
- Cavalcanti, D.; Das, S.; Wang, J.; Challapali, K. Cognitive Radio Based Wireless Sensor Networks. In Proceedings of the IEEE International Conference on Computer Communications and Networks, St. Thomas U.S. Virgin Islands, USA, 3–7 August 2008; Volume 123, pp. 1–6. [Google Scholar]
- Askari, M.; Kavian, Y.S.; Kaabi, H.; Rashvand, H.F. A channel assignment algorithm for Cognitive Radio wireless sensor networks. In Proceedings of the IET Conference on Wireless Sensor Systems (WSS 2012), London, UK, 18–19 June 2012; pp. 1–4. [Google Scholar]
- Krichen, D.; Abdallah, W.; Boudriga, N. An optimized spectrum allocation scheme for future aircraft Cognitive Radio Wireless Sensor Networks. In Proceedings of the IEEE International Symposium on Communications and Information Technologies, Incheon, Korea, 24–26 September 2014; pp. 107–111. [Google Scholar]
- Yang, X.; Tan, X.; Yu, Y. Spectrum Pricing Research Based on Game Theory in Cognitive Radio Networks. In Proceedings of the IEEE Third International Conference on Instrumentation, Measurement, Computer, Communication and Control, Shenyang, China, 21–23 September 2013; pp. 1375–1378. [Google Scholar]
- Sun, S.; Chen, N.; Ran, T.; Xiao, J.; Tian, T. A stackelberg game spectrum sharing scheme in cognitive radio-based heterogeneous wireless sensor networks. Signal Process. 2016, 126, 18–26. [Google Scholar] [CrossRef]
- Niyato, D.; Hossain, E. Market-equilibrium, competitive, and cooperative pricing for spectrum sharing in cognitive radio networks: analysis and comparison. IEEE Trans. Wirel. Commun. 2008, 7, 4273–4283. [Google Scholar] [CrossRef]
- Yi, C. Auction-based Spectrum Sharing in Multi-Channel Cognitive Radio Networks with Heterogeneous Users. In Proceedings of the Information Theory and Applications Workshop, San Diego, CA, USA, 9–14 February 2014. [Google Scholar]
- Xiao, Y.; Bi, G.; Niyato, D. Distributed optimization for cognitive radio networks using Stackelberg game. In Proceedings of the IEEE International Conference on Communication Systems, Singapore, 17–19 November 2010; pp. 77–81. [Google Scholar]
- Kim, S. Multi-leader multi-follower stackelberg model for cognitive radio spectrum sharing scheme. Comput. Netw. 2012, 56, 3682–3692. [Google Scholar] [CrossRef]
- Yi, C.; Cai, J. Two-stage spectrum sharing with combinatorial auction and stackelberg game in recall-based cognitive radio networks. IEEE Trans. Commun. 2014, 62, 3740–3752. [Google Scholar] [CrossRef]
- Zhan, S.C.; Chang, S.C. Double auction design for short-interval and heterogeneous spectrum sharing. IEEE Trans. Cognit. Commun. Netw. 2016, 2, 83–94. [Google Scholar] [CrossRef]
- Lim, H.J.; Song, M.G.; Im, G.H. Cooperation-based dynamic spectrum leasing via multi-winner auction of multiple bands. IEEE Trans. Commun. 2013, 61, 1254–1263. [Google Scholar]
- Teng, Y.; Yu, F.R.; Wei, Y.; Wang, L.; Zhang, Y. Behavior modeling for spectrum sharing in wireless cognitive networks. Wirel. Netw. 2012, 18, 929–947. [Google Scholar] [CrossRef]
- Kim, S. A repeated bayesian auction game for cognitive radio spectrum sharing scheme. Comput. Commun. 2013, 36, 939–946. [Google Scholar] [CrossRef]
- Han, Z.; Zheng, R.; Poor, H.V. Repeated auctions with bayesian nonparametric learning for spectrum access in cognitive radio networks. IEEE Trans. Wirel. Commun. 2011, 10, 890–900. [Google Scholar] [CrossRef]
- Xu, W.; Wang, J. Double auction based spectrum sharing for wireless operators. In Proceedings of the IEEE International Symposium on Personal Indoor and Mobile Radio Communications, Instanbul, Turkey, 26–30 September 2010; Volume 45, pp. 2650–2654. [Google Scholar]
- Li, Y.; Wang, X.; Guizani, M. Resource Pricing with Primary Service Guarantees in Cognitive Radio Networks: A Stackelberg Game Approach. In Proceedings of the IEEE Global Telecommunications Conference (GLOBECOM), Honolulu, HI, USA, 30 November–4 December 2009; pp. 1–5. [Google Scholar]
- Zeng, B.; Zhang, C.; Hu, P.; Wang, S. Spectrum sharing based on a bertrand game in cognitive radio sensor networks. Sensors 2017, 17, 101. [Google Scholar] [CrossRef] [PubMed]
- Niyato, D.; Hossain, E.; Han, Z. Dynamics of multiple-seller and multiple-buyer spectrum trading in cognitive radio networks: A game-theoretic modeling approach. IEEE Trans. Mob. Comput. 2009, 8, 1009–1022. [Google Scholar] [CrossRef]
- Suris, J.E.; Dasilva, L.A.; Han, Z.; Mackenzie, A.B.; Komali, R.S. Asymptotic optimality for distributed spectrum sharing using bargaining solutions. IEEE Trans. Wirel. Commun. 2009, 8, 5225–5237. [Google Scholar] [CrossRef]
- Wu, Y.; Song, W.Z. Cooperative resource sharing and pricing for proactive dynamic spectrum access via nash bargaining solution. IEEE Trans. Parallel Distrib. Syst. 2014, 25, 2804–2817. [Google Scholar] [CrossRef]
- Niyato, D.; Hossain, E. A Game-Theoretic Approach to Competitive Spectrum Sharing in Cognitive Radio Networks. In Proceedings of the IEEE Wireless Communications and Networking Conference (WCNC), Kowloon, China, 11–15 March 2007; pp. 16–20. [Google Scholar]
- Goldsmith, A.J.; Chua, S.G. Variable-rate variable-power MQAM for fading channels. IEEE Trans. Commun. 1997, 45, 1218–1230. [Google Scholar] [CrossRef]
- Tadelis, S. Game Theory: An Introduction; Princeton University Press: Princeton, NJ, USA, 2013. [Google Scholar]
- Dianati, M.; Shen, X.; Naik, S. A new fairness index for radio resource allocation in wireless networks. In Proceedings of the IEEE Wireless Communications and NETWORKING Conference, New Orleans, LA, USA, 13–17 March 2005; Volume 2, pp. 712–717. [Google Scholar]














| Features | Probability | (π, U) | |
|---|---|---|---|
| Cases | |||
| Case 1 | 1.1 | Low | (↓, ) |
| 1.2 | Lower | (?, ↓) | |
| 1.3 | Low | (↓, ↑) | |
| Case 2 | High | (—, —) | |
| Case 3 | Lowest | (↓, ?) | |
| M | the number of licensed users | the spectral efficiency of wireless communication by unlicensed user [2.063, 1.833, 1.726, 2.403 1.822, 2.129, 1.827, 1.964 2.229, 2.031, 1.994, 1.614 1.705, 2.285, 1.752, 1.782 2.182, 2.268, 2.305, 1.935 1.700, 2.147, 1.712, 2.105 1.900, 1.906, 1.747, 1.786 2.131, 2.280, 1.684, 2.112 2.256, 2.051, 1.749, 2.202 1.577, 1.878, 1.961, 1.742 2.367, 2.374, 1.838, 1.622 2.253, 2.329, 2.363, 1.823 2.009, 2.066, 1.956, 1.846 1.961, 2.129, 1.701, 1.950 1.972, 2.098, 2.350, 2.028] | |
| 4 | |||
| N | the number of unlicensed users | ||
| 15 | |||
| W/MHz | the bandwidth of each licensed users | ||
| [12, 28, 36, 24] (total: 100) | |||
| M’ | the number of ongoing licensed connections | ||
| [6, 14, 18, 12] | |||
| /MHz | the spectrum demand for an ongoing licensed connection | ||
| [2, 2, 2, 2] | |||
| P0 | the initial spectrum price | ||
| [6, 6, 6, 6] | |||
| P1/P2/P3/P4 | the spectrum price of licensed user 1/2/3/4 | ||
| δ | the dishonesty degree of unlicensed user | ||
| the target bit-error rate | |||
| 0.0001 | |||
| the weights for revenue/cost function | |||
| 2/2 | |||
| the income from the per-transmission rate of the unlicensed user | |||
| [5, 5, 5, 5, 5, 5, 5, 5, 5, 5, 5, 5, 5, 5, 5] | |||
| D/MHz | the spectrum demand of unlicensed user | ||
| [2, 4, 5, 8, 3, 9, 5, 2, 6, 6, 3, 7, 5, 6, 7] |
© 2017 by the authors. Licensee MDPI, Basel, Switzerland. This article is an open access article distributed under the terms and conditions of the Creative Commons Attribution (CC BY) license (http://creativecommons.org/licenses/by/4.0/).
Share and Cite
Mao, Y.; Cheng, T.; Zhao, H.; Shen, N. A Strategic Bargaining Game for a Spectrum Sharing Scheme in Cognitive Radio-Based Heterogeneous Wireless Sensor Networks. Sensors 2017, 17, 2737. https://doi.org/10.3390/s17122737
Mao Y, Cheng T, Zhao H, Shen N. A Strategic Bargaining Game for a Spectrum Sharing Scheme in Cognitive Radio-Based Heterogeneous Wireless Sensor Networks. Sensors. 2017; 17(12):2737. https://doi.org/10.3390/s17122737
Chicago/Turabian StyleMao, Yuxing, Tao Cheng, Huiyuan Zhao, and Na Shen. 2017. "A Strategic Bargaining Game for a Spectrum Sharing Scheme in Cognitive Radio-Based Heterogeneous Wireless Sensor Networks" Sensors 17, no. 12: 2737. https://doi.org/10.3390/s17122737
APA StyleMao, Y., Cheng, T., Zhao, H., & Shen, N. (2017). A Strategic Bargaining Game for a Spectrum Sharing Scheme in Cognitive Radio-Based Heterogeneous Wireless Sensor Networks. Sensors, 17(12), 2737. https://doi.org/10.3390/s17122737

