Efficient DV-HOP Localization for Wireless Cyber-Physical Social Sensing System: A Correntropy-Based Neural Network Learning Scheme
Abstract
:1. Introduction
2. Preliminaries
2.1. DV-HOP Algorithm
2.2. Received Signal Strength Indication
2.3. Extreme Learning Machine
| Algorithm 1 The kernel-based ELM with regularization. |
| Input: training samples {(, ) |, , }; the regularization parameter C; the kernel function ; the input of a random testing sample . (1) Calculate the kernel matrix of the given P training samples based on Equation (6); (2) Calculate the output of the test sample based on Equation (8). Output: the test sample . |
2.4. Correntropy
2.5. Regularization Correntropy Criterion-Based ELM
3. The Proposed Scheme
3.1. DV-HOP Localization with RSSI Based on ELM-RCC
- (1)
- Each anchor node delivers a beacon detail and RSSI packet to all neighboring nodes through broadcasting. The beacon message includes the identity of the anchor node, location coordinates , hop count value initialized to zero and the accumulated distance , which is initialized to zero, as well. Then, the format of the beacon message can be expressed as . When each neighboring node receives the broadcast, it updates the values of and through Equation (23) and then continues to broadcast the updated beacon message to other neighbor nodes.where “” is the estimated distance transformed by the RSSI value of this neighboring node [56]. Note that the increase of the number of RSSI samples could reduce the impact of noise on RSSI measurement. Thus, given a certain number of RSSI samples, we average all of the RSSI values in the same measurement. Then, “” can be defined by:where is the average RSSI values of this neighboring node.A node will compare the newly arriving with the existing once it receives a new packet of the same and will discard the new message of which the hop count is greater than the existing hop count. Otherwise, the new message would be adopted to replace the existing message of the same . After this process, all nodes in the framework will get the minimal hop count and the corresponding accumulated RSSI distance to every anchor node.
- (2)
- Once the minimal hop count of one anchor and the corresponding accumulated RSSI distances from the anchor to other anchors are obtained, naturally, an average hop size and RSSI range of one hop could be estimated easily. The average hop size written as and average RSSI distance written as per hop are then estimated by anchor node i as:where and are the coordinates of anchor j and anchor i, respectively. Additionally, is the minimum hop count between anchor node i and anchor node j; is the RSSI accumulated distance between anchor i and anchor j. Here, the number of anchor nodes is n.After obtaining the average hop size and the average hop RSSI distance, each anchor node transfers its hop size and average hop RSSI distance information. Once the unknown node gets the average hop RSSI range information from a certain anchor, as well as the hop size, it saves them as the average hop RSSI distance and the average hop size, then omits all of the subsequent information. Obviously, such a strategy guarantees that most of the unknown nodes will only receive the average hop size and average RSSI distance for one hop of the closest anchor nodes with the minimal hops.
- (3)
- The correction factor γ is estimated for the size of each hop through dividing the RSSI distance per hop, , by average RSSI distance per hop. Then, the correction hop size can be updated by multiplying the correction factor by the average hop size. Let m be the hop count of unknown node j and anchor i. Then, the distance between the anchor i and unknown node j could be gained by:where means the correction factor of the k-th hop from anchor i to unknown node j, means the RSSI range of the k-th hop and is the RSSI accumulated distance of anchor node i and unknown node j. From Equation (26), each unknown node could evaluate the distances to all anchor nodes on the basis of the stored information in packets, which include the accumulated RSSI distance to each anchor node, its own hop size and average RSSI distance per hop.
- (4)
- When the estimated distances from each anchor node to the unknown nodes are obtained, we will use the SLFN based on ELM-RCC to obtain the coordinates of these unknown nodes. The training samples for the SLFN using ELM-RCC are obtained from the virtual framework covering all cases [30]. If all nodes are deployed randomly in an area, training samples could be easily obtained. The inputs of these training datasets are the distances between every two coordinates from , , in the virtual complete topology to all anchor nodes, and the outputs of these samples are their corresponding coordinates. After getting the training samples, the SLFN using ELM-RCC is accordingly constructed and trained by using these training samples and learning algorithm ELM-RCC, then the coordinate of the unknown node j could be estimated by exploiting the trained SLFN on the basis of input vector , where q is the number of anchors, is the distance between unknown node j and anchor l, which could be obtained using Equation (26).
| Algorithm 2 DV-HOP localization scheme with RSSI based on ELM-RCC (RHOP-ELM-RCC). |
| Input: the distance between anchor l and unknown node j: . (1) Obtain the hop count and RSSI distance by broadcasting the beacon messages and RSSI packets of each anchor nodes; (2) Average hop size and calculate the mean value of RSSI distance per hop based on Equation (25); (3) Compute the distances between anchor nodes and unknown nodes with the correction factor γ on the basis of Equation (26); (4) Use the distances obtained in Equation (26) as the input of ELM-RCC, and then, calculate the coordinate for unknown node j using ELM-RCC. Output: the coordinate of unknown node j. |
3.2. DV-HOP Localization Scheme with RSSI Using Kernel-Based ELM
4. The Performance Comparison and Analysis
4.1. Simulation Description
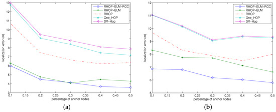
4.2. Localization Errors against the Amount of Anchor Nodes
4.3. Localization Errors against the Amount of RSSI Samples
4.4. Localization Errors against the Noise Standard Deviation
4.5. Localization Errors against the Outliers
5. Conclusions
Acknowledgments
Author Contributions
Conflicts of Interest
References
- Pentland, A. Socially aware computation and communication. Computer 2005, 38, 33–40. [Google Scholar] [CrossRef]
- Lazer, D.; Pentland, A.; Adamic, L. Computational social science. Science 2009, 323, 721–723. [Google Scholar] [CrossRef] [PubMed]
- Zeng, J.; Yang, L.T.; Ma, J.H. A system-level modeling and design for cyber-physical-social systems. ACM Trans. Embed. Comput. Syst. 2016, 15, 1–26. [Google Scholar] [CrossRef]
- Abbas, W.; Laszka, A.; Koutsoukos, X. Resilient wireless sensor networks for cyber-physical systems. In Cyber-Physical System Design with Sensor Networking Technologies; Zeadally, S., Jabeur, N., Eds.; The Institution of Engineering and Technology: London, UK, 2016; pp. 239–267. [Google Scholar]
- Luo, X.; Zhang, D.D.; Yang, L.T.; Liu, J.; Chang, X.H.; Ning, H.S. A kernel machine-based secure data sensing and fusion scheme in wireless sensor networks for the cyber-physical systems. Future Gener. Comput. Syst. 2016, 61, 85–96. [Google Scholar] [CrossRef]
- Zhao, H.; Ma, X.; Shi, C. Information interaction in wireless sensor networks based on socially aware computing. Commun. Comput. Inf. Sci. 2014, 418, 71–81. [Google Scholar]
- Ammar, A.B.; Dziri, A.; Terre, M.; Youssef, H. Multi-hop LEACH based cross-layer design for large scale wireless sensor networks. In Proceedings of the International Wireless Communications and Mobile Computing Conference, Paphos, Cyprus, 5–9 September 2016; pp. 763–768.
- Dong, M.X.; Ota, K.; Liu, A.F.; Guo, M. Joint optimization of lifetime and transport delay under reliability constraint wireless sensor networks. IEEE Trans. Parallel Distrib. Syst. 2016, 27, 225–236. [Google Scholar] [CrossRef]
- Liu, A.F.; Liu, X.; Long, J. A trust-based adaptive probability marking and storage traceback scheme for WSNs. Sensors 2016, 16, 451. [Google Scholar] [CrossRef] [PubMed]
- Liu, A.; Liu, X.; Li, H.; Long, J. MDMA: A multi-data and multi-ACK verified selective forwarding attack detection. IEICE Trans. Inf. Syst. 2016, 99, 2010–2018. [Google Scholar] [CrossRef]
- Liu, A.F.; Dong, M.X.; Ota, K.; Long, J. An efficient scheme for selective forwarding attack detecting in WSNs. Sensors 2015, 15, 30942–30963. [Google Scholar] [CrossRef] [PubMed]
- Niewiadomska-Szynkiewicz, H. Localization in wireless sensor networks: Classification and evaluation of techniques. Comput. Methods Appl. Mech. Eng. 2012, 22, 281–297. [Google Scholar] [CrossRef]
- Bulusu, N.; Heidemann, J.; Estrin, D. GPS-less low-cost ourdoor localization for very small devices. IEEE Pers. Commun. 2000, 7, 28–34. [Google Scholar] [CrossRef]
- Leung, C.S.; Sum, J.; So, H.C.; Constrantinides, A.G.; Chan, K.W. Lagrange programming neural networks for time-of-arrival-based source localization. Neural Comput. Appl. 2014, 24, 109–116. [Google Scholar] [CrossRef]
- Patwari, N.; Ash, J.N.; Kyperountas, S.; Hero, A.O.; Moses, R.L.; Correal, N.S. Locating the Nodes: Cooperative Localization in Wireless Sensor Networks. IEEE Signal Process. Mag. 2005, 22, 54–69. [Google Scholar] [CrossRef]
- Wang, J.; Gao, Q.H.; Yu, Y.; Zhang, X.; Feng, X.Y. Time and energy efficient TOF-based device-free wireless localization. IEEE Trans. Ind. Inf. 2016, 12, 158–168. [Google Scholar] [CrossRef]
- Wang, J.; Gao, Q.H.; Pan, M.; Zhang, X.; Yu, Y.; Wang, H.Y. Towards accurate device-free wireless localization with a saddle surface model. IEEE Trans. Veh. Technol. 2016, 65, 6665–6677. [Google Scholar] [CrossRef]
- Wang, J.; Gao, Q.H.; Wang, H.Y.; Cheng, P.; Xin, K.F. Device-free localization with multi-dimensional wireless link information. IEEE Trans. Veh. Technol. 2015, 64, 356–366. [Google Scholar] [CrossRef]
- Wang, J.; Gao, Q.H.; Yu, Y.; Cheng, P.; Wu, L.F.; Wang, H.Y. Robust device-free wireless localization based on differential RSS measurements. IEEE Trans. Ind. Electron. 2013, 60, 5943–5952. [Google Scholar] [CrossRef]
- Golestanian, M.; Poellabauer, C. Localization in heterogeneous wireless sensor networks using elliptical range estimation. In Proceedings of the International Conference on Computing, Networking and Communications, Kauai, HI, USA, 15–18 February 2016; pp. 1–7.
- Zhang, P.; Sun, Y. A new DV-Hop algorithm for wireless sensor networks. Chin. J. Electron Dev. 2010, 33, 1–7. [Google Scholar]
- Liu, P.X.; Zhang, X.M.; Tian, S.; Zhao, Z.W.; Sun, P. A novel virtual anchor node-based localization algorithm for wireless sensor networks. In Proceedings of the Sixth International Conference on Networking, Sainte-Luce, France, 22–28 April 2007; pp. 1–6.
- Yi, T.T.; Fang, Z.Y.; Li, R.X. RMADV-Hop: An improved DV-Hop localization algorithm. In Proceedings of the Seventh International Conference on Information Technology, Las Vegas, NV, USA, 12–14 April 2010; pp. 939–943.
- Fang, H.; Lei, J.; Hu, K. An improved DV-Hop algorithm based on RSSI revising. Commun. Technol. 2012, 45, 16–18. [Google Scholar]
- Zhang, W.; Yang, X.Y.; Song, Q.X. DV-Hop localization algorithm based on RSSI correction. J. Softw. Eng. 2015, 9, 188–194. [Google Scholar] [CrossRef]
- Xie, H.; Li, W.S.; Li, S.B.; Xu, B.G. An improved DV-Hop localization algorithm based on RSSI auxiliary ranging. In Proceedings of the Chinese Control Conference, Chengdu, China, 27–29 July 2016; pp. 8319–8324.
- Peyvandi, M.; Pouyan, A.A. An improved DV-Hop localization algorithm in wireless sensor networks. In Proceedings of the Signal Processing and Intelligent Systems Conference, Tehran, Iran, 16–17 December 2015; pp. 153–158.
- Shi, H.Y.; Peng, L. An improved DV-Hop node localization algorithm combined with RSSI ranging technology. Lect. Notes Electr. Eng. 2016, 367, 269–276. [Google Scholar]
- Chen, H.; Sezaki, K.; Deng, P.; So, H.C. An improved DV-Hop localization algorithm for wireless sensor networks. In Proceedings of the 3rd IEEE Conference on Industrial Electronics and Applications, Singapore, 3–5 June 2008; pp. 1557–1561.
- Chuang, P.J.; Jiang, Y.J. Effective neural network-based node localisation scheme for wireless sensor networks. IET Wirel. Sens. Syst. 2014, 4, 97–103. [Google Scholar] [CrossRef]
- Borenovic, M.N.; Neskovic, A.M. Comparative analysis of RSSI, SNR and noise level parameters applicability for WLAN positioning purposes. In Proceedings of the IEEE EUROCON, St. Petersburg, Russia, 18–23 May 2009; pp. 1895–1900.
- Mahfouz, S.; Mourad-Chehade, F.; Honeine, P.; Farah, J. Non-parametric and semi-parametric RSSI/distance modeling for target tracking in wireless sensor networks. IEEE Sens. J. 2016, 16, 2115–2126. [Google Scholar] [CrossRef]
- Huang, G.B.; Zhou, H.M.; Ding, X.J.; Zhang, R. Extreme learning machine for regression and multiclass classification. IEEE Trans. Syst. Man Cybern. Part B Cybern. 2012, 42, 513–529. [Google Scholar] [CrossRef] [PubMed]
- Luo, X.; Chang, X.H.; Ban, X.J. Regression and classification using extreme learning machine based on L1-norm and L2-norm. Neurocomputing 2016, 174, 179–186. [Google Scholar] [CrossRef]
- Luo, X.; Chang, X.H.; Liu, H. A Taylor based localization algorithm for wireless sensor network using extreme learning machine. IEICE Trans. Inf. Syst. 2014, 97, 2652–2659. [Google Scholar] [CrossRef]
- Luo, X.; Chang, X.H. A novel data fusion scheme using grey model and extreme learning machine in wireless sensor networks. Int. J. Control Autom. Syst. 2015, 13, 539–546. [Google Scholar] [CrossRef]
- Chang, X.H.; Luo, X. An improved self-localization algorithm for Ad hoc network based on extreme learning machine. In Proceedings of the 11th World Congress on Intelligent Control and Automation, Shenyang, China, 29 June–4 July 2014; pp. 564–569.
- Xing, H.J.; Wang, X.M. Training extreme learning machine via regularized correntropy criterion. Neural Comput. Appl. 2013, 23, 1977–1986. [Google Scholar] [CrossRef]
- Tomic, S.; Beko, M.; Dinis, R. Distributed RSS-Based localization in wireless sensor networks based on second-order cone programming. Sensors 2014, 14, 18410–18432. [Google Scholar] [CrossRef] [PubMed]
- Man, D.P.; Qin, G.D.; Yang, W.; Xuan, S.C. Improved DV-Hop algorithm for enhancing localization accuracy in WSN. Appl. Mech. Mater. 2014, 3256–3259. [Google Scholar] [CrossRef]
- Tian, S.; Zhang, X.; Liu, P.; Wang, X. A RSSI-based DV-hop algorithm for wireless sensor networks. In Proceedings of the 3rd International Conference on Wireless Communications, Networking and Mobile Computing, Shanghai, China, 21–25 September 2007; pp. 2555–2558.
- Benkic, K.; Malajner, M.; Planinsic, P.; Cucej, Z. Using RSSI value for distance estimation in wireless sensor networks based on ZigBee. In Proceedings of the 15th International Conference on Systems, Signals and Image Processing, Bratislava, Slovakia, 25–28 June 2008; pp. 303–306.
- Santi, P. Topology control in wireless ad hoc and sensor networks. ACM Comput. Surv. 2005, 37, 164–194. [Google Scholar] [CrossRef]
- Yang, X.; Pan, W. DV-Hop localization algorithm for wireless sensor networks based on RSSI ratio improving. Transducer Microsyst. Technol. 2012, 32, 126–128. [Google Scholar]
- Huang, G.B.; Zhu, Q.Y.; Siew, C.K. Extreme learning machine: A new learning scheme of feedforward neural networks. In Proceedings of the IEEE International Joint Conference on Neural Networks, Budapest, Hungary, 25–29 July 2004; pp. 985–990.
- Erdogmus, D.; Principe, J.C. An error-entropy minimization algorithm for supervised training of nonlinear adaptive systems. IEEE Trans. Signal Process. 2002, 50, 1780–1786. [Google Scholar] [CrossRef]
- Santamaria, I.; Pokharel, P.P.; Principe, J.C. Generalized correlation function: Definition, properties, and application to blind equalization. IEEE Trans. Signal Process. 2006, 54, 2187–2197. [Google Scholar] [CrossRef]
- Liu, W.F.; Pokharel, P.P.; Principe, J.C. Correntropy: Properties and applications in non-Gaussian signal processing. IEEE Trans. Signal Process. 2007, 55, 5286–5297. [Google Scholar] [CrossRef]
- Vapnik, V. The Nature of Statistical Learning Theory; Springer: New York, NY, USA, 1995. [Google Scholar]
- Chen, B.D.; Principe, J.C. Maximum correntropy estimation is a smoothed MAP estimation. IEEE Signal Process. Lett. 2012, 19, 491–494. [Google Scholar] [CrossRef]
- He, R.; Zheng, W.S.; Hu, B.G. Maximum correntropy criterion for robust face recognition. IEEE Trans. Pattern Anal. Mach. Intell. 2011, 33, 1561–1576. [Google Scholar] [PubMed]
- Yuan, X.; Hu, B.G. Robust feature extraction via information theoretic learning. In Proceedings of the 26th International Conference on Machine Learning, Montreal, QC, Canada, 14–18 June 2009; pp. 1193–1200.
- Rockfellar, R. Convex Analysis; Princeton University Press: Princeton, NY, USA, 1970. [Google Scholar]
- Boyd, S.; Vandenberghe, L. Convex Optimization; Cambridge University Press: Cambridge, MA, USA, 2004. [Google Scholar]
- Wei, Q.R.; Liu, J.; Han, J.Q. An improved DV-hop node localization algorithm based on unbiased estimation for wireless sensor networks. Hsi An Chiao Tung Ta Hsueh 2014, 48, 1–6. [Google Scholar]
- Ren, H.; Zhu, L.; Yang, A. Localization algorithm for sensor node based on RSSI ranging and DV-Hop error correcting. Comput. Meas. Control 2012, 20, 2863–2866. [Google Scholar]








| Item | Value |
|---|---|
| area | , |
| transmission range, R | 25 m |
| path loss exponent, τ | 4 |
| transmitting power, | 0 dB |
| path loss of the reference, | −55 dB ( = 1 m) |
| numbers of total nodes | 50, 100, 120 |
| ratios of anchors | 10%, 20%, 30%, 40%, 50% |
| numbers of nodes in hidden layer | number of total nodes × ratio of anchors |
| numbers of RSSI samples | 1, 5, 10, 15, 20 |
| noise standard deviation | 2, 5, 8, 11, 14 |
| the proportion of outliers | 0%, 3%, 6%, 9%, 12%, 15%, 18% |
| the threshold, ε | , |
© 2017 by the authors; licensee MDPI, Basel, Switzerland. This article is an open access article distributed under the terms and conditions of the Creative Commons Attribution (CC-BY) license (http://creativecommons.org/licenses/by/4.0/).
Share and Cite
Xu, Y.; Luo, X.; Wang, W.; Zhao, W. Efficient DV-HOP Localization for Wireless Cyber-Physical Social Sensing System: A Correntropy-Based Neural Network Learning Scheme. Sensors 2017, 17, 135. https://doi.org/10.3390/s17010135
Xu Y, Luo X, Wang W, Zhao W. Efficient DV-HOP Localization for Wireless Cyber-Physical Social Sensing System: A Correntropy-Based Neural Network Learning Scheme. Sensors. 2017; 17(1):135. https://doi.org/10.3390/s17010135
Chicago/Turabian StyleXu, Yang, Xiong Luo, Weiping Wang, and Wenbing Zhao. 2017. "Efficient DV-HOP Localization for Wireless Cyber-Physical Social Sensing System: A Correntropy-Based Neural Network Learning Scheme" Sensors 17, no. 1: 135. https://doi.org/10.3390/s17010135
APA StyleXu, Y., Luo, X., Wang, W., & Zhao, W. (2017). Efficient DV-HOP Localization for Wireless Cyber-Physical Social Sensing System: A Correntropy-Based Neural Network Learning Scheme. Sensors, 17(1), 135. https://doi.org/10.3390/s17010135

