Error Analysis and Measurement Uncertainty for a Fiber Grating Strain-Temperature Sensor
Abstract
:1. Introduction
2. Sensor Description and Operation Principle
2.1. Simultaneous Temperature and Strain Measurement
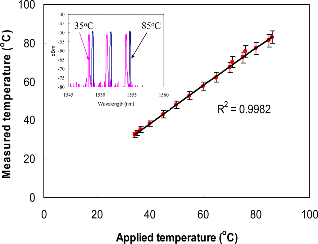
2.2. Sensor Configuration
3. Error Analysis of Fiber Grating Sensor
4. Measurement Uncertainty of Fiber Grating Sensor
4.1. Estimation of Standard Uncertainty
- Standard uncertainty, uΔλ1 = 3 pm/2 = 1.5 pm;
- Standard uncertainty, uΔλ2 = 3 pm/2 = 1.5 pm;
4.2. Estimation of Combined Standard Uncertainty
- Sensitivity coefficient for Δ T due to λ1:
- Sensitivity coefficient for Δ T due to λ2:
- Sensitivity coefficient for Δε due to λ1:
- Sensitivity coefficient for Δε due to λ2:
4.3. Estimation of Expanded Uncertainty
5. Conclusions
Acknowledgments
References
- Kersey, AD; Berkoff, TA; Morey, WW. Fiber-Optic Bragg grating strain sensor with phase sensitive detection. Proceedings of 1st European Conference on Smart Structures and Materials, Glasgow, Scotland, 12–14 May 1992; pp. 61–67.
- Xu, MG; Archambault, JL; Reekie, L; Dakin, JP. Discrimination between strain and temperature effects using dual-wavelength fiber grating sensors. Electron. Lett. 1994, 30, 1085–1087. [Google Scholar]
- Kanellopouslos, SE; Handerek, VA; Rogers, AJ. Simultaneous strain and temperature sensing with photogenerated in-fiber gratings. Optics Letters 1995, 20, 333–335. [Google Scholar]
- Patrick, HJ; Williams, GM; Kersey, AD; Pedrazzani, JR; Vengsarkar, AM. Hybrid fiber Bragg grating/long period fiber grating sensors for strain/temperature discrimination. IEEE Photonic. Technol. Lett. 1996, 8, 1223–1225. [Google Scholar]
- James, SW; Dockney, ML; Tatam, RP. Simultaneous independent temperature and strain measurement using in-fiber Bragg grating sensors. Electron. Lett. 1996, 32, 1133–1134. [Google Scholar]
- Jung, J; Park, N; Lee, B. Simultaneous measurement of strain and temperature using a single fbg grating with erbium-dopped fiber amplifier. Appl. Opt. 2000, 39, 1118–1120. [Google Scholar]
- Davis, MA; Kersey, AD. Simultaneous measurement of temperature and strain using fiber Bragg grating and Brillouin scattering. IEE Proc. Optoelectronics 1997, 144, 151–155. [Google Scholar]
- Chehura, E; James, SW; Tatam, RP. Temperature and strain discrimination using a single tilted fibre Bragg grating. Opt. Commun. 2007, 275, 344–347. [Google Scholar]
- Ma, J; Bock, WJ; Urbanczyk, W. Error analysis of temperature-compensated white-light interferometric fiber-optic strain sensor. Sensor. Actuator-A 2004, 112, 25–31. [Google Scholar]
- Xie, JF; Zhang, H; Zhu, Z; Xu, JN; Hu, RH; Song, LF. A study of the temperature sensitivity of fiber Bragg gratings after metallization. Smart Mater. Struct. 2007, 16, 1837–1842. [Google Scholar]
- Othonos, A; Kalli, K. Fiber Bragg Grating: Fundamentals and Applications in Telecommunications and Sensing; Artech House Inc: Norwood, MA, USA, 1999. [Google Scholar]
- Wang, JN; Tang, JL. Using fiber Bragg grating sensors to monitor pavement structures. Transp. Res. Rec. 2005, 1913, 165–176. [Google Scholar]
- Jin, W; Michie, WC; Thursby, G; Konstantaki, M; Culshaw, B. Simultaneous measurement of temperature and strain: Error analysis. Opt. Eng. 1997, 36, 598–609. [Google Scholar]
- European Federation of National Associations of Measurement, Testing and Analytical Laboratories. Measurement Uncertainty in Testing; Berlin, Germany, 2002. [Google Scholar]
- Singapore Accreditation Council. Singapore Laboratory Accreditation Scheme (SAC-SINGLAS), Guidance Document on Measurement Uncertainty for Civil Engineering and Mechanical Testing Laboratories; Singapore, 2004. [Google Scholar]
- Dyer, SD; Kofler, JD; Espejo, RJ; Etzel, SM. Stability of fiber Bragg grating wavelength calibration references. In Bragg Gratings, Photosensitivity, and Poling in Glass Waveguides; Optical Society of America Monterey: California, CA, USA, 2003; pp. 55–57. [Google Scholar]







| FBG sensor property | Dual grating | Reference grating | |
|---|---|---|---|
| λ11 (1,548 nm) | λ21 (1,554 nm) | λ3 (1,551 nm) | |
| Strain coefficient (pm/με) | 0.914 ± 0.003 | 0.918 ± 0.003 | N/A2 |
| Temperature coefficient (pm/°C) | 10.4 ± 0.10 | 12.1 ± 0.10 | 12.1 ± 0.08 |
| Theoretical strain error (με) | 5.36 | 4.93 | N/A |
| Experimental strain error (με) | 7.86 | 12.35 | N/A |
| Theoretical temperature error (°C) | 0.17 | 0.17 | 0.17 |
| Experimental temperature error (°C) | 0.65 | 0.44 | 0.48 |
© 2010 by the authors licensee MDPI, Basel, Switzerland. This article is an open access article distributed under the terms and conditions of the Creative Commons Attribution license (http://creativecommons.org/licenses/by/3.0/).
Share and Cite
Tang, J.-L.; Wang, J.-N. Error Analysis and Measurement Uncertainty for a Fiber Grating Strain-Temperature Sensor. Sensors 2010, 10, 6582-6593. https://doi.org/10.3390/s100706582
Tang J-L, Wang J-N. Error Analysis and Measurement Uncertainty for a Fiber Grating Strain-Temperature Sensor. Sensors. 2010; 10(7):6582-6593. https://doi.org/10.3390/s100706582
Chicago/Turabian StyleTang, Jaw-Luen, and Jian-Neng Wang. 2010. "Error Analysis and Measurement Uncertainty for a Fiber Grating Strain-Temperature Sensor" Sensors 10, no. 7: 6582-6593. https://doi.org/10.3390/s100706582
APA StyleTang, J.-L., & Wang, J.-N. (2010). Error Analysis and Measurement Uncertainty for a Fiber Grating Strain-Temperature Sensor. Sensors, 10(7), 6582-6593. https://doi.org/10.3390/s100706582
