Integrating 3D-Printed and Natural Staghorn Coral (Acropora cervicornis) Restoration Enhances Fish Assemblages and Their Ecological Functions
Abstract
1. Introduction
2. Materials and Methods
2.1. Study Locations
2.2. Experimental Design
2.3. Fish Community Sampling
2.4. Spatio-Temporal Variation in Fish Community Structure
2.5. Spatio-Temporal Variation in Fish Biodiversity and Phylogenetic Dynamics
2.5.1. Taxonomic Diversity (Delta, ∆)
2.5.2. Taxonomic Distinctness (Delta*, ∆*)
2.5.3. Average Taxonomic Distinctness—AvTD (Delta+, ∆+)
2.5.4. Total Taxonomic Distinctness—TTD (sDelta+, s∆+)
2.5.5. Variation in Taxonomic Distinctness—VarTD (Lambda+, Λ+)
2.5.6. Average Phylogenetic Diversity—AvPD (Φ+)
2.5.7. Total Phylogenetic Diversity—Faith’s PD (sΦ+)
2.6. Benthic Structural Complexity (Rugosity Index)
3. Results
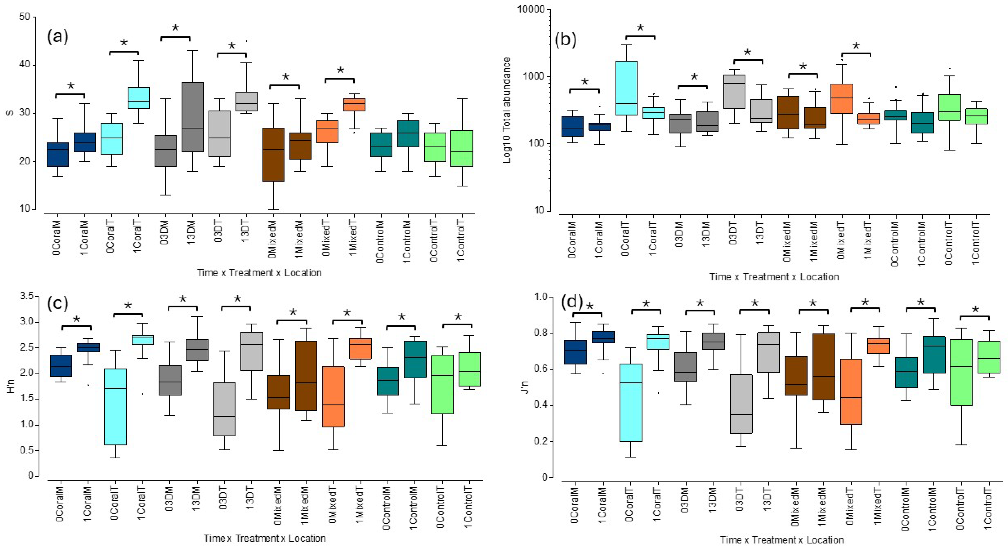
3.1. Spatio-Temporal Variation in Fish Community Parameters
3.2. Spatio-Temporal Variation in Trophic Functional Group Abundance
3.3. Spatio-Temporal Variation in Trophic Functional Group Biomass
3.4. Spatio-Temporal Variation in Fishery Target Species Parameters
3.5. Spatio-Temporal Variation in Fish Functional Group Community Structure
3.6. Spatio-Temporal Variation in Fish Species Distribution
3.7. Spatio-Temporal Variation in the Hierarchical Preference of Fish Distribution by Treatment
3.8. Spatio-Temporal Variation in Fish Biodiversity and Phylogenetic Dynamics
3.9. Spatio-Temporal Correlations Between Fish Community Structure Reef Rugosity Index
4. Discussion
4.1. Effects of Coral and 3D-Printed Coral on Fish Assemblages: The Role of Structural Complexity
4.2. Trophic Functional Group Responses: The Importance of Restoring Herbivores and Piscivores
4.3. Fishery Target Species Recovery: Coral Restoration as a Fishery Management Tool
4.4. Implications of Mass Coral Bleaching During 2023
4.5. Implications for Future Restoration Strategies of Severely Degraded Coral Reef Ecosystems
4.6. The Future of Integrated Natural and 3D-Printed Corals
- Habitat creation and complexity—3D-printed corals can be designed to mimic the intricate structures of natural coral reefs, providing nooks, crannies, and overhangs that serve as hiding spots, breeding grounds, and feeding areas for fish. Different fish species have varying habitat preferences. Also, 3D-printed corals can be constructed of different materials and customized to create diverse microhabitats and spatial configurations, supporting a wider range of fish species and life stages.
- Refuge and protection—The complex structures of 3D-printed corals offer refuge and biological corridors for smaller fish and juvenile stages of larger fish, helping them avoid predators. Secure environments within 3D-printed corals also provide safe breeding spaces for fish to lay eggs and rear their young, contributing to higher survival rates.
- Enhanced feeding opportunities—The surfaces of 3D-printed corals can support the growth of algae and sessile invertebrates, which are important food sources for many reef fish species. The intricate designs can also help trap plankton and detritus, providing additional feeding opportunities for filter-feeding fish.
- Increased biodiversity and fish abundance—By providing a variety of habitats and resources, 3D-printed corals can attract a more diverse assemblage of fish species, increasing overall biodiversity, taxonomic complexity and functional diversity. Enhanced habitats can support larger populations of fish by providing the necessary resources for survival and reproduction.
- Support for fish communities—Healthy fish assemblages contribute to the stability and resilience of coral reef ecosystems. Diverse fish communities play various roles, such as grazing on algae, which prevents algal overgrowth and supports coral health. Certain fish species play key roles in maintaining the balance of reef ecosystems. Also, some fish species are vital to support geo-ecological functions, such as sediment transport dynamics; 3D-printed corals help support these key species by providing suitable habitats and resources.
- Facilitation of ecological interactions—Enhanced structures can facilitate symbiotic relationships between fish and other marine organisms, such as cleaner fish that remove parasites from larger fish. By attracting different trophic levels, 3D-printed corals help sustain complex food webs, supporting ecosystem functioning and productivity.
- Conservation and restoration benefits—In areas where natural coral reefs have been damaged or destroyed (such as in this study), 3D-printed corals can help partially re-establish fish habitats and support the recovery of fish populations. In addition to restoring degraded areas, 3D-printed corals can be used to supplement existing reefs, enhancing their habitat complexity and fish-carrying capacity.
- Research and monitoring opportunities—3D-printed corals provide standardized and replicable structures for scientific research, allowing for controlled studies on fish behavior, population dynamics, and ecological interactions. The use of 3D-printed corals facilitates easier monitoring of fish assemblages, enabling researchers to track changes over time and adapt restoration strategies accordingly.
5. Conclusions
Supplementary Materials
Author Contributions
Funding
Institutional Review Board Statement
Data Availability Statement
Acknowledgments
Conflicts of Interest
References
- Rogers, C.S. Responses of coral reefs and reef organisms to sedimentation. Mar. Ecol. Progr. Ser. 1990, 62, 185–202. [Google Scholar] [CrossRef]
- Otaño-Cruz, A.; Montañez-Acuña, A.A.; García-Rodríguez, N.M.; Díaz-Morales, D.M.; Benson, E.; Cuevas, E.; Ortiz-Zayas, J.; Hernández-Delgado, E.A. Caribbean near-shore coral reef benthic community response to changes on sedimentation dynamics and environmental conditions. Front. Mar. Sci. 2019, 6, 551. [Google Scholar] [CrossRef]
- Rogers, C.S.; Ramos-Scharrón, C.E. Assessing effects of sediment delivery to coral reefs: A Caribbean watershed perspective. Front. Mar. Sci. 2022, 8, 773968. [Google Scholar] [CrossRef]
- Freitas, L.M.; Oliveira, M.D.; Leão, Z.M.; Kikuchi, R.K. Effects of turbidity and depth on the bioconstruction of the Abrolhos reefs. Coral Reefs 2019, 38, 241–253. [Google Scholar] [CrossRef]
- Cloern, J.E. Our evolving conceptual model of the coastal eutrophication problem. Mar. Ecol. Progr. Ser. 2001, 210, 223–253. [Google Scholar] [CrossRef]
- Díaz-Ortega, G.; Hernández-Delgado, E.A. Unsustainable land-based source pollution in a climate of change: A roadblock to the conservation and recovery of Elkhorn Coral Acropora palmata (Lamarck 1816). Nat. Res. 2014, 5, 561–581. [Google Scholar] [CrossRef]
- Ennis, R.S.; Brandt, M.E.; Grimes, K.R.; Smith, T.B. Coral reef health response to chronic and acute changes in water quality in St. Thomas, United States Virgin Islands. Mar. Poll. Bull. 2016, 111, 418–427. [Google Scholar] [CrossRef]
- Hernández-Delgado, E.A.; Medina-Muñiz, J.L.; Mattei, H.; Norat-Ramírez, J. Unsustainable land use, sediment-laden runoff, and chronic raw sewage offset the benefits of coral reef ecosystems in a no-take marine protected area. Env. Mgmt. Sust. Dev. 2017, 6, 292. [Google Scholar] [CrossRef]
- Hawkins, J.P.; Roberts, C.M. Effects of artisanal fishing on Caribbean coral reefs. Conserv. Biol. 2004, 18, 215–226. [Google Scholar] [CrossRef]
- Wilson, S.K.; Fisher, R.; Pratchett, M.S.; Graham, N.A.; Dulvy, N.K.; Turner, R.A.; Cakacaka, A.; Polunin, N.V. Habitat degradation and fishing effects on the size structure of coral reef fish communities. Ecol. Appl. 2010, 20, 442–451. [Google Scholar] [CrossRef]
- McWilliams, J.P.; Côté, I.M.; Gill, J.A.; Sutherland, W.J.; Watkinson, A.R. Accelerating impacts of temperature-Induced coral bleaching in the Caribbean. Ecology 2005, 86, 2055–2060. [Google Scholar] [CrossRef]
- Burt, J.; Al-Harthi, S.; Al-Cibahy, A. Long-term impacts of coral bleaching events on the world’s warmest reefs. Mar. Env. Res. 2011, 72, 225–229. [Google Scholar] [CrossRef] [PubMed]
- Kleypas, J.A.; Yates, K.K. Coral reefs and ocean acidification. Oceanography 2009, 22, 108–117. [Google Scholar] [CrossRef]
- Field, M.E.; Ogston, A.S.; Storlazzi, C.D. Rising sea level may cause decline of fringing coral reefs. Eos. Tran. Am. Geophys. Union. 2011, 92, 273–274. [Google Scholar] [CrossRef]
- Elsner, J.B. Evidence in support of the climate change–Atlantic hurricane hypothesis. Geophys. Res. Lett. 2006, 33, L16705. [Google Scholar] [CrossRef]
- Trenberth, K.E. Warmer oceans, stronger hurricanes. Sci. Am. 2007, 297, 44–51. [Google Scholar] [CrossRef]
- Knutson, T.R.; Chung, M.V.; Vecchi, G.; Sun, J.; Hsieh, T.L.; Smith, A.J. Climate change is probably increasing the intensity of tropical cyclones. In Critical Issues in Climate Change Science; Tyndall Centre for Climate Change Research: Norwich, UK, 2021; Available online: https://tyndall.ac.uk/wp-content/uploads/2021/03/sciencebrief_review_cyclones_mar2021.pdf (accessed on 1 November 2024).
- Ruiz-Allais, J.P.; Benayahu, Y.; Lasso-Alcalá, O.M. The invasive octocoral Unomia stolonifera (Alcyonacea, Xeniidae) is dominating the benthos in the Southeastern Caribbean Sea. Mem. Fund. La. Salle Cien. Nat. 2021, 79, 63–80. [Google Scholar]
- Toledo-Rodríguez, D.A.; Veglia, A.; Marrero, N.M.; Gómez-Samot, J.M.; McFadden, C.S.; Weil, E.; Schizas, N.V. Shadows over Caribbean reefs: Identification of a new invasive soft coral species, Xenia umbellata, in southwest Puerto Rico. bioRxiv 2024. [Google Scholar] [CrossRef]
- Pueschel, C.M.; Saunders, G.W. Ramicrusta textilis sp. nov. (Peyssonneliaceae, Rhodophyta), an anatomically complex Caribbean alga that overgrows corals. Phycologia 2009, 48, 480–491. [Google Scholar] [CrossRef]
- Altieri, A.H.; Harrison, S.B.; Seemann, J.; Collin, R.; Diaz, R.J.; Knowlton, N. Tropical dead zones and mass mortalities on coral reefs. Proc. Natl. Acad. Sci. USA 2017, 114, 3660–3665. [Google Scholar] [CrossRef]
- Nelson, H.R.; Altieri, A.H. Oxygen: The universal currency on coral reefs. Coral Reefs 2019, 38, 177–198. [Google Scholar] [CrossRef]
- Weil, E.; Rogers, C.S. Coral reef diseases in the Atlantic-Caribbean. In Coral Reefs: An Ecosystem in Transition; Dubinsky, Z., Stambler, N., Eds.; Springer: Dordrecht, The Netherlands, 2010; pp. 465–491. [Google Scholar]
- Hewson, I.; Ritchie, I.T.; Evans, J.S.; Altera, A.; Behringer, D.; Bowman, E.; Brandt, M.; Budd, K.A.; Camacho, R.A.; Cornwell, T.O.; et al. A scuticociliate causes mass mortality of Diadema antillarum in the Caribbean Sea. Science Adv. 2023, 9, eadg3200. [Google Scholar] [CrossRef] [PubMed]
- Miller, J.; Muller, E.; Rogers, C.; Waara, R.; Atkinson, A.; Whelan, K.R.; Patterson, M.; Witcher, B. Coral disease following massive bleaching in 2005 causes 60% decline in coral cover on reefs in the US Virgin Islands. Coral Reefs 2009, 28, 925–937. [Google Scholar] [CrossRef]
- Hernández-Pacheco, R.; Hernández-Delgado, E.A.; Sabat, A.M. Demographics of bleaching in a major Caribbean reef-building coral: Montastraea annularis. Ecosphere 2011, 2, 1–13. [Google Scholar] [CrossRef]
- Hernández-Delgado, E.A.; Rodríguez-González, Y.M. Runaway climate across the Wider Caribbean and Eastern Tropical Pacific in the Anthropocene: Threats to coral reef conservation, restoration, and social-ecological resilience. Atmosphere 2025, 16, 575. [Google Scholar] [CrossRef]
- Cruz, D.W.; Villanueva, R.D.; Baria, M.V. Community-based, low-tech method of restoring a lost thicket of Acropora corals. ICES J. Mar. Sci. 2014, 71, 1866–1875. [Google Scholar] [CrossRef]
- Hernández-Delgado, E.A.; Mercado-Molina, A.E.; Alejandro-Camis, P.J.; Candelas-Sánchez, F.; Fonseca-Miranda, J.S.; González-Ramos, C.M.; Guzmán-Rodríguez, R.; Mège, P.; Montañez-Acuña, A.A.; Maldonado, I.O.; et al. Community-based coral reef rehabilitation in a changing climate: Lessons learned from hurricanes, extreme rainfall, and changing land use impacts. Open J. Ecol. 2014, 4, 918. [Google Scholar] [CrossRef]
- Young, C.N.; Schopmeyer, S.A.; Lirman, D. A review of reef restoration and coral propagation using the threatened genus Acropora in the Caribbean and Western Atlantic. Bull. Mar. Sci. 2012, 88, 1075–1098. [Google Scholar] [CrossRef]
- Omori, M. Coral restoration research and technical developments: What we have learned so far. Mar. Biol. Res. 2019, 15, 377–409. [Google Scholar] [CrossRef]
- Boström-Einarsson, L.; Babcock, R.C.; Bayraktarov, E.; Ceccarelli, D.; Cook, N.; Ferse, S.C.; Hancock, B.; Harrison, P.; Hein, M.; Shaver, E.; et al. Coral restoration–A systematic review of current methods, successes, failures and future directions. PLoS ONE 2020, 15, e0226631. [Google Scholar] [CrossRef]
- Ceccarelli, D.M.; McLeod, I.M.; Boström-Einarsson, L.; Bryan, S.E.; Chartrand, K.M.; Emslie, M.J.; Gibbs, M.T.; González Rivero, M.; Hein, M.Y.; Heyward, A.; et al. Substrate stabilisation and small structures in coral restoration: State of knowledge, and considerations for management and implementation. PLoS ONE 2020, 15, e0240846. [Google Scholar] [CrossRef] [PubMed]
- Mwaura, J.M.; Murage, D.; Karisa, J.F.; Otwoma, L.M.; Said, H.O. Artificial reef structures and coral transplantation as potential tools for enhancing locally-managed inshore reefs: A case study from Wasini Island, Kenya. West. Indian Ocean J. Mar. Sci. 2022, 21, 83–94. [Google Scholar] [CrossRef]
- Rinkevich, B. Ecological engineering approaches in coral reef restoration. ICES J. Mar. Sci. 2021, 78, 410–420. [Google Scholar] [CrossRef]
- Henry, J.A.; O’Neil, K.L.; Pilnick, A.R.; Patterson, J.T. Strategies for integrating sexually propagated corals into Caribbean reef restoration: Experimental results and considerations. Coral Reefs 2021, 40, 1667–1677. [Google Scholar] [CrossRef]
- Page, C.A.; Muller, E.M.; Vaughan, D.E. Microfragmenting for the successful restoration of slow growing massive corals. Ecol. Eng. 2018, 123, 86–94. [Google Scholar] [CrossRef]
- Knapp, I.S.; Forsman, Z.H.; Greene, A.; Johnston, E.C.; Bardin, C.E.; Chan, N.; Wolke, C.; Gulko, D.; Toonen, R.J. Coral micro-fragmentation assays for optimizing active reef restoration efforts. Peer J. 2022, 10, e13653. [Google Scholar] [CrossRef]
- Chamberland, V.F.; Vermeij, M.J.; Brittsan, M.; Carl, M.; Schick, M.; Snowden, S.; Schrier, A.; Petersen, D. Restoration of critically endangered elkhorn coral (Acropora palmata) populations using larvae reared from wild-caught gametes. Global Ecol. Cons. 2015, 4, 526–537. [Google Scholar] [CrossRef]
- Hagedorn, M.; Spindler, R.; Daly, J. Cryopreservation as a tool for reef restoration: 2019. Adv. Exp. Med. Biol. 2019, 1200, 489–505. [Google Scholar]
- Toh, E.C.; Liu, K.L.; Tsai, S.; Lin, C. Cryopreservation and cryobanking of cells from 100 coral species. Cells 2022, 11, 2668. [Google Scholar] [CrossRef]
- Hagedorn, M.; Page, C.A.; O’Neil, K.L.; Flores, D.M.; Tichy, L.; Conn, T.; Chamberland, V.F.; Lager, C.; Zuchowicz, N.; Lohr, K.; et al. Assisted gene flow using cryopreserved sperm in critically endangered coral. Proc. Nat. Acad. Sci. USA 2021, 118, e2110559118. [Google Scholar] [CrossRef]
- Lin, C.C.; Li, H.H.; Tsai, S.; Lin, C. Tissue cryopreservation and cryobanking: Establishment of a cryogenic resource for coral reefs. Biopreserv. Biobanking. 2022, 20, 409–411. [Google Scholar] [CrossRef] [PubMed]
- Hobbs, R.J.; O’Brien, J.K.; Bay, L.K.; Severati, A.; Spindler, R.; Henley, E.M.; Quigley, K.M.; Randall, C.J.; van Oppen, M.J.; Carter, V.; et al. A decade of coral biobanking science in Australia-transitioning into applied reef restoration. Front. Mar. Sci. 2022, 9, 960470. [Google Scholar] [CrossRef]
- Schmidt-Roach, S.; Duarte, C.M.; Hauser, C.A.; Aranda, M. Beyond reef restoration: Next-generation techniques for coral gardening, landscaping, and outreach. Front. Mar. Sci. 2020, 7, 672. [Google Scholar] [CrossRef]
- Rinkevich, B. The active reef restoration toolbox is a vehicle for coral resilience and adaptation in a changing world. J. Mar. Sci. Eng. 2019, 7, 201. [Google Scholar] [CrossRef]
- Hernández-Delgado, E.A. Coastal restoration challenges and strategies for small island developing states in the face of sea level rise and climate change. Coasts 2024, 4, 235–286. [Google Scholar] [CrossRef]
- Horoszowski-Fridman, Y.B.; Brêthes, J.-C.; Rahmani, N.; Rinkevich, B. Marine silviculture: Incorporating ecosystem engineering properties into reef restoration acts. Ecol. Eng. 2015, 82, 201–213. [Google Scholar] [CrossRef]
- Hoegh-Guldberg, O.; Hughes, L.; McIntyre, S.; Lindenmayer, D.B.; Parmesan, C.; Possingham, H.P.; Thomas, C.D. Assisted colonization and rapid climate change. Science 2008, 321, 345–346. [Google Scholar] [CrossRef]
- Coles, S.L.; Riegl, B.M. Thermal tolerances of reef corals in the Gulf: A review of the potential for increasing coral survival and adaptation to climate change through assisted translocation. Mar. Pollut. Bull. 2013, 72, 323–332. [Google Scholar] [CrossRef]
- Van Oppen, M.J.; Oliver, J.K.; Putnam, H.M.; Gates, R.D. Building coral reef resilience through assisted evolution. Proc. Natl. Acad. Sci. USA 2015, 112, 2307–2313. [Google Scholar] [CrossRef]
- Epstein, H.E.; Smith, H.A.; Torda, G.; van Oppen, M.J. Microbiome engineering: Enhancing climate resilience in corals. Front. Ecol. Environ. 2019, 17, 100–108. [Google Scholar] [CrossRef]
- Rosado, P.M.; Leite, D.C.; Duarte, G.A.; Chaloub, R.M.; Jospin, G.; da Rocha, U.N.; Saraiva, J.P.; Dini-Andreote, F.; Eisen, J.A.; Bourne, D.G.; et al. Marine probiotics: Increasing coral resistance to bleaching through microbiome manipulation. ISME J. 2019, 13, 921–936. [Google Scholar] [CrossRef] [PubMed]
- Palumbi, S.R.; Barshis, D.J.; Traylor-Knowles, N.; Bay, R.A. Mechanisms of reef coral resistance to future climate change. Science 2014, 344, 895–898. [Google Scholar] [CrossRef] [PubMed]
- Liew, Y.J.; Zoccola, D.; Li, Y.; Tambutté, E.; Venn, A.A.; Michell, C.T.; Cui, G.; Deutekom, E.S.; Kaandorp, J.A.; Voolstra, C.R.; et al. Epigenome-associated phenotypic acclimatization to ocean acidification in a reef-building coral. Sci. Adv. 2018, 4, eaar8028. [Google Scholar] [CrossRef]
- Rinkevich, B. Coral chimerism as an evolutionary rescue mechanism to mitigate global climate change impacts. Glob. Change Biol. 2019, 25, 1198–1206. [Google Scholar] [CrossRef]
- Coe, W.R. Season of attachment and rate of growth of sedentary marine organisms at the pier of the Scripps Institution of Oceanography, La Jolla, California. Bull. Scripps. Inst. Oceanogr. Tech. Ser. 1932, 3, 37–86. [Google Scholar]
- Coe, W.R.; Allen, W.E. Growth of sedentary marine organisms on experimental blocks and plates for nine successive years at the pier of the Scripps Institution of Oceanography. Bull. Scripps. Inst. Oceanogr. Tech. Ser. 1937, 4, 101–136. [Google Scholar]
- Carlisle, J.G., Jr.; Turner, C.H.; Ebert, E.E. Artificial habitat in the marine environment. Calif. Dept. Fish Game Fish Bull. 1964, 124, 1–93. [Google Scholar]
- Ogawa, Y. Experiments on the attractiveness of artificial reefs for marine fishes. VII. Attraction of fishes to the various sizes of model reefs. Bull. Jap. Soc. Sci. Fish. 1967, 33, 801–811. [Google Scholar] [CrossRef][Green Version]
- Bohnsack, J.A.; Sutherland, D.L. Artificial reef research: A review with recommendations for future priorities. Bull. Mar. Sci. 1985, 37, 11–39. [Google Scholar]
- Alevizon, W.S.; Gorham, J.C. Effects of artificial reef deployment on nearby resident fishes. Bull. Mar. Sci. 1989, 44, 646–661. [Google Scholar]
- Gorham, J.C.; Alevizon, W.S. Habitat complexity and the abundance of juvenile fishes residing on small scale artificial reefs. Bull. Mar. Sci. 1989, 44, 662–665. [Google Scholar]
- Polovina, J.J. Fisheries applications and biological impacts of artificial habitats. In Artificial Habitats for Marine and Freshwater Fisheries; Academic Press, Inc.: Cambridge, MA, USA, 1991; pp. 153–176. [Google Scholar]
- Pickering, H.; Whitmarsh, D. Artificial reefs and fisheries exploitation: A review of the ‘attraction versus production’ debate, the influence of design and its significance for policy. Fish. Res. 1997, 31, 39–59. [Google Scholar] [CrossRef]
- Seaman, W. Artificial habitats and the restoration of degraded marine ecosystems and fisheries. Hydrobiologia 2007, 580, 143–155. [Google Scholar] [CrossRef]
- Andrade Frehse, F.; Derviche, P.; Pereira, F.W.; Hostim-Silva, M.; Simões Vitule, J.R. Artificial aquatic hábitats: A systematic literature review and new perspectives. Hydrobiologia 2025, 852, 1997–2012. [Google Scholar] [CrossRef]
- Lange, C.J.; Ratoi, L.; Co, D.L. Reformative coral habitats-Rethinking artificial coral reef structures through a robotic clay printing method. InRE: Anthropocene, Design in the Age of Humans. In Proceedings of the 25th International Conference of the Association for Computer-Aided Architectural Design Research, Singapore, 30 June–3 July 2020; CAADRIA: Hsinchu, China, 2020; Volume 2. [Google Scholar]
- Avila-Ramírez, A.; Valle-Pérez, A.U.; Susapto, H.H.; Pérez-Pedroza, R.; Briola, G.R.; Alrashoudi, A.; Khan, Z.; Bilalis, P.; Hauser, C.A. Ecologically friendly biofunctional ink for reconstruction of rigid living systems under wet conditions. Int. J. Bioprinting. 2021, 7, 65–75. [Google Scholar] [CrossRef]
- Hirsch, M.; Lucherini, L.; Zhao, R.; Saracho, A.C.; Amstad, E. 3D printing of living structural biocomposites. Materials Today 2023, 62, 21–32. [Google Scholar] [CrossRef]
- Gutiérrez-Heredia, L.; Keogh, C.; Keaveney, S.; Reynaud, E.G. 3D printing solutions for coral studies, education and monitoring. Reef Encounter. 2016, 31, 39–44. [Google Scholar]
- Oren, A.; Berman, O.; Neri, R.; Edery-Lutri, M.; Chernihovsky, N.; Tarazi, E.; Shashar, N. Ecological succession on 3D printed ceramic artificial reefs. Sci. Total Environ. 2024, 954, 176371. [Google Scholar] [CrossRef]
- Albalawi, H.I.; Khan, Z.N.; Valle-Pérez, A.U.; Kahin, K.M.; Hountondji, M.; Alwazani, H.; Schmidt-Roach, S.; Bilalis, P.; Aranda, M.; Duarte, C.M.; et al. Sustainable and eco-friendly coral restoration through 3D printing and fabrication. ACS Sust. Chem. Eng. 2021, 9, 12634–12645. [Google Scholar] [CrossRef]
- Good, A.M. Investigating the Influence of Additional Structural Complexity in Present Day Reef Restoration. Master’s Thesis, University of Delaware, Delaware, NJ, USA, 2020; pp. 1–78. [Google Scholar]
- Levy, N.; Simon-Blecher, N.; Ben-Ezra, S.; Yuval, M.; Doniger, T.; Leray, M.; Karako-Lampert, S.; Tarazi, E.; Levy, O. Evaluating biodiversity for coral reef reformation and monitoring on complex 3D structures using environmental DNA (eDNA) metabarcoding. Sci. Total Env. 2023, 856, 159051. [Google Scholar] [CrossRef]
- Crawford, A.; Humanes, A.; Caldwell, G.; Guest, J.; van der Steeg, E. Architecture for coral restoration: Using clay-based digital fabrication to overcome bottlenecks to coral larval propagation. In Structures and Architecture A Viable Urban Perspective? CRC Press: Boca Raton, FL, USA, 2022; pp. 458–466. [Google Scholar]
- Berman, O.; Levy, N.; Parnas, H.; Levy, O.; Tarazi, E. Exploring new frontiers in coral nurseries: Leveraging 3D printing technology to benefit coral growth and survival. J. Mar. Sci. Eng. 2023, 11, 1695. [Google Scholar] [CrossRef]
- Muñoz-Maravilla, J.D.; Edmunds, P.J. Three-dimensional printing can provide opportunities to promote coral recruitment on disturbed reefs. Bull. Mar. Sci. 2024, 101, 283–296. [Google Scholar] [CrossRef]
- Leonard, C.; Hédouin, L.; Lacorne, M.C.; Dalle, J.; Lapinski, M.; Blanc, P.; Nugues, M.M. Performance of innovative materials as recruitment substrates for coral restoration. Rest. Ecol. 2022, 30, e13625. [Google Scholar] [CrossRef]
- Levenstein, M.A.; Gysbers, D.J.; Marhaver, K.L.; Kattom, S.; Tichy, L.; Quinlan, Z.; Tholen, H.M.; Wegley Kelly, L.; Vermeij, M.J.; Wagoner Johnson, A.J.; et al. Millimeter-scale topography facilitates coral larval settlement in wave-driven oscillatory flow. PLoS ONE 2022, 17, e0274088. [Google Scholar] [CrossRef] [PubMed]
- Frau, L.; Marzeddu, A.; Dini, E.; Gracía, V.; Gironella, X.; Erioli, A.; Zomparelli, A.; Sánchez-Arcilla, A. Effects of ultra-porous 3D printed reefs on wave kinematics. J. Coast. Res. 2016, 37, 851–855. [Google Scholar] [CrossRef]
- Geldard, J.; Lowe, R.; Draper, S.; Ghisalberti, M.; Westera, S.; Ellwood, G.; Cuttler, M.; Smith, D.; McArdle, A. Effectiveness of coral reef restoration in wave attenuation applications. Coast. Eng. Proc. 2022, 37, 90–91. [Google Scholar] [CrossRef]
- Karim, F.; Nandasena, N.A. Experimental and numerical assessment of marine flood reduction by coral reefs. Nat. Hazards Res. 2023, 3, 35–41. [Google Scholar] [CrossRef]
- Norris, B.K.; Storlazzi, C.D.; Pomeroy, A.W.; Reguero, B.G. Optimizing infragravity: Wave attenuation to improve coral reef restoration design for coastal defense. J. Mar. Sci. Eng. 2024, 12, 768. [Google Scholar] [CrossRef]
- Hernández-Delgado, E.A.; Laureano, R. Bringing back reef fish: Sustainable impacts of community-based restoration of Elkhorn coral (Acropora palmata) in Vega Baja, Puerto Rico (2008–2023). Sustainability 2024, 16, 5985. [Google Scholar] [CrossRef]
- Pérez-Pagán, B.S.; Mercado-Molina, A.E. Evaluation of the effectiveness of 3D-printed corals to attract coral reef fish at Tamarindo Reef, Culebra, Puerto Rico. Conserv. Evid. 2018, 15, 43–47. [Google Scholar]
- Ruhl, E.J. Understanding the Importance of Habitat Complexity for Juvenile Fish and the Application of 3D Printed Corals for Reef Restoration. Master’s Thesis, University of Delaware, Delaware, NJ, USA, 2018; pp. 1–92. [Google Scholar]
- Ruhl, E.J.; Dixson, D.L. 3D printed objects do not impact the behavior of a coral-associated damselfish or survival of a settling stony coral. PLoS ONE 2019, 14, e0221157. [Google Scholar] [CrossRef] [PubMed]
- Tarazi, E.; Parnas, H.; Lotan, O.; Zoabi, M.; Oren, A.; Josef, N.; Shashar, N. Nature-centered design: How design can support science to explore ways to restore coral reefs. The Design J. 2019, 22 (Suppl. S1), 1619–1628. [Google Scholar] [CrossRef]
- Garg, A.; Green, S.J. An integrative method for enhancing the ecological realism of aquatic artificial habitat designs using 3D scanning, printing, moulding and casting. Front. Built Environ. 2022, 8, 763315. [Google Scholar] [CrossRef]
- Riera, E.; Hubas, C.; Ungermann, M.; Rigot, G.; Pey, A.; Francour, P.; Rossi, F. Artificial reef effectiveness changes among types as revealed by underwater hyperspectral imagery. Rest. Ecol. 2023, 31, e13978. [Google Scholar] [CrossRef]
- Oren, A.; Berman, O.; Neri, R.; Tarazi, E.; Parnas, H.; Lotan, O.; Zoabi, M.; Josef, N.; Shashar, N. Three-dimensional-printed coral-like structures as a habitat for reef fish. J. Mar. Sci. Eng. 2023, 11, 882. [Google Scholar] [CrossRef]
- Wangpraseurt, D.; You, S.; Azam, F.; Jacucci, G.; Gaidarenko, O.; Hildebrand, M.; Kühl, M.; Smith, A.G.; Davey, M.P.; Smith, A.; et al. Bionic 3D printed corals. Nature Comm. 2020, 11, 1748. [Google Scholar] [CrossRef]
- Wangpraseurt, D.; Sun, Y.; You, S.; Chua, S.T.; Noel, S.K.; Willard, H.F.; Berry, D.B.; Clifford, A.M.; Plummer, S.; Xiang, Y.; et al. Bioprinted living coral microenvironments mimicking coral-algal symbiosis. Adv. Funct. Mat. 2022, 32, 2202273. [Google Scholar] [CrossRef]
- Firmanda, A.; Syamsu, K.; Sari, Y.W.; Cabral, J.; Pletzer, D.; Mahadik, B.; Fisher, J.; Fahma, F. 3D printed cellulose based product applications. Mat. Chem. Front. 2022, 6, 254–279. [Google Scholar] [CrossRef]
- Yoris-Nobile, A.I.; Slebi-Acevedo, C.J.; Lizasoain-Arteaga, E.; Indacoechea-Vega, I.; Blanco-Fernández, E.; Castro-Fresno, D.; Alonso-Estebanez, A.; Alonso-Cañón, S.; Real-Gutiérrez, C.; Boukhelf, F.; et al. Artificial reefs built by 3D printing: Systematisation in the design, material selection and fabrication. Const. Building Mat. 2023, 362, 129766. [Google Scholar] [CrossRef]
- Shantz, A.A.; Ladd, M.C.; Schrack, E.; Burkepile, D.E. Fish-derived nutrient hotspots shape coral reef benthic communities. Ecol. Appl. 2015, 25, 2142–2152. [Google Scholar] [CrossRef]
- Stuart, C.E.; Wedding, L.M.; Pittman, S.J.; Serafy, J.E.; Moura, A.; Bruckner, A.W.; Green, S.J. Seascape connectivity modeling predicts hotspots of fish-derived nutrient provisioning to restored coral reefs. Mar. Ecol. Progr. Series. 2023, 731, 179–196. [Google Scholar] [CrossRef]
- Krasowska, K.; Heimowska, A. Degradability of polylactide in natural aqueous environments. Water 2023, 15, 198. [Google Scholar] [CrossRef]
- Royer, S.J.; Greco, F.; Kogler, M.; Deheyn, D.D. Not so biodegradable: Polylactic acid and cellulose/plastic blend textiles lack fast biodegradation in marine waters. PLoS ONE 2023, 18, e0284681. [Google Scholar] [CrossRef]
- Bohnsack, J.A.; Bannerot, S.P. A stationary visual census technique for quantitatively assessing community structure of coral reef fishes. NOAA Tech. Rept. NMFS 1986, 41, 1–15. [Google Scholar]
- Bohnsack, J.A.; Harper, D.E. Length-weight relationships of selected marine reef fishes from the southeastern United States and the Caribbean. NOAA Tech. Memo. NMFSSEFC 1988, 215, 1–31. [Google Scholar]
- Anderson, M.J.; Gorley, R.N.; Clarke, K.R. PERMANOVA + for PRIMER: Guide to Software and Statistical Methods; Massey University: Auckland, New Zealand; Palmerston, New Zealand; PRIMER-e Ltd.: Plymouth, UK, 2008. [Google Scholar]
- Bray, J.R.; Curtis, J.T. An ordination of the upland forest communities of southern Wisconsin. Ecol. Monogr. 1957, 27, 325–349. [Google Scholar] [CrossRef]
- Randall, J.E. Food habits of reef fishes of the West Indies. Contrib. Inst. Mar. Biol. Univ. Puerto Rico, Mayagüez 1967, 5, 665–847. [Google Scholar]
- Clarke, K.R.; Gorley, R.N.; Somerfield, P.J.; Warwick, R.M. Change in Marine Communities: An Approach to Statistical Analysis and Interpretation, 3rd ed.; PRIMER-E: Plymouth, UK, 2014. [Google Scholar]
- Warwick, R.M.; Clarke, K.R. New\’biodiversity\’measures reveal a decrease in taxonomic distinctness with increasing stress. Mar. Ecol. Progr. Ser. 1995, 129, 301–305. [Google Scholar] [CrossRef]
- Faith, D.P. Conservation evaluation and phylogenetic diversity. Biol. Conserv. 1992, 61, 1–10. [Google Scholar] [CrossRef]
- Faith, D.P. Phylogenetic pattern and the quantification of organismal biodiversity. Phil. Trans. Royal Soc. London. Ser. B Biol. Sci. 1994, 345, 45–58. [Google Scholar]
- Roberts, C.M.; Ormond, R.F.G. Habitat complexity and coral reef fish diversity and abundance on Red Sea fringing reefs. Mar. Ecol. Progr. Ser. 1987, 41, 1–8. [Google Scholar] [CrossRef]
- Hawkins, J.P.; Roberts, C.M.; Van’THof, T.; De Meyer, K.; Tratalos, J.; Aldam, C. Effects of recreational scuba diving on Caribbean coral and fish communities. Conserv. Biol. 1999, 13, 888–897. [Google Scholar] [CrossRef]
- Clark, T.D.; Edwards, A.J. An evaluation of artificial reef structures as tools for marine habitat rehabilitation in the Maldives. Aquat. Conserv. Mar. Freshw. Ecosyst. 1999, 9, 5–21. [Google Scholar] [CrossRef]
- Spieler, R.E.; Gilliam, D.S.; Sherman, R.L. Artificial substrate and coral reef restoration: What do we need to know to know what we need. Bull. Mar. Sci. 2001, 69, 1013–1030. [Google Scholar]
- Fadli, N.; Campbell, S.J.; Ferguson, K.; Keyse, J.; Rudi, E.; Booth, D.J. The role of habitat creation in restoring fish communities: Coral transplantation and 3D-printed reefs. Mar. Biol. Res. 2012, 8, 765–772. [Google Scholar]
- Heery, E.C.; Sebens, K.P.; Sebens, K.P. Experimental test of the effect of habitat complexity on the diversity of coral reef fishes. Mar. Ecol. Progr. Ser. 2014, 511, 169–184. [Google Scholar]
- Ng, C.S.L.; Toh, T.C.; Chou, L.M. Artificial reefs as a reef restoration strategy in sediment-affected environments: Insights from long-term monitoring. Aquat. Conserv. Mar. Freshw. Ecosyst. 2016, 26, 331–345. [Google Scholar] [CrossRef]
- Ferse, S.C.A.; Knittweis, L.; Krause, G.; Maddusila, A.; Glaser, M. Livelihoods of ornamental coral fishermen in South Sulawesi/Indonesia: Implications for management. Coastal Mgmt. 2013, 40, 525–555. [Google Scholar] [CrossRef]
- Coker, D.J.; Wilson, S.K.; Pratchett, M.S. Importance of live coral habitat for reef fishes. Rev. Fish Biol. Fish. 2014, 24, 89–126. [Google Scholar] [CrossRef]
- Harborne, A.R.; Mumby, P.J.; Kennedy, E.V.; Ferrari, R. Biotic and multi-scale abiotic controls of habitat quality: Their effect on coral-reef fishes. Mar. Ecol. Progr. Ser. 2011, 437, 201–214. [Google Scholar] [CrossRef]
- Messmer, V.; Jones, G.P.; Munday, P.L.; Holbrook, S.J.; Schmitt, R.J.; Brooks, A.J. Habitat biodiversity as a determinant of fish community structure on coral reefs. Ecology 2011, 92, 2285–2298. [Google Scholar] [CrossRef] [PubMed]
- Graham, N.A.J.; Nash, K.L. The importance of structural complexity in coral reef ecosystems. Coral Reefs 2013, 32, 315–326. [Google Scholar] [CrossRef]
- Kerry, J.T.; Bellwood, D.R. Competition for shelter in a high-diversity system: Structure use by large reef fishes. Coral Reefs 2016, 35, 245–252. [Google Scholar] [CrossRef]
- Chabanet, P.; Ralambondrainy, H.; Amanieu, M.; Faure, G.; Galzin, R. Relationships between coral reef substrata and fish. Coral Reefs 1997, 16, 93–102. [Google Scholar] [CrossRef]
- Jones, G.P.; Syms, C. Disturbance, habitat structure and the ecology of fishes on coral reefs. Austr. J. Ecol. 1998, 23, 287–297. [Google Scholar] [CrossRef]
- Pittman, S.J.; Christensen, J.D.; Caldow, C.; Menza, C.; Monaco, M.E. Predictive mapping of fish species richness across shallow-water seascapes in the Caribbean. Ecol. Mod. 2007, 204, 9–21. [Google Scholar] [CrossRef]
- Wilson, S.K.; Graham, N.A.; Polunin, N.V. Appraisal of visual assessments of habitat complexity and benthic composition on coral reefs. Mar. Biol. 2007, 151, 1069–1076. [Google Scholar] [CrossRef]
- Risk, M.J. Fish diversity on a coral reef in the Virgin Islands. Atoll Res. Bull. 1972, 153, 1–4. [Google Scholar] [CrossRef]
- Luckhurst, B.E.; Luckhurst, K. Analysis of the influence of substrate variables on coral reef fish communities. Mar. Biol. 1978, 49, 317–323. [Google Scholar] [CrossRef]
- Friedlander, A.M.; Parrish, J.D. Habitat characteristics affecting fish assemblages on a Hawaiian coral reef. J. Exp. Mar. Biol. Ecol. 1998, 224, 1–30. [Google Scholar] [CrossRef]
- Darling, E.S.; Graham, N.A.; Januchowski-Hartley, F.A.; Nash, K.L.; Pratchett, M.S.; Wilson, S.K. Relationships between structural complexity, coral traits, and reef fish assemblages. Coral. Reefs. 2017, 36, 561–575. [Google Scholar] [CrossRef]
- Mazzuco, A.C.; Stelzer, P.S.; Bernardino, A.F. Substrate rugosity and temperature matters: Patterns of benthic diversity at tropical intertidal reefs in the SW Atlantic. Peer J. 2020, 8, e8289. [Google Scholar] [CrossRef] [PubMed]
- Ormond, R.F.; Roberts, J.M.; Jan, R.Q. Behavioural differences in microhabitat use by damselfishes (Pomacentridae): Implications for reef fish biodiveristy. J. Exp. Mar. Biol. Ecol. 1996, 202, 85–95. [Google Scholar] [CrossRef]
- Kerry, J.T.; Bellwood, D.R. Environmental drivers of sheltering behaviour in large reef fishes. Mar. Poll. Bull. 2017, 125, 254–259. [Google Scholar] [CrossRef]
- Komyakova, V.; Jones, G.P.; Munday, P.L. Strong effects of coral species on the diversity and structure of reef fish communities: A multi-scale analysis. PLoS ONE 2018, 13, e0202206. [Google Scholar] [CrossRef]
- Komyakova, V.; Munday, P.L.; Jones, G.P. Relative importance of coral cover, habitat complexity and diversity in determining the structure of reef fish communities. PLoS ONE 2013, 8, e83178. [Google Scholar] [CrossRef]
- Brandt, M.E.; Zurcher, N.; Acosta, A.; Ault, J.S.; Bohnsack, J.A.; Feeley, M.W.; Harper, D.E.; Hunt, J.; Kellison, G.T.; McClellan, D.B.; et al. Reef-fish abundance, biomass, and biodiversity inside and outside no-take marine zones in the Florida Keys National Marine Sanctuary: 1999–2018. Oceanography 2020, 33, 104–117. [Google Scholar]
- Kerry, J.T.; Bellwood, D.R. The effect of coral morphology on shelter selection by coral reef fishes. Coral Reefs 2012, 31, 415–424. [Google Scholar] [CrossRef]
- McCormick, M.I. Comparison of field methods for measuring surface topography and their associations with a tropical reef fish assemblage. Mar. Ecol. Progr. Ser. 1994, 112, 87–96. [Google Scholar] [CrossRef]
- Hixon, M.A.; Beets, J.P. Predation, prey refuges, and the structure of coral-reef fish assemblages. Ecol. Monogr. 1993, 63, 77–101. [Google Scholar] [CrossRef]
- Alvarez-Filip, L.; Gill, J.A.; Dulvy, N.K. Complex reef architecture supports more small-bodied fishes and longer food chains on Caribbean reefs. Ecosphere 2011, 2, 1–17. [Google Scholar] [CrossRef]
- Alvarez-Filip, L.; Paddack, M.J.; Collen, B.; Robertson, D.R.; Côté, I.M. Simplification of Caribbean reef-fish assemblages over decades of coral reef degradation. PLoS ONE 2015, 10, e0126004. [Google Scholar] [CrossRef] [PubMed]
- Alvarez-Filip, L.; Dulvy, N.K.; Gill, J.A.; Côté, I.M.; Watkinson, A.R. Flattening of Caribbean coral reefs: Region-wide declines in architectural complexity. Proc. Royal Soc. B Biol. Sci. 2009, 276, 3019–3025. [Google Scholar] [CrossRef] [PubMed]
- Rogers, A.; Blanchard, J.L.; Mumby, P.J. Vulnerability of coral reef fisheries to a loss of structural complexity. Current Biol. 2014, 24, 1000–1005. [Google Scholar] [CrossRef]
- Wilson, S.K.; Graham, N.A.J.; Polunin, N.V.C. Apparent recovery of a Seychelles coral reef following a severe bleaching event. Mar. Ecol. Progr. Ser. 2007, 306, 131–142. [Google Scholar]
- MacNeil, M.A.; Graham, N.A.J.; Cinner, J.E.; Wilson, S.K.; Williams, I.D.; Maina, J.; Newman, S.; Friedlander, A.M.; Jupiter, S.; Polunin, N.V.C.; et al. Recovery potential of the world’s coral reef fishes. Nature 2015, 520, 341–344. [Google Scholar] [CrossRef]
- Ladd, M.C.; Shantz, A.A. Trophic interactions in coral reef restoration: A review. Coral Reefs 2020, 39, 1283–1297. [Google Scholar] [CrossRef]
- Robinson, J.P.; Wilson, S.K.; Robinson, J.; Gerry, C.; Lucas, J.; Assan, C.; Govinden, R.; Jennings, S.; Graham, N.A. Productive instability of coral reef fisheries after climate-driven regime shifts. Nature Ecol. Evol. 2019, 3, 183–190. [Google Scholar] [CrossRef]
- Adam, T.C.; Burkepile, D.E.; Ruttenberg, B.I.; Paddack, M.J. Herbivory and the resilience of Caribbean coral reefs: Knowledge gaps and implications for management. Mar. Ecol. Progr. Ser. 2015, 520, 1–20. [Google Scholar] [CrossRef]
- Burkepile, D.E.; Hay, M.E. Impact of herbivore identity on algal succession and coral growth on a Caribbean reef. PLoS ONE 2010, 5, e8963. [Google Scholar] [CrossRef]
- Ceccarelli, D.M.; Jones, G.P.; McCook, L.J. Interactions between herbivorous fish guilds and their influence on algal succession on a coastal coral reef. J. Exp. Mar. Biol. Ecol. 2011, 399, 60–67. [Google Scholar] [CrossRef]
- Calle-Triviño, J.; Muñiz-Castillo, A.I.; Cortés-Useche, C.; Morikawa, M.; Sellares-Blasco, R.; Arias-González, J.E. Approach to the functional importance of Acropora cervicornis in outplanting sites in the Dominican Republic. Front. Mar. Sci. 2021, 8, 668325. [Google Scholar] [CrossRef]
- Bonaldo, R.M.; Hay, M.E. Seaweed–coral interactions: Variance in seaweed allelopathy, coral susceptibility, and potential effects on coral resilience. PLoS ONE 2014, 9, e85786. [Google Scholar] [CrossRef] [PubMed]
- Steneck, R.S.; Arnold, S.N.; Mumby, P.J. Experiment mimics fishing on parrotfish: Insights on coral reef recovery and alternative attractors. Mar. Ecol. Progr. Ser. 2014, 506, 115–127. [Google Scholar] [CrossRef]
- Mumby, P.J.; Harborne, A.R. Marine reserves enhance the recovery of corals on Caribbean reefs. PLoS ONE 2010, 5, e8657. [Google Scholar] [CrossRef]
- McClanahan, T.R.; Muthiga, N.A. Geographic extent and variation of a coral reef trophic cascade. Ecology 2016, 97, 1862–1872. [Google Scholar] [CrossRef]
- Mumby, P.J.; Hastings, A.; Edwards, H.J. Thresholds and the resilience of Caribbean coral reefs. Nature 2007, 450, 98–101. [Google Scholar] [CrossRef]
- Hughes, T.P.; Rodrigues, M.J.; Bellwood, D.R.; Ceccarelli, D.; Hoegh-Guldberg, O.; McCook, L.; Willis, B. Phase shifts, herbivory, and the resilience of coral reefs to climate change. Curr. Biol. 2007, 17, 360–365. [Google Scholar] [CrossRef]
- Yemane, D.; Field, J.G.; Leslie, R.W. Exploring the effects of fishing on fish assemblages using Abundance Biomass Comparison (ABC) curves. ICES J. Mar. Sci. 2005, 62, 374–379. [Google Scholar] [CrossRef]
- Xu, S.; Guo, J.; Liu, Y.; Fan, J.; Xiao, Y.; Xu, Y.; Li, C.; Barati, B. Evaluation of fish communities in Daya bay using biomass size spectrum and ABC curve. Front. Environ. Sci. 2021, 9, 663169. [Google Scholar] [CrossRef]
- Wijeyaratne, M.J.S.; Bellanthudawa, B.K. Effectiveness of Biomass/Abundance Comparison (ABC) models in assessing fish community disturbances. Water 2022, 14, 2934. [Google Scholar]
- Lecchini, D.; Nakamura, Y. Use of chemical cues by coral reef animal larvae for habitat selection. Aquat. Biol. 2013, 19, 231–238. [Google Scholar] [CrossRef]
- Marcos, M.; Amores, A.; Agulles, M.; Robson, J.; Feng, X. Global warming drives a threefold increase in persistence and 1 °C rise in intensity of marine heatwaves. Proc. Natnl. Acad. Sci. USA 2025, 122, e2413505122. [Google Scholar] [CrossRef] [PubMed]
- Rodrigues, R.R.; Gonçalves Neto, A.H.; Vieira, E.A.; Longo, G.O. The severe 2020 coral bleaching event in the tropical Atlantic linked to marine heatwaves. Comm. Earth Environ. 2025, 6, 208. [Google Scholar] [CrossRef]
- Wilson, S.K.; Graham, N.A.J.; Pratchett, M.S.; Jones, G.P.; Polunin, N.V.C. Multiple disturbances and the global degradation of coral reefs: Are reef fishes at risk or resilient? Global Change Biol. 2006, 12, 2220–2234. [Google Scholar] [CrossRef]
- Pratchett, M.S.; Munday, P.L.; Wilson, S.K.; Graham, N.A.J.; Cinner, J.E.; Bellwood, D.R.; McClanahan, T.R. Effects of climate-induced coral bleaching on coral-reef fishes: Ecological and economic consequences. Oceanogr. Mar. Biol. Ann. Rev. 2008, 46, 251–296. [Google Scholar]
- Graham, N.A.; Wilson, S.K.; Jennings, S.; Polunin, N.V.; Bijoux, J.P.; Robinson, J. Dynamic fragility of oceanic coral reef ecosystems. Proc. Natnl. Acad. Sci. USA 2006, 103, 8425–8429. [Google Scholar] [CrossRef]
- Hughes, T.P.; Kerry, J.T.; Baird, A.H.; Connolly, S.R.; Chase, T.J.; Dietzel, A.; Torda, G. Global warming impairs stock–recruitment dynamics of corals. Nature 2019, 568, 387–390. [Google Scholar] [CrossRef]
- Bellwood, D.R.; Hughes, T.P.; Folke, C.; Nyström, M. Confronting the coral reef crisis. Nature 2004, 429, 827–833. [Google Scholar] [CrossRef]
- Nash, K.L.; Graham, N.A.J.; Wilson, S.K.; Bellwood, D.R. Cross-scale habitat structure drives fish body size distributions on coral reefs. Ecosystems 2013, 16, 478–490. [Google Scholar] [CrossRef]
- Graham, N.A.J.; Wilson, S.K.; Jennings, S.; Polunin, N.V.C.; Robinson, J.; Bijoux, J.P.; Daw, T.M. Lag effects in the impacts of mass coral bleaching on coral reef fish, fisheries, and ecosystems. Conserv. Biol. 2007, 21, 1291–1300. [Google Scholar] [CrossRef] [PubMed]
- Stuart-Smith, R.D.; Brown, C.J.; Ceccarelli, D.M.; Edgar, G.J. Ecosystem restructuring along the Great Barrier Reef following mass coral bleaching. Nature 2018, 560, 92–96. [Google Scholar] [CrossRef] [PubMed]
- Richardson, L.E.; Graham, N.A.J.; Pratchett, M.S.; Eurich, J.G.; Hoey, A.S. Mass coral bleaching causes biotic homogenization of reef fish assemblages. Global Change Biol. 2018, 24, 3117–3129. [Google Scholar] [CrossRef] [PubMed]
- Emslie, M.J.; Logan, M.; Williamson, D.H.; Ayling, A.M.; MacNeil, M.A.; Ceccarelli, D.; Thompson, C.A. Recovery from disturbance: Coral reef dynamics under climate change. Mar. Ecol. Progr. Ser. 2020, 625, 177–191. [Google Scholar]
- Munday, P.L.; Jones, G.P.; Pratchett, M.S.; Williams, A.J. Climate change and the future for coral reef fishes. Fish Fisheries 2008, 9, 261–285. [Google Scholar] [CrossRef]
- Delgado Cintrón, C. Culebra y la Marina de Estados Unidos; Editorial Edil: San Juan, PR, USA, 1989; p. 346. [Google Scholar]
- Feliciano, C.C. Apuntes y Comentarios de la Colonización y Liberación de la Isla de Culebra, 2nd ed.; Fundación de Culebra: Culebra, PR, USA, 2001; p. 278. [Google Scholar]
- Hernández-Delgado, E.A.; Montañez-Acuña, A.; Otaño-Cruz, A.; Suleimán-Ramos, S.E. Bomb-cratered coral reefs in Puerto Rico, the untold story about a novel habitat: From reef destruction to community-based ecological rehabilitation. Rev. Biol. Trop. 2014, 62, 350–367. [Google Scholar]
- Hernández-Delgado, E.A.; Alejandro-Camis, P.; Cabrera-Beauchamp, G.; Fonseca-Miranda, J.S.; Gómez-Andújar, N.X.; Gómez, P.; Guzmán-Rodríguez, R.; Olivo-Maldonado, I.; Suleimán-Ramos, S.E. Stronger hurricanes and climate change in the Caribbean Sea: Threats to the sustainability of endangered coral species. Sustainability 2024, 16, 1506. [Google Scholar] [CrossRef]
- Hernández-Delgado, E.A.; Toledo-Hernández, C.; Ruíz-Díaz, C.P.; Gómez-Andújar, N.; Medina-Muñiz, J.L.; Canals-Silander, M.F.; Suleimán-Ramos, S.E. Hurricane impacts and the resilience of the invasive sea vine. Halophila stipulacea: A case study from Puerto Rico. Est. Coasts 2020, 43, 1263–1283. [Google Scholar]
- Ramos-Scharrón, C.E.; Amador, J.M.; Hernández-Delgado, E.A. An interdisciplinary erosion mitigation approach for coral reef protection—A case study from the eastern Caribbean. In Marine Ecosystems; InTech Publications: London, UK, 2012; pp. 127–160. [Google Scholar]
- Ramos-Scharrón, C.E.; McLaughlin, P.; Figueroa-Sánchez, Y. Impacts of unpaved roads on runoff and erosion in a dry tropical setting: Isla De Culebra, Puerto Rico. J. Soils Sediments 2024, 24, 1420–1430. [Google Scholar] [CrossRef]
- Gómez-Andújar, N.X.; Hernandez-Delgado, E.A. Spatial benthic community analysis of shallow coral reefs to support coastal management in Culebra Island, Puerto Rico. Peer J. 2020, 8, e10080. [Google Scholar] [CrossRef]
- Hernández-Delgado, E.A.; Ortiz-Flores, M.F. The long and winding road of coral reef recovery in the Anthropocene: A case study from Puerto Rico. Diversity 2022, 14, 804. [Google Scholar] [CrossRef]
- Hernández-Delgado, E.A.; Rosado, B.J.; Sabat, A.M. Management failures and coral decline threatens fish functional groups recovery patterns in the Luis Peña Channel No-take Natural Reserve, Culebra Island, Puerto Rico. Proc. Gulf Caribb. Fish. Inst. 2006, 57, 577–605. [Google Scholar]
- Lapointe, B.E.; Brewton, R.A.; Herren, L.W.; Porter, J.W.; Hu, C. Nitrogen enrichment, altered stoichiometry, and coral reef decline at Looe Key, Florida Keys, USA: A 3-decade study. Mar. Biol. 2019, 166, 108. [Google Scholar] [CrossRef]
- Lesser, M.P. Eutrophication on coral reefs: What is the evidence for phase shifts, nutrient limitation and coral bleaching. BioScience 2021, 71, 1216–1233. [Google Scholar] [CrossRef]
- Thanopoulou, Z.; Patus, J.; Sealey, K.S. Water quality negatively impacts coral occurrence in eutrophic nearshore environments of the Florida Keys. Front. Mar. Sci. 2022, 9, 1005036. [Google Scholar] [CrossRef]
- Wear, S.L.; Vega Thurber, R. Sewage pollution: Mitigation is key for coral reef stewardship. Ann. NY Acad. Sci. 2015, 1355, 15–30. [Google Scholar] [CrossRef]
- Gong, Y.; Zhang, J.; Chen, Z.; Cai, Y.; Yang, Y. Taxonomic diversity and interannual variation of fish in the lagoon of Meiji Reef (Mischief Reef), South China Sea. Biology 2024, 13, 740. [Google Scholar] [CrossRef]
- Opel, A.H.; Cavanaugh, C.M.; Rotjan, R.D.; Nelson, J.P. The effect of coral restoration on Caribbean reef fish communities. Mar. Biol. 2017, 164, 221. [Google Scholar] [CrossRef]
- Riera, E.; Lamy, D.; Goulard, C.; Francour, P.; Hubas, C. Biofilm monitoring as a tool to assess the efficiency of artificial reefs as substrates: Toward 3D printed reefs. Ecol. Eng. 2018, 120, 230–237. [Google Scholar] [CrossRef]
- Stier, A.C.; Chase, T.J.; Osenberg, C.W. Fish services to corals: A review of how coral-associated fishes benefit corals. Coral Reefs 2025, 44, 825–834. [Google Scholar] [CrossRef]
- Rossbach, S.; Steckbauer, A.; Klein, S.G.; Arossa, S.; Geraldi, N.R.; Lim, K.K.; Martin, C.; Rossbach, F.I.; Shellard, M.J.; Valluzzi, L.; et al. A tide of change: What we can learn from stories of marine conservation success. One Earth 2023, 6, 505–518. [Google Scholar] [CrossRef]


















| Source 1 | df | S | Total Abundance | H’n | J’n |
|---|---|---|---|---|---|
| Time | 1 | 36.90 * | 15.81 | 62.61 * | 49.34 * |
| <0.0001 | <0.0001 | <0.0001 | <0.0001 | ||
| Treatment | 3 | 3.84 | 0.87 | 1.69 | 1.77 |
| 0.0094 | 0.4707 | 0.1624 | 0.1466 | ||
| Location | 1 | 24.38 | 32.30 * | 6.1 | 11.69 |
| <0.0001 | <0.0001 | 0.0109 | 0.0008 | ||
| Time × Treatment | 3 | 2.56 | 0.4 | 1.62 | 1.04 |
| 0.0526 | 0.8063 | 0.1792 | 0.3736 | ||
| Time × Location | 1 | 0.88 | 8.49 | 13.8 | 14.23 |
| 0.3549 | 0.0029 | 0.0002 | 0.0002 | ||
| Treat. × Location | 3 | 6.62 | 3.55 | 3.21 | 3.32 |
| 0.0002 | 0.0094 | 0.0179 | 0.0196 | ||
| Time × Treat. × Loc. | 3 | 1.11 | 0.9 | 1.58 | 1.24 |
| 0.3508 | 0.4411 | 0.1936 | 0.2956 | ||
| Residual | 176 |
| Source 1 | df | Herb 2 | NDN | Br | Sc |
|---|---|---|---|---|---|
| Time | 1 | 20.91 | 0.68 | 24.41 * | 10.27 |
| <0.0001 | 0.4197 | <0.0001 | 0.0009 | ||
| Treatment | 3 | 4.36 | 1.87 | 1.28 | 1.84 |
| 0.0036 | 0.122 | 0.2606 | 0.1163 | ||
| Location | 1 | 24.05 * | 41.28 * | 20.27 | 39.51 * |
| <0.0001 | <0.0001 | <0.0001 | <0.0001 | ||
| Time × Treatment | 3 | 1.58 | 0.37 | 1.24 | 0.92 |
| 0.1845 | 0.8121 | 0.2772 | 0.441 | ||
| Time × Location | 1 | 2.48 | 0.79 | 9.84 | 0.99 |
| 0.1044 | 0.3862 | 0.0004 | 0.333 | ||
| Treat. × Location | 3 | 0.36 | 1.29 | 1.32 | 0.76 |
| 0.8274 | 0.277 | 0.2422 | 0.5473 | ||
| Time × Treat. × Loc. | 3 | 1.16 | 0.67 | 1.25 | 1.02 |
| 0.3221 | 0.5815 | 0.275 | 0.3950 | ||
| Residual | 176 |
| Source 1 | df | Carn 2 | Gen | Pisc | Plank | Omn |
|---|---|---|---|---|---|---|
| Time | 1 | 0.99 | 3.69 | 10.3 | 2.39 | 18.47 |
| 0.3241 | 0.0522 | 0.0005 | 0.1041 | <0.0001 | ||
| Treatment | 3 | 2.4 | 1.55 | 0.66 | 0.98 | 2.92 |
| 0.0553 | 0.1889 | 0.6313 | 0.4137 | 0.0085 | ||
| Location | 1 | 2.23 | 2.48 | 3.88 | 10.29 * | 38.79 * |
| 0.1261 | 0.1116 | 0.0316 | 0.001 | <0.0001 | ||
| Time × Treatment | 3 | 0.83 | 0.52 | 0.78 | 1.05 | 0.64 |
| 0.4963 | 0.6964 | 0.551 | 0.3677 | 0.7036 | ||
| Time × Location | 1 | 4.43 * | 4.96 | 0.03 | 0.05 | 11.28 |
| 0.0287 | 0.0212 | 0.9737 | 0.9562 | 0.0004 | ||
| Treat. × Location | 3 | 2.44 | 3.70* | 2.02 | 3.21 | 4.09 |
| 0.0515 | 0.0104 | 0.0848 | 0.0119 | 0.0017 | ||
| Time × Treat. × Loc. | 3 | 0.56 | 0.18 | 3.53 * | 0.89 | 0.94 |
| 0.6789 | 0.9455 | 0.0067 | 0.4681 | 0.4579 | ||
| Residual | 176 |
| Source 1 | df | Total Biomass 2 | Herb | NDN | Br | Sc |
|---|---|---|---|---|---|---|
| Time | 1 | 9.12 | 11.48 * | 2.26 | 18.46 * | 5.9 |
| 0.0025 | 0.0003 | 0.1208 | <0.0001 | 0.0059 | ||
| Treatment | 3 | 0.23 | 2.07 | 1.97 | 1.37 | 1.48 |
| 0.9374 | 0.0815 | 0.1005 | 0.2038 | 0.1865 | ||
| Location | 1 | 2.41 | 5.78 | 67.88 * | 4.71 | 9.01 * |
| 0.108 | 0.0102 | <0.0001 | 0.0066 | 0.0008 | ||
| Time × Treatment | 3 | 1.07 | 1.56 | 0.35 | 1.05 | 1.72 |
| 0.3621 | 0.1751 | 0.8615 | 0.3871 | 0.1242 | ||
| Time × Location | 1 | 0.46 | 4.57 | 2.21 | 0.8 | 3.65 |
| 0.5421 | 0.0208 | 0.124 | 0.4637 | 0.0315 | ||
| Treat. × Location | 3 | 6.86 * | 0.48 | 4.32 | 0.59 | 0.95 |
| 0.0002 | 0.7629 | 0.0029 | 0.787 | 0.4346 | ||
| Time × Treat. × Loc. | 3 | 0.88 | 0.95 | 0.5 | 1.68 | 0.54 |
| 0.4609 | 0.4333 | 0.7376 | 0.1061 | 0.7671 | ||
| Residual | 176 |
| Source 1 | df | Carn 2 | Gen | Pisc | Plank | Omn |
|---|---|---|---|---|---|---|
| Time | 1 | 4.98 | 4.47 | 10.31 | 0.37 | 1.71 |
| 0.0173 | 0.0258 | 0.0007 | 0.7182 | 0.1693 | ||
| Treatment | 3 | 0.42 | 0.14 | 0.28 | 1.4 | 3.8 |
| 0.8019 | 0.9833 | 0.9345 | 0.2044 | 0.0019 | ||
| Location | 1 | 4.06 | 7.4 | 5.81 | 19.95 * | 34.86 * |
| 0.0355 | 0.0035 | 0.0086 | <0.0001 | <0.0001 | ||
| Time × Treatment | 3 | 0.72 | 0.3 | 1.09 | 0.67 | 0.36 |
| 0.5706 | 0.8926 | 0.3512 | 0.6742 | 0.9161 | ||
| Time × Location | 1 | 1.49 | 5.43 | 0.1 | 1.27 | 5.23 |
| 0.2205 | 0.0014 | 0.9244 | 0.2711 | 0.0078 | ||
| Treat. × Location | 3 | 7.72 * | 4.97 * | 2.04 | 3.83 | 2.28 |
| <0.0001 | 0.0017 | 0.0737 | 0.001 | 0.0391 | ||
| Time × Treat. × Loc. | 3 | 1.69 | 0.72 | 3.40 * | 1.32 | 0.31 |
| 0.1466 | 0.569 | 0.0102 | 0.231 | 0.9478 | ||
| Residual | 176 |
| Source 1 | df | Abund | % Abund | Biomass | % Biomass |
|---|---|---|---|---|---|
| Time | 1 | 9.1 | 35.53 | 5.95 | 2.01 |
| 0.001 | <0.0001 | 0.0058 | 0.1261 | ||
| Treatment | 3 | 2.13 | 3.81 | 0.43 | 1.15 |
| 0.0618 | 0.0031 | 0.8763 | 0.3151 | ||
| Location | 1 | 16.24 | 0.27 | 4.66 | 5.86 * |
| <0.0001 | 0.8113 | 0.0159 | 0.0053 | ||
| Time × Treatment | 3 | 1.08 | 1.62 | 0.73 | 0.37 |
| 0.35 | 0.1411 | 0.6172 | 0.9229 | ||
| Time × Location | 1 | 2.17 | 8.19 * | 0.95 | 0.58 |
| 0.1104 | 0.0012 | 0.3695 | 0.5479 | ||
| Treat. × Location | 3 | 5.17 * | 2.56 | 4.92 * | 0.86 |
| <0.0001 | 0.0266 | 0.0003 | 0.4986 | ||
| Time × Treat. × Loc. | 3 | 0.45 | 0.4 | 0.83 | 0.26 |
| 0.8493 | 0.8951 | 0.5223 | 0.9835 | ||
| Residual | 176 |
| Source 1 | df | Abundance | Biomass |
|---|---|---|---|
| Time | 1 | 11.57 | 5.91 |
| <0.0001 | 0.0003 | ||
| Treatment | 3 | 1.73 | 0.84 |
| 0.0546 | 0.6303 | ||
| Location | 1 | 32.44 * | 13.90 * |
| <0.0001 | <0.0001 | ||
| Time × Treatment | 3 | 0.55 | 0.82 |
| 0.8905 | 0.6485 | ||
| Time × Location | 1 | 10.05 | 2.76 |
| <0.0001 | 0.0193 | ||
| Treat. × Location | 3 | 3.44 | 3.56 |
| 0.0004 | 0.0003 | ||
| Time × Treat. × Loc. | 3 | 1.2 | 1.29 |
| 0.2684 | 0.2004 | ||
| Residual | 176 |
| Variables 1 | Cor-0 | Cor-1 | 3D-0 | 3D-1 | Mix-0 | Mix-1 | Ctr-0 | Ctr-1 |
|---|---|---|---|---|---|---|---|---|
| Tax Div (Delta, ∆) | 65.81 ± 1.95 | 68.44 ± 0.70 | 65.67 ± 1.52 | 69.5 ± 0.57 | 64.72 ± 1.32 | 67.56 ± 1.10 | 65.96 ± 0.96 | 67.17 ± 1.03 |
| TD (Delta*, ∆*) | 72.44 ± 0.77 | 71.32 ± 0.62 | 72.6 ± 0.73 | 72.53 ± 0.46 | 72.07 ± 1.03 | 71.04 ± 0.68 | 71.49 ± 0.83 | 71.18 ± 0.77 |
| AvTD (Delta+, ∆+) | 72.76 ± 0.53 | 72.44 ± 0.55 | 72.17 ± 0.48 | 73.16 ± 0.46 | 71.96 ± 0.79 | 72.23 ± 0.67 | 71.89 ± 0.63 | 71.83 ± 0.54 |
| TTD (sDelta+, s∆+) | 1710.27 ± 112.90 | 2107.47 ± 176.53 | 1731.05 ± 170.54 | 2274.41 ± 208.04 | 1682.37 ± 172.76 | 2045.61 ± 153.89 | 1654.81 ± 103.43 | 1748.23 ± 143.40 |
| VarTD (Lambda+, Λ+) | 280.75 ± 23.33 | 259.37 ± 17.95 | 277.03 ± 17.91 | 243.73 ± 15.94 | 292.06 ± 33.10 | 264.27 ± 22.82 | 297.38 ± 22.06 | 289.43 ± 20.13 |
| AvPD (Φ+) | 47.25 ± 1.55 | 45.57 ± 1.12 | 47.38 ± 0.97 | 45.69 ± 1.14 | 47.33 ± 1.61 | 45.56 ± 0.98 | 45.85 ± 1.24 | 45.52 ± 0.90 |
| Faith’s PD (sΦ+) | 1103.33 ± 61.11 | 1316.67 ± 96.90 | 1130 ± 103.23 | 1410 ± 114.92 | 1095 ± 103.85 | 1288.33 ± 95.61 | 1053.33 ± 66.72 | 1105 ± 88.23 |
| Source 1 | df | ∆ 2 | ∆* | ∆+ | s∆+ | Λ+ |
|---|---|---|---|---|---|---|
| Time | 1 | 38.17 * | 6.81 | 1.18 | 43.27 * | 8.82 |
| <0.0001 | 0.0105 | 0.2780 | <0.0001 | 0.0034 | ||
| Treatment | 3 | 2.11 | 5.05 | 3.78 | 5.15 | 3.46 |
| 0.0982 | 0.0027 | 0.0136 | 0.0021 | 0.0161 | ||
| Location | 1 | 0.07 | 29.74 * | 18.78 * | 26.32 | 24.45 * |
| 0.7936 | <0.0001 | <0.0001 | <0.0001 | <0.0001 | ||
| Time × Treatment | 3 | 1.63 | 1.16 | 1.95 | 3.05 | 0.58 |
| 0.1855 | 0.3152 | 0.1246 | 0.0285 | 0.6234 | ||
| Time × Location | 1 | 2.89 | 10.89 | 0.0006 | 1.28 | 0.14 |
| 0.0945 | 0.0012 | 0.9798 | 0.2546 | 0.7090 | ||
| Treat. × Location | 3 | 3.85 | 5.41 | 1.41 | 6.05 | 1.91 |
| 0.0088 | 0.0019 | 0.2417 | 0.0007 | 0.1284 | ||
| Time × Treat. × Loc. | 3 | 3.18 | 0.65 | 2.66 | 1.61 | 0.63 |
| 0.0270 | 0.5773 | 0.0517 | 0.1913 | 0.5939 | ||
| Residual | 176 |
| Source 1 | df | Φ+ 2 | sΦ+ |
|---|---|---|---|
| Time | 1 | 9.38 * | 34.08 * |
| 0.0023 | <0.0001 | ||
| Treatment | 3 | 0.78 | 6.11 |
| 0.5037 | 0.0003 | ||
| Location | 1 | 3.08 | 19.55 |
| 0.0812 | 0.0002 | ||
| Time × Treatment | 3 | 0.62 | 2.28 |
| 0.6018 | 0.0850 | ||
| Time × Location | 1 | 0.38 | 0.77 |
| 0.5382 | 0.3827 | ||
| Treat. × Location | 3 | 0.85 | 5.9 |
| 0.4779 | 0.0004 | ||
| Time × Treat. × Loc. | 3 | 0.22 | 1.75 |
| 0.8836 | 0.1655 | ||
| Residual | 176 |
Disclaimer/Publisher’s Note: The statements, opinions and data contained in all publications are solely those of the individual author(s) and contributor(s) and not of MDPI and/or the editor(s). MDPI and/or the editor(s) disclaim responsibility for any injury to people or property resulting from any ideas, methods, instructions or products referred to in the content. |
© 2025 by the authors. Licensee MDPI, Basel, Switzerland. This article is an open access article distributed under the terms and conditions of the Creative Commons Attribution (CC BY) license (https://creativecommons.org/licenses/by/4.0/).
Share and Cite
Hernández-Delgado, E.A.; Fonseca-Miranda, J.S.; Mercado-Molina, A.E.; Suleimán-Ramos, S.E. Integrating 3D-Printed and Natural Staghorn Coral (Acropora cervicornis) Restoration Enhances Fish Assemblages and Their Ecological Functions. Diversity 2025, 17, 445. https://doi.org/10.3390/d17070445
Hernández-Delgado EA, Fonseca-Miranda JS, Mercado-Molina AE, Suleimán-Ramos SE. Integrating 3D-Printed and Natural Staghorn Coral (Acropora cervicornis) Restoration Enhances Fish Assemblages and Their Ecological Functions. Diversity. 2025; 17(7):445. https://doi.org/10.3390/d17070445
Chicago/Turabian StyleHernández-Delgado, Edwin A., Jaime S. Fonseca-Miranda, Alex E. Mercado-Molina, and Samuel E. Suleimán-Ramos. 2025. "Integrating 3D-Printed and Natural Staghorn Coral (Acropora cervicornis) Restoration Enhances Fish Assemblages and Their Ecological Functions" Diversity 17, no. 7: 445. https://doi.org/10.3390/d17070445
APA StyleHernández-Delgado, E. A., Fonseca-Miranda, J. S., Mercado-Molina, A. E., & Suleimán-Ramos, S. E. (2025). Integrating 3D-Printed and Natural Staghorn Coral (Acropora cervicornis) Restoration Enhances Fish Assemblages and Their Ecological Functions. Diversity, 17(7), 445. https://doi.org/10.3390/d17070445

