Diversity and Elevational Levels of Lichens in Western Tianshan National Nature Reserve in Xinjiang, China
Abstract
1. Introduction
2. Materials and Methods
2.1. Study Area
2.2. Lichen Collection and Identification
2.3. Data Analysis
3. Results
3.1. Lichen Species Composition
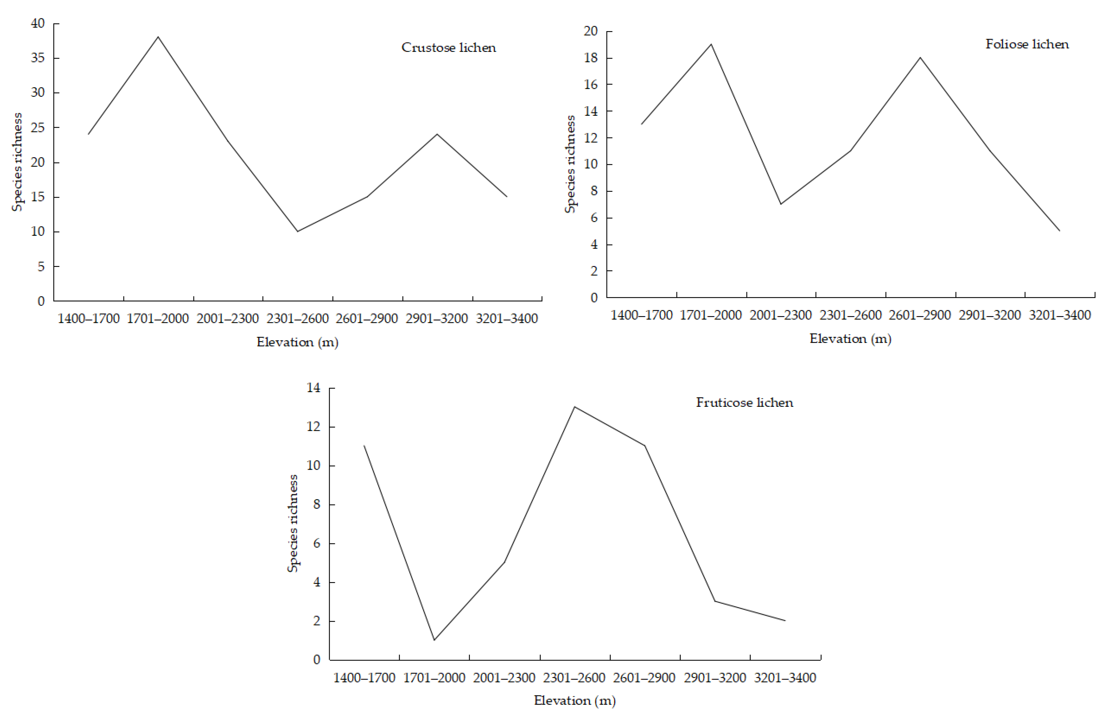
3.2. The Relationship Between Species Richness and Elevation of Lichens
3.3. The Relationship Between Dominant Families and Elevation
4. Discussion
Author Contributions
Funding
Institutional Review Board Statement
Data Availability Statement
Acknowledgments
Conflicts of Interest
Abbreviations
| WTNNR | Western Tianshan National Nature Reserve |
Appendix A
| S.No. | Name of Lichen Species | Family | Algal Photobiont | Growth Form | Substrate Types | Altitudinal Range (m) | Number of Specimens Examined | |
|---|---|---|---|---|---|---|---|---|
| 1 | Acarospora aeginaica H. Magn. | Acarosporaceae | Gr | Cr | Saxicolous | 1453 | 3253 | 2 |
| 2 | A. atrata Hue. | Acarosporaceae | Gr | Cr | Saxicolous | 2021 | 3121 | 2 |
| 3 | A.bohlinii H. Magn. | Acarosporaceae | Gr | Cr | Saxicolous | 2510 | 3265 | 4 |
| 4 | A.invadens H.Magn. | Acarosporaceae | Gr | Cr | Saxicolous | 2048 | - | 1 |
| 5 | A.nitrophila H. Magn. | Acarosporaceae | Gr | Cr | Saxicolous | 2035 | - | 1 |
| 6 | Anaptychia ciliaris (L.) Flot. | Physciaceae | Gr | Fr | Corticolous | 1457 | - | 1 |
| 7 | A. setifera (Mereschk.) Räsänen | Physciaceae | Gr | Fr | Corticolous | 1684 | - | 1 |
| 8 | Aspicilia calcitrapa Cl. Roux & A. Nordin | Megasporaceae | Gr | Cr | Saxicolous | 1807 | - | 1 |
| 9 | A. phaea Owe-Larss. & A. Nordin | Megasporaceae | Gr | Cr | Saxicolous | 1732 | - | 1 |
| 10 | Athallia pyracea (Ach.) Arup, Frödén & Søchting | Teloschistaceae | Gr | Cr | Saxicolous | 1798 | - | 1 |
| 11 | Biatora vernalis (L.) Fr. | Ramalinaceae | Gr | Cr | Terricolous | 1774 | - | 1 |
| 12 | Calogaya biatorina (A. Massal.) Arup, Frödén & Søchting | Teloschistaceae | Gr | Cr | Saxicolous | 1684 | 3000 | 2 |
| 13 | Caloplaca atroflava (Turner) Mong. | Teloschistaceae | Gr | Cr | Saxicolous | 1732 | - | 1 |
| 14 | C. cerina (Hedw.) Th. Fr. | Teloschistaceae | Gr | Cr | Corticolous | 1460 | - | 1 |
| 15 | Calicium abietinum Pers. | Caliciaceae | Gr | Cr | Corticolous | 1800 | 2048 | 5 |
| 16 | Candelariella aurella (Hoffm.) Zahlbr. | Candelariaceae | Gr | Cr | Corticolous | 1756 | 2540 | 7 |
| 17 | C. efflorescens R.C. Harris & W.R. Buck | Candelariaceae | Gr | Cr | Corticolous | 1561 | 2641 | 2 |
| 18 | Canomaculina subtinctoria Zahlbr. (Elix) | Parmeliaceae | Gr | Fl | Corticolous | 1594 | - | 1 |
| 19 | Circinarea maculata (H. Magn.) Q. Ren | Megasporaceae | Gr | Cr | Saxicolous | 1457 | 2800 | 7 |
| 20 | C. tortuosa (H. Magn.) Q. Ren | Megasporaceae | Gr | Cr | Saxicolous | 1807 | 2700 | 5 |
| 21 | Cladonia acuminata (Ach.) Norrl. | Cladoniaceae | Gr | Dm | Terricolous | 1685 | - | 1 |
| 22 | C. cariosa (Ach.) Spreng | Cladoniaceae | Gr | Dm | Terricolous | 2021 | 3150 | 2 |
| 23 | C. chlorophaea (Flörke ex Sommerf.) Spreng. | Cladoniaceae | Gr | Dm | Terricolous | 1405 | 2600 | 9 |
| 24 | C.coniocraea (Flörke) Spreng. | Cladoniaceae | Gr | Dm | Terricolous | 2453 | 2600 | 4 |
| 25 | C. fimbriata (L.) Fr. | Cladoniaceae | Gr | Dm | Terricolous | 2460 | 2600 | 7 |
| 26 | C.floerkeana (Fr.) Flörke | Cladoniaceae | Gr | Dm | Terricolous | 2584 | 2600 | 2 |
| 27 | C. furcata (Huds.) Baumg. | Cladoniaceae | Gr | Dm | Terricolous | 2820 | 2900 | 2 |
| 28 | C. macilenta Hoffm. | Cladoniaceae | Gr | Dm | Terricolous | 2866 | 2900 | 7 |
| 29 | C. multiformis G. Merr. | Cladoniaceae | Gr | Dm | Terricolous | 2798 | 3350 | 2 |
| 30 | C. pocillum (Ach.) Grognot | Cladoniaceae | Gr | Dm | Terricolous | 2548 | 3200 | 2 |
| 31 | C. polycarpoides Nyl. | Cladoniaceae | Gr | Dm | Terricolous | 2798 | 2900 | 3 |
| 32 | C. pyxidata (L.) Hoffm. | Cladoniaceae | Gr | Dm | Terricolous | 2594 | 3400 | 8 |
| 33 | C. scabriuscula (Delise) Leight. | Cladoniaceae | Gr | Dm | Terricolous | 2416 | 2500 | 2 |
| 34 | C. squamosa Hoffm. | Cladoniaceae | Gr | Dm | Terricolous | 2807 | 2910 | 6 |
| 35 | C. subulata (L.) F.H. Wigg. | Cladoniaceae | Gr | Dm | Terricolous | 1756 | - | 1 |
| 36 | Collema flaccidum (Ach.) Ach. | Collemataceae | Bg | Fl | Terricolous | 2439 | 2700 | 2 |
| 37 | Dermatocarpon miniatum (L.) W. Mann | Verrucariaceae | Gr | Fl | Saxicolous | 1807 | 3400 | 4 |
| 38 | Dimelaena oreina (Ach.) Norman | Caliciaceae | Gr | Cr | Saxicolous | 1798 | 3000 | 5 |
| 39 | Diploschistes diacapsis (Ach.) Lumbsch. | Graphidaceae | Gr | Cr | Terricolous | 1869 | - | 1 |
| 40 | D. muscorum (Scop.) R. Sant. | Graphidaceae | Gr | Cr | Corticolous | 1561 | 2650 | 3 |
| 41 | D. scruposus (Schreb.) Norman. | Graphidaceae | Gr | Cr | Saxicolous | 1756 | 3200 | 2 |
| 42 | D. tianshaniensis A. Abbas, S.Y. Guo & Ababaikeli | Graphidaceae | Gr | Cr | Saxicolous | 2035 | - | 1 |
| 43 | D. viridis R. Mamut, J.J. Fang & T. Payzulla | Graphidaceae | Gr | Cr | Saxicolous | 2274 | - | 1 |
| 44 | Evernia divaricata (L.) Ach. | Parmeliaceae | Gr | Fr | Corticolous | 2260 | 2307 | 3 |
| 45 | Flavoparmelia baltimorensis (Gyeln. & Fóriss) Hale. | Parmeliaceae | Gr | Fr | Corticolous | 1570 | - | 1 |
| 46 | F. caperata (L.) Hale | Parmeliaceae | Gr | Fr | Corticolous | 1500 | 1690 | 8 |
| 47 | Flavopunctelia sorediata (Nyl.) Hale | Parmeliaceae | Gr | Fl | Corticolous | 1684 | - | 1 |
| 48 | Gyalolechia epiphyta (Lynge) Vondrák | Teloschistaceae | Gr | Cr | Saxicolous | 1467 | - | 1 |
| 49 | G. marmorata (Bagl.) Nimis & Arup | Teloschistaceae | Gr | Cr | Saxicolous | 1582 | - | 1 |
| 50 | Gypsoplaca albimarginata R. Mamut | Gypsoplacaceae | Gr | Sq | Terricolous | 1460 | - | 1 |
| 51 | Lecanora argopholis (Ach.) Ach. | Lecanoraceae | Gr | Cr | Saxicolous | 1869 | 3350 | 5 |
| 52 | L. coniferarum Printzen | Lecanoraceae | Gr | Cr | Saxicolous | 2016 | - | 1 |
| 53 | L. horiza (Ach.) Nyl. | Lecanoraceae | Gr | Cr | Saxicolous | 2031 | - | 1 |
| 54 | L. intricata (Ach.) Ach. | Lecanoraceae | Gr | Cr | Saxicolous | 2031 | - | 1 |
| 55 | L. meridionalis H. Magn | Lecanoraceae | Gr | Cr | Corticolous | 1869 | 2300 | 2 |
| 56 | L. quercicola Coppins & P. James | Lecanoraceae | Gr | Cr | Saxicolous | 1900 | 3016 | 2 |
| 57 | L. rupicola (L.) Zahlbr. | Lecanoraceae | Gr | Cr | Saxicolous | 1869 | - | 1 |
| 58 | L. saligna (Schrad.) Zahlbr. | Lecanoraceae | Gr | Cr | Saxicolous | 1869 | - | 1 |
| 59 | L. subravida Nyl. | Lecanoraceae | Gr | Cr | Saxicolous | 2031 | 3350 | 4 |
| 60 | L. symmicta (Ach.) Ach. | Lecanoraceae | Gr | Cr | Corticolous | 2031 | - | 1 |
| 61 | L. xylophila Hue | Lecanoraceae | Gr | Cr | Corticolous | 2016 | - | 1 |
| 62 | Lecidea atrobrunnea (DC.) Schaer | Lecideaceae | Gr | Cr | Saxicolous | 2021 | 3000 | 2 |
| 63 | L. auriculata Th. Fr | Lecideaceae | Gr | Cr | Saxicolous | 1820 | 3150 | 4 |
| 64 | L. confluens (Weber) Ach. | Lecideaceae | Gr | Cr | Saxicolous | 2150 | - | 1 |
| 65 | L. elabens Fr. | Lecideaceae | Gr | Cr | Saxicolous | 2230 | 3400 | 3 |
| 66 | L. fuscoatra (L.) Ach | Lecideaceae | Gr | Cr | Saxicolous | 1808 | - | 1 |
| 67 | L. laboriosa Müll. Arg | Lecideaceae | Gr | Cr | Saxicolous | 1798 | 3100 | 2 |
| 68 | L. lapicida (Ach.) Ach. | Lecideaceae | Gr | Cr | Saxicolous | 2021 | 3300 | 2 |
| 69 | L. paratropoides Müll. Arg | Lecideaceae | Gr | Cr | Saxicolous | 1798 | 3300 | 2 |
| 70 | L. perlatolica Hertel & Leuckert | Lecideaceae | Gr | Cr | Saxicolous | 2230 | - | 1 |
| 71 | L. promiscens Nyl. | Lecideaceae | Gr | Cr | Saxicolous | 1820 | - | 1 |
| 72 | L. tessellata Flörke | Lecideaceae | Gr | Cr | Saxicolous | 2150 | 3400 | 8 |
| 73 | Lecidella carpathica Koerb | Lecanoraceae | Gr | Cr | Saxicolous | 1798 | - | 1 |
| 74 | L. effugiens (Nilson) Knoph & Hertel | Lecanoraceae | Gr | Cr | Saxicolous | 1500 | 2798 | 6 |
| 75 | L. elaeochroma (Ach.) M. Choisy | Lecanoraceae | Gr | Cr | Saxicolous | 1808 | - | 1 |
| 76 | L. enteroleucella (Nyl.) Hertel | Lecanoraceae | Gr | Cr | Saxicolous | 2021 | - | 1 |
| 77 | L. euphorea (Flörke) Hertel | Lecanoraceae | Gr | Cr | Saxicolous | 1820 | - | 1 |
| 78 | L. patavina (A. Massal.) Knoph & Leuckert | Lecanoraceae | Gr | Cr | Saxicolous | 2230 | - | 1 |
| 79 | L. stigmatea (Ach.) Hertel & Leuckert | Lecanoraceae | Gr | Cr | Saxicolous | 1808 | - | 1 |
| 80 | L. tumidula (A.Massal.) Knoph & Leuckert | Lecanoraceae | Gr | Cr | Saxicolous | 1850 | 3150 | 2 |
| 81 | Lecaimmeria botryoides C.M. Xie & Xin Y. | Lecideaceae | Gr | Cr | Saxicolous | 3001 | - | 1 |
| 82 | L. mongolica C.M. Xie & Lu L. Zhang | Lecideaceae | Gr | Cr | Saxicolous | 3001 | - | 1 |
| 83 | L. orbicularis C.M. Xie & Lu L. | Lecideaceae | Gr | Cr | Saxicolous | 3001 | - | 1 |
| 84 | Leptogium saturninum (Dicks.) Nyl. | Collemataceae | Bg | Fl | Corticolous | 1798 | 2950 | 8 |
| 85 | Lepraria incana (L.) Ach. | Stereocaulaceae | Gr | Cr | Terricolous | 2048 | 2848 | 2 |
| 86 | L. lobificans Nyl. | Stereocaulaceae | Gr | Cr | Terricolous | 2500 | 2807 | 2 |
| 87 | Leproplaca cirrochroa (Ach.) Arup, Frödén & Søchting | Teloschistaceae | Gr | Cr | Saxicolous | 1774 | - | 1 |
| 88 | Lichinella nigritella (Lettau) P.P. Moreno & Egea. | Lichinaceae | Bg | Fl | Saxicolous | 1808 | 2400 | 7 |
| 89 | Lobothallia alphoplaca (Wahlenb.) Hafellner | Megasporaceae | Gr | Cr | Saxicolous | 1570 | 3100 | 4 |
| 90 | L. praeradiosa (Nyl.) Hafellner. | Megasporaceae | Gr | Cr | Saxicolous | 1570 | 2850 | 6 |
| 91 | Melanelia exasperatula (Nyl.) Essl. | Parmeliaceae | Gr | Fl | Corticolous | 1774 | 2950 | 4 |
| 92 | M. subargentifera (Nyl.) Essl. | Parmeliaceae | Gr | Fl | Corticolous | 1678 | 2800 | 5 |
| 93 | Melanohalea elegantula (Zahlbr.) O. Blanco et al. | Parmeliaceae | Gr | Fl | Corticolous | 2100 | 2865 | 4 |
| 94 | M. exasperatula (Nyl.) O. Blanco et al. | Parmeliaceae | Gr | Fl | Corticolous | 2100 | 2865 | 5 |
| 95 | M. subelegantula (Essl.) O. Blanco et al. | Parmeliaceae | Gr | Fl | Corticolous | 2100 | 2865 | 3 |
| 96 | Montanelia panniformis (Nyl.) Divakar | Parmeliaceae | Gr | Fl | Saxicolous | 1807 | - | 1 |
| 97 | Myriolecis crenulata (Ach.) Śliwa, Zhao Xin & Lumbsch. | Lecanoraceae | Gr | Cr | Saxicolous | 1678 | - | 1 |
| 98 | M. dispersa (Pers.) Śliwa, Zhao Xin & Lumbsch | Lecanoraceae | Gr | Cr | Saxicolous | 1712 | 3400 | 3 |
| 99 | M. hagenii (Ach.) Ach. | Lecanoraceae | Gr | Cr | Saxicolous | 1678 | 3400 | 4 |
| 100 | M. invadens (H. Magn.) Śliwa, Zhao Xin & Lumbsch. | Lecanoraceae | Gr | Cr | Saxicolous | 1712 | - | 1 |
| 101 | M. semipallida (H. Magn.) Śliwa, Zhao Xin & Lumbsch. | Lecanoraceae | Gr | Cr | Saxicolous | 1678 | - | 1 |
| 102 | Parmelia sulcata Taylor | Parmeliaceae | Gr | Fl | Corticolous | 1684 | 2100 | 9 |
| 103 | Peltigera canina (L.) Willd. | Peltigeraceae | Bg | Fl | Terricolous | 1711 | 2800 | 2 |
| 104 | P. elisabethae Gyeln. | Peltigeraceae | Bg | Fl | Terricolous | 1822 | 2950 | 5 |
| 105 | P. didactyla (With.) J.R. Laundon | Peltigeraceae | Bg | Fl | Terricolous | 1711 | 2970 | 2 |
| 106 | P. horizontalis (Huds.) Baumg. | Peltigeraceae | Bg | Fl | Terricolous | 1679 | - | 1 |
| 107 | P. leucophlebia (Nyl.) Gyeln. | Peltigeraceae | Bg | Fl | Terricolous | 1822 | 2900 | 2 |
| 108 | P. neopolydactyla (Gyeln.) Gyeln. | Peltigeraceae | Bg | Fl | Terricolous | 1579 | 3200 | 2 |
| 109 | P. pacifica Vitic. | Peltigeraceae | Bg | Fl | Terricolous | 2579 | - | 1 |
| 110 | P. polydactylon (Neck.) Hoffm. | Peltigeraceae | Bg | Fl | Terricolous | 2411 | 2750 | 8 |
| 111 | P. praetextata (Flörke ex Sommerf.) Zopf | Peltigeraceae | Bg | Fl | Terricolous | 2579 | 2800 | 7 |
| 112 | P. rufescens (Weiss) Humb. | Peltigeraceae | Bg | Fl | Terricolous | 2822 | 3100 | 5 |
| 113 | P. venosa (L.) Hoffm. | Peltigeraceae | Bg | Fl | Terricolous | 2579 | 2700 | 5 |
| 114 | Pertusaria australis Vain. | Pertusariaceae | Gr | Cr | Terricolous | 2494 | - | 1 |
| 115 | P. multipuncta (Turner) Nyl. | Pertusariaceae | Gr | Cr | Corticolous | 1798 | - | 1 |
| 116 | P. oculata (Dicks.) Th. Fr. | Pertusariaceae | Gr | Cr | Terricolous | 2450 | 2000 | 2 |
| 117 | P. qilianensis Q. Ren & Z.T. Zhao | Pertusariaceae | Gr | Cr | Terricolous | 2201 | 2400 | 2 |
| 118 | Phaeophyscia ciliata (Hoffm.) Moberg. | Physciaceae | Gr | Fl | Corticolous | 1760 | 2700 | 2 |
| 119 | P. sciastra (Ach.) Moberg. | Physciaceae | Gr | Fl | Terricolous | 2774 | 3000 | 3 |
| 120 | Physconia grisea (Lam.) Poelt. | Physciaceae | Gr | Fl | Corticolous | 2000 | 2274 | 2 |
| 121 | P. muscigena (Ach.) Poelt. | Physciaceae | Gr | Fl | Terricolous | 2274 | 3400 | 4 |
| 122 | P. perisidiosa (Erichsen) Moberg. | Physciaceae | Gr | Fl | Corticolous | 1780 | 2274 | 2 |
| 123 | Physcia aipolia (Ehrh. ex Humb.) Fürnr. | Physciaceae | Gr | Fl | Corticolous | 1774 | 2850 | 2 |
| 124 | P. caesia (Hoffm.) Hampe ex Fürnr. | Physciaceae | Gr | Fl | Corticolous | 1774 | 2300 | 6 |
| 125 | P. dubia (Hoffm.) Lettau | Physciaceae | Gr | Fl | Corticolous | 1869 | 2350 | 7 |
| 126 | P. stellaris (L.) Nyl. | Physciaceae | Gr | Fl | Corticolous | 1711 | 1950 | 2 |
| 127 | P. tenella (Scop.) DC. | Physciaceae | Gr | Fl | Corticolous | 1563 | 1800 | 3 |
| 128 | Protoparmelia badia (Hoffm.) Hafellner | Parmeliaceae | Gr | Fl | Saxicolous | 1690 | - | 1 |
| 129 | Protoblastenia rupestris (Scop.) J. Steiner | Psoraceae | Gr | Cr | Saxicolous | 1406 | - | 1 |
| 130 | Protoparmeliopsis baicalensis (Zahlbr.) S.Y. Kondr. | Lecanoraceae | Gr | Pl | Saxicolous | 1711 | 2700 | 4 |
| 131 | P. garovaglii (Körb.) Arup, Zhao Xin & Lumbsch | Lecanoraceae | Gr | Pl | Saxicolous | 1860 | 2700 | 4 |
| 132 | P. muralis (Schreb.) M. Choisy | Lecanoraceae | Gr | Pl | Saxicolous | 1711 | 2900 | 8 |
| 133 | P. peltata Ramond ex Arup, Zhao Xin & Lumbsch | Lecanoraceae | Gr | Pl | Saxicolous | 1860 | 2900 | 4 |
| 134 | P. phaedrophthalma (Poelt) S.Y. Kondr. | Lecanoraceae | Gr | Pl | Saxicolous | 1711 | 3400 | 4 |
| 135 | Psora decipiens (Hedw.) Hoffm. | Psoraceae | Gr | Sq | Terricolous | 2822 | 3100 | 5 |
| 136 | Ramalina farinacea (L.) Ach. | Ramalinaceae | Gr | Fr | Saxicolous | 1548 | - | 1 |
| 137 | R. pollinaria (Westr.) Ach. | Ramalinaceae | Gr | Fr | Corticolous | 1548 | 2670 | 2 |
| 138 | R. sinensis Jatta | Ramalinaceae | Gr | Fr | Corticolous | 1579 | 2500 | 6 |
| 139 | Rhizocarpon disporum (Nägeli ex Hepp) Müll. Arg. | Ramalinaceae | Gr | Cr | Saxicolous | 2969 | 3000 | 2 |
| 140 | R. effguratum (Anzi) Th. Fr. | Ramalinaceae | Gr | Cr | Saxicolous | 2969 | 3400 | 2 |
| 141 | R. geographicum (L.) DC. | Ramalinaceae | Gr | Cr | Saxicolous | 2969 | 3400 | 4 |
| 142 | R. macrosporum Räsänen | Ramalinaceae | Gr | Cr | Saxicolous | 2969 | - | 1 |
| 143 | Rhizoplaca chrysoleuca (Sm.) Zopf | Ramalinaceae | Gr | Sq | Saxicolous | 2969 | 3400 | 2 |
| 144 | R. melanophthalma (DC.) Leuckert & Poelt | Ramalinaceae | Gr | Sq | Saxicolous | 2969 | 3400 | 4 |
| 145 | R. sundescrepans (Nyl.) R. Sant. | Ramalinaceae | Gr | Sq | Saxicolous | 1420 | 2969 | 3 |
| 146 | Rinodina cf. freyi H. Magn. | Physciaceae | Gr | Cr | Corticolous | 1438 | - | 1 |
| 147 | R. aff. oleae Bagl. | Physciaceae | Gr | Cr | Corticolous | 1438 | - | 1 |
| 148 | R. sarcogynoides H. Magn. | Physciaceae | Gr | Cr | Saxicolous | 1438 | - | 1 |
| 149 | R. sophodes (Ach.) A. Massal. | Physciaceae | Gr | Cr | Corticolous | 1438 | - | 1 |
| 150 | R. terrestris Tomin. | Physciaceae | Gr | Cr | Terricolous | 2438 | - | 1 |
| 151 | Rusavskia elegans (Link) S.Y. Kondr. & Kärnefelt | Teloschistaceae | Gr | Fl | Saxicolous | 1678 | 3400 | 5 |
| 152 | Sarcogyne picea H. Magn. | Acarosporaceae | Gr | Cr | Saxicolous | 1712 | 3000 | 2 |
| 153 | S. pruinosa (Ach.) A. Massal. | Acarosporaceae | Gr | Cr | Saxicolous | 1664 | - | 1 |
| 154 | Sporastatia testudinea (Ach.) A. Massal. | Sporastatiaceae | Gr | Cr | Saxicolous | 2400 | 2865 | 2 |
| 155 | Umbilicaria virginis Schrad. | Umbilicariaceae | Gr | Fl | Saxicolous | 1822 | 3200 | 8 |
| 156 | Usnea baileyi (Stirt.) Zahlbr. | Parmeliaceae | Gr | Fr | Corticolous | 1808 | - | 1 |
| 157 | U. ceratina Ach. | Parmeliaceae | Gr | Fr | Corticolous | 2230 | - | 1 |
| 158 | U. lapponica Vain. | Parmeliaceae | Gr | Fr | Corticolous | 1530 | 1664 | 1 |
| 159 | U. subfloridana Stirt. | Parmeliaceae | Gr | Fr | Corticolous | 2230 | 2700 | 2 |
| 160 | Verrucaria fuscella (Turner) Winch | Verrucariaceae | Gr | Cr | Saxicolous | 1684 | - | 1 |
| 161 | V. nigrescens Pers. | Verrucariaceae | Gr | Cr | Saxicolous | 1684 | 2400 | 2 |
| 162 | Xanthomendoza allfiridii (S.Y. Kondr. & Poelt) Søchting, Kärnefelt & S.Y. Kondr. | Teloschistaceae | Gr | Sq | Corticolous | 2274 | - | 1 |
| 163 | X. ullophylodes (Räsänen) Søchting, Kärnefelt & S.Y. Kondr. | Teloschistaceae | Gr | Sq | Corticolous | 1711 | - | 1 |
| 164 | Xanthoparmelia camtschadalis (Ach.) Hale. | Parmeliaceae | Gr | Fl | Saxicolous | 1570 | 2300 | 4 |
| 165 | X. chlorochroa (Tuck.) Hale | Parmeliaceae | Gr | Fl | Terricolous | 2711 | - | 1 |
| 166 | X. coreana (Gyeln.) Hale. | Parmeliaceae | Gr | Fl | Saxicolous | 1684 | 3300 | 3 |
| 167 | X. somloensis (Gyeln.) Hale | Parmeliaceae | Gr | Fl | Saxicolous | 1684 | 3400 | 5 |
| 168 | X. stenophylla (Ach.) Ahti & D. Hawksw. | Parmeliaceae | Gr | Fl | Saxicolous | 1690 | - | 1 |
| 169 | X. wyomingica (Gyelnic) Hale | Parmeliaceae | Gr | Fl | Saxicolous | 1711 | 3100 | 2 |
| 170 | Xanthoria fallax Arnold | Teloschistaceae | Gr | Fl | Corticolous | 1711 | 2450 | 2 |
| 171 | X. fulva (Hoffm.) Poelt & Petut. | Teloschistaceae | Gr | Fl | Saxicolous | 1579 | 3200 | 4 |
| 172 | X. parietina (L.) Th. Fr. | Teloschistaceae | Gr | Fl | Saxicolous | 1579 | 2980 | 3 |
| 173 | Xylographa parallela (Ach.) Fr. | Xylographaceae | Gr | Cr | Corticolous | 1822 | 2846 | 2 |
References
- IPBES. Global Assessment Report on Biodiversity and Ecosystem Services, IPBES Secretariat, Bonn, Germany. 2019. Available online: https://www.ipbes.net/global-assessment (accessed on 3 June 2019).
- Wei, Q.; Yang, H.L. A Brief Discussion on the Challenges and Countermeasures of Global Biodiversity Conservation. Biodivers. Conserv. Green Dev. 2024, 1, 11–16. [Google Scholar]
- Ma, K.P.; Ren, H.; Long, C.L. Biodiversity conservation needs more research. Guihaia 2023, 43, 1347–1349. (In Chinese) [Google Scholar]
- Mi, X.C.; Feng, G.; Hu, Y.B.; Zhang, J.; Chen, L.; Corlett, R.T.; Hughes, A.C.; Pimm, S.; Schmid, B.; Shi, S.H.; et al. The global significance of biodiversity science in China: An overview. Natl. Sci. Rev. 2021, 8, 2–25. [Google Scholar] [CrossRef] [PubMed]
- Hawksworth, D.L. The fungal partner. In CRC Handbook of Lichenology; Galun, M., Ed.; CRC Press: Boca Raton, FL, USA, 1988; Volume 1, pp. 35–38. [Google Scholar]
- Abas, A.; Khalid, R.M.; Rosandy, A.R.; Sulaiman, N. Lichens of Pulau Pangkor, Perak, Malaysia. Malays. For. 2019, 82, 59–66. [Google Scholar]
- Irwin, M.B.; Sylvia, D.S.; Stephen, S. Lichens of North America; Yale Univeristy Press: New Haven, CT, USA, 2001; p. 828. [Google Scholar]
- Feuerer, T.; Hawksworth, D.L. Biodiversity of lichens, including a world-wide analysis of checklist data based on Takhtajan’s floristic regions. Biodivers. Conserv. 2007, 16, 85–98. [Google Scholar] [CrossRef]
- Chen, J.; Blume, H.; Beyer, L. Weathering of rocks induced by lichen colonization—A review. Catena 2000, 39, 121–146. [Google Scholar] [CrossRef]
- Chen, J.B. The particularity and biological diversity of lichens, and their importance to science and application. Biodivers. Sci. 1995, 3, 113–117. (In Chinese) [Google Scholar]
- Wei, J.C. A review on the present situation of lichenology in China. Mycosystema 2018, 38, 812–818. (In Chinese) [Google Scholar]
- Wei, X.L.; Deng, H.; Wei, J.C. Threatened categories assessment of lichens in China. Biodivers. Sci. 2020, 28, 54–65. (In Chinese) [Google Scholar]
- Wei, J.C. An Enumeration of Lichens in China; International Academic Publishers: Beijing, China, 1991; pp. 1–278. [Google Scholar]
- Tumur, A.; Mamut, R.; Seaward, M.R.D. An updated checklist of lichens of Xinjiang Province, China. Herzogia 2021, 34, 62–93. [Google Scholar] [CrossRef]
- Xiao, W.F.; Yasheng, A.; Qian, F.W.; Xu, H.X.; Cheng, K.W.; Liu, W.C. Biodiversity and Nature Conservation Management of Western Tianshan National Nature Reserve, Xinjiang; China Forestry Publishing House: Beijing, China, 2015; pp. 1–6. [Google Scholar]
- Richardson, D.H.S. Lichens and man. In Frontiers in Mycology; Hawksworth, D.L., Ed.; International Mycological Institute: London, UK, 1991; pp. 187–210. [Google Scholar]
- Elenkin, A.A. Migratory lichens of the deserts and steppes. In Bulletin du Jardin Imperial Botanique de St. Petersburg; University of Michigan Library: Ann Arbor, MI, USA, 1901; pp. 16–38. [Google Scholar]
- Elenkin, A.A. Lichenes Florae Rossiae et Regionum Confinium Orientalium. Fasciculus I, No. 1–50. Acta Horti Petropolitani 1901, 19, 1–52. [Google Scholar]
- Vainio, E.A. Lichenes ab Ove Paulsen praecipue in provencia Ferghana (Asia Media) et a Boris Fedtschenko in Tjanschan anno 1898 et 1899 collecti. Bot. Tidsskr. 1905, 26, 241–250. [Google Scholar]
- Yang, X.R.; Song, X.H.; Peng, L.; Shi, X.G.; Akemu, S.; Ye, C.X. Lichens from Qiaxi National Conservation for Picea schrenkiana of Gongliu County in Ili, Xinjiang, China. J. Zhongshan Univ. 2008, 47, 85–90. (In Chinese) [Google Scholar]
- Tumur, A.; Abbas, A. DCA ordination of ecological distribution of saprophytic lichens in forest ecosystem of Tianshan. J. Plant Resour. Environ. 2005, 11, 41–45. (In Chinese) [Google Scholar]
- Tumur, A.; Abdulla, A.; Abbas, A. Numerical classification and species diversity of corticolous lichens communities in forest ecosystem of the Tianshan Mountains. Acta Phytoecol. Sin. 2005, 29, 615–622. (In Chinese) [Google Scholar]
- Yue, X. Protecting the biodiversity of western Tianshan National Nature Reserve. China For. 2009, 13, 60. (In Chinese) [Google Scholar]
- Abbas, A.; Wu, J.R. Lichens of Xinjiang; Science Technology & Hygiene Publishing House of Xinjiang: Urumqi, China, 1998; pp. 1–16. [Google Scholar]
- Orange, A.; James, P.W.; White, F.J. Microchemical Methods for the Identification of Lichens, 2nd ed.; British Lichen Society: London, UK, 2010; pp. 1–101. [Google Scholar]
- Baniya, C.B.; Solhoy, T.; Gauslaa, Y.; Palmer, M.W. The elevation gradient of lichen species richness in Nepal. Lichenologist 2010, 42, 83–96. [Google Scholar] [CrossRef]
- Rai, H.; Khare, R.; Baniya, C.B.; Upreti, D.K.; Gupta, R.K. Elevational gradients of terricolous lichen species richness in the Western Himalaya. Biodivers. Conserv. 2015, 24, 1155–1174. [Google Scholar] [CrossRef]
- Elkhateeb, W.A.; El-Ghwas, D.E.; Daba, G.M. Lichens uses: Surprising uses of lichens that improve human life. J. Biomed. Res. Environ. Sci. 2022, 3, 189–194. [Google Scholar]
- Nascimbene, J.; Marini, L. Epiphytic lichen diversity along elevational gradients: Biological traits reveal a complex response to water and energy. J. Biogeogr. 2015, 42, 1222–1232. [Google Scholar] [CrossRef]
- Gauslaa, Y.; Palmqvist, K.; Solhaug, K.A.; Hilmo, O.; Holien, H.; Nybakken, L.; Ohlson, M. Size dependent growth in two old-growth associated macrolichen species. New Phytol. 2009, 18, 683–692. [Google Scholar] [CrossRef] [PubMed]
- Brunialti, G.; Giordani, P. Variability of lichen diversity in a climatically heterogeneous area (Ligaria, NW Italy). Lichenologist 2003, 35, 55–69. [Google Scholar] [CrossRef]
- Pinokiyo, A.; Singh, K.P.; Sigh, J.S. Diversity and distribution of lichens in relation to altitude within a protected biodiversity hot spot, north-east India. Lichenologist 2008, 40, 47–62. [Google Scholar] [CrossRef]
- Jonsson, B.G.; Jonsell, M. Exploring potential biodiversity indicators in boreal forests. Biodivers. Conserv. 1999, 8, 1417–1433. [Google Scholar] [CrossRef]
- Moen, J.; Jonsson, B.G. Edge effects on liverworts and lichens in forest patches in a mosaic of boreal forest and wetland. Conserv. Biol. 2003, 17, 380–388. [Google Scholar] [CrossRef]
- Rai, H.; Khare, R.; Gupta, R.K.; Upreti, D.K. Terricolous lichens as indicator of anthropogenic disturbances in a high altitude grassland in Garhwal (Western Himalaya), India. Bot. Orient. J. Plant Sci. 2012, 8, 16–23. [Google Scholar] [CrossRef]
- Rai, H.; Upreti, D.K.; Gupta, R.K. Diversity and distribution of terricolous lichens as an indicator of habitat heterogeneity and grazing induced trampling in a temperate-alpine shrub and meadow. Biodivers. Conserv. 2012, 21, 97–113. [Google Scholar] [CrossRef]
- Rawat, D.S. Elevational reduction of plant species diversity in high altitudes of Garhwal Himalaya, India. Curr. Sci. 2011, 100, 833–836. [Google Scholar]
- Rose, F. Lichenological indicators of age and environmental continuity in woodlands. In Lichenology: Progress and Problems; Brown, D.H., Hawksworth, D.L., Bailey, R.H., Eds.; Academic Press: London, UK, 1976; pp. 279–307. [Google Scholar]






| Name of Family | Number of Genera Contained | Proportion of the Total Number of Genera (%) | Number of Species | Proportion of the Total Number of Species (%) | |
|---|---|---|---|---|---|
| Dominant families (≥15 species) | Lecanoraceae | 5 | 8.62 | 32 | 18.50 |
| Parmeliaceae | 11 | 18.97 | 23 | 13.29 | |
| Physciaceae | 5 | 8.62 | 17 | 9.83 | |
| Cladoniaceae | 1 | 1.72 | 15 | 8.67 | |
| Polytypic families (6 ≤ species ≤ 14) | Lecideaceae | 2 | 3.45 | 14 | 8.09 |
| Teloschistaceae | 8 | 13.79 | 13 | 7.51 | |
| Peltigeraceae | 1 | 1.72 | 11 | 6.36 | |
| Acarosporaceae | 2 | 3.45 | 7 | 4.05 | |
| Megasporaceae | 3 | 5.17 | 6 | 3.47 | |
| Oligotypic families (2 ≤ species ≤ 5) | Graphidaceae | 1 | 1.72 | 5 | 2.89 |
| Rhizocarpaceae | 1 | 1.72 | 4 | 2.31 | |
| Ramalinaceae | 2 | 3.45 | 4 | 2.31 | |
| Pertusariaceae | 1 | 1.72 | 4 | 2.31 | |
| Verrucariaceae | 2 | 3.45 | 3 | 1.73 | |
| Stereocaulaceae | 1 | 1.72 | 2 | 1.16 | |
| Psoraceae | 2 | 3.45 | 2 | 1.16 | |
| Candelariaceae | 1 | 1.72 | 2 | 1.16 | |
| Caliciaceae | 2 | 3.45 | 2 | 1.16 | |
| Collemataceae | 2 | 3.45 | 2 | 1.16 | |
| Monotypic families (species = 1) | Gypsoplacaceae | 1 | 1.72 | 1 | 0.58 |
| Sporastatiaceae | 1 | 1.72 | 1 | 0.58 | |
| Xylographaceae | 1 | 1.72 | 1 | 0.58 | |
| Umbilicariaceae | 1 | 1.72 | 1 | 0.58 | |
| Lichinaceae | 1 | 1.72 | 1 | 0.58 | |
| Total | 58 | 173 |
| Number of Genera Contained | Proportion of the Total Number of Genera (%) | Number of Species Contained | Proportion of the Total Number of Species (%) | |
|---|---|---|---|---|
| Dominant genus (10 ≤ species ≤ 14) | 4 | 6.9 | 50 | 28.9 |
| Polytypic genus (6 ≤ species ≤ 9) | 2 | 3.4 | 14 | 8.1 |
| Oligotypic genus (2 ≤ species ≤ 5) | 28 | 48.3 | 85 | 49.1 |
| Monotypic genus (species = 1) | 24 | 41.4 | 24 | 13.9 |
| Total | 58 | 100 | 173 | 100 |
Disclaimer/Publisher’s Note: The statements, opinions and data contained in all publications are solely those of the individual author(s) and contributor(s) and not of MDPI and/or the editor(s). MDPI and/or the editor(s) disclaim responsibility for any injury to people or property resulting from any ideas, methods, instructions or products referred to in the content. |
© 2025 by the authors. Licensee MDPI, Basel, Switzerland. This article is an open access article distributed under the terms and conditions of the Creative Commons Attribution (CC BY) license (https://creativecommons.org/licenses/by/4.0/).
Share and Cite
Tumur, A.; Mamut, R.; Seaward, M.R.D. Diversity and Elevational Levels of Lichens in Western Tianshan National Nature Reserve in Xinjiang, China. Diversity 2025, 17, 102. https://doi.org/10.3390/d17020102
Tumur A, Mamut R, Seaward MRD. Diversity and Elevational Levels of Lichens in Western Tianshan National Nature Reserve in Xinjiang, China. Diversity. 2025; 17(2):102. https://doi.org/10.3390/d17020102
Chicago/Turabian StyleTumur, Anwar, Reyim Mamut, and Mark R. D. Seaward. 2025. "Diversity and Elevational Levels of Lichens in Western Tianshan National Nature Reserve in Xinjiang, China" Diversity 17, no. 2: 102. https://doi.org/10.3390/d17020102
APA StyleTumur, A., Mamut, R., & Seaward, M. R. D. (2025). Diversity and Elevational Levels of Lichens in Western Tianshan National Nature Reserve in Xinjiang, China. Diversity, 17(2), 102. https://doi.org/10.3390/d17020102

