Endangered Taxus wallichiana var. wallichiana—Its Forest Characteristics, Population Structure, and Regeneration Status in Yunnan, Southwestern China
Abstract
1. Introduction
2. Materials and Methods
2.1. Study Areas
2.2. Species
2.3. Data Collection and Analyses
3. Results
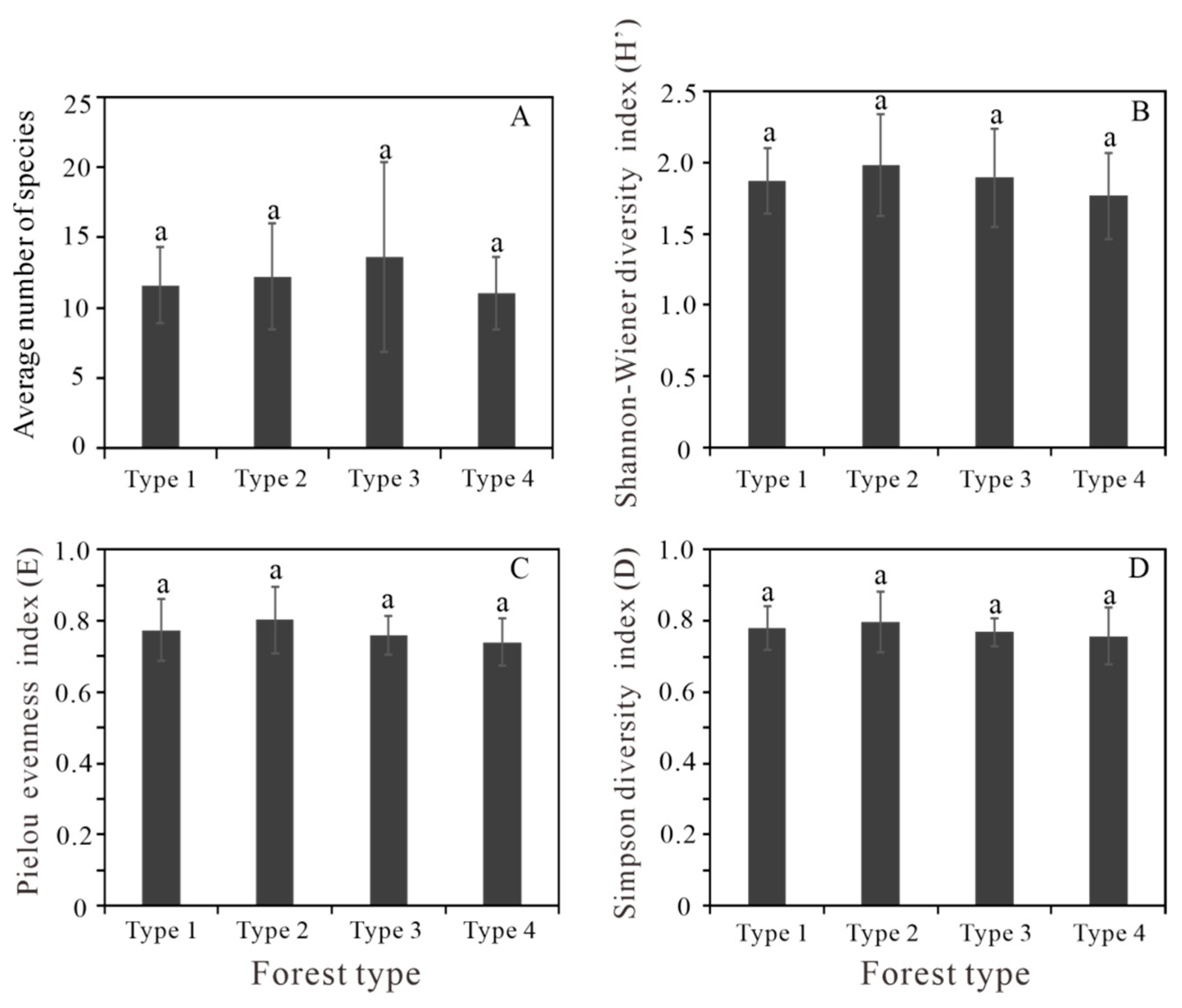
3.1. Floristic Feature, Forest Types, Stratification and Species Diversity
3.2. Population Structure
3.3. Growth Trends
3.4. Regeneration Status
4. Discussion
4.1. Habitats, Growth and Regeneration
| Species | Distribution Region | Height (m) | DBH (cm) | Age (Year) | Major Habitats and Elevations | Shade Tolerance | Major Associated Species as Examples | Source |
|---|---|---|---|---|---|---|---|---|
| T. wallichiana var. wallichiana | a | 2–15 (38) | 5–50 (190) | 42–299 (1125) | Steep slopes, ravines, gullies, and limestone habitat at ca. 2450–3350 m a.s.l | Shade-intolerance for seedlings/saplings, shade tolerance for young and mature trees | Tsuga dumosa, Abies ernestii var. salouenensis, Acer oliverianum, Quercus spinosa, Betula albosinensis, Picea brachytyla var. complanata, Lithocarpus craibianus, Rhododendron annae, Myrsine semiserrata, etc. | This study |
| Taxus cuspidata | b | 9–20 (28) | 20–60 (280) | (961) | Hills and mountain slopes with high humidity at 100–1600 m a.s.l. | Tolerance, but can withstand full sun | Pinus koraiensis, Tilia amurensis, Picea jezoensis, Abies nephrolepis, Acer ukurunduense, etc. | [44,45,46,47] |
| Taxus baccata | c | 6–20 (40) | 5–135 (400) | 800–1000 (4000) | Ravines, cliffs, and limestone habitat at 320–2000 m a.s.l. | Tolerance | Fagus sylvatica, Corylus avellana, Ilex aquifolium, Vaccinum myrtillus, Fraxinus excelsior, Betula alba, Quercus petraea, Juniperus communis, Pinus nigra ssp. salzmanii, Quercus pubescens, Sorbus aria, etc. | [20,22,28,29,42,43,47,48,49] |
| Taxus brevifolia | d | 15 (26) | 50 (148) | 350–650 | Moist flats, slopes, deep ravines, and coves, 0–2200 m a.s.l. | Tolerance | Abies grandis, Thuja pli-cata, Tsuga heterophylla, Pseudotsuga menziesii, etc. | [39,47,50] |
| Taxus globosa | e | ca. 15 | ca. 60–80 | NA | Shady sites, roadsides, 1300–3000 m | Tolerance | Pinus pseudostrobus, Pinus ayacahuite, AbiesGuatemalensis, Arbutus xalapensis, Quercus crassifolia, Q. germana, Tilia Mexicana, Meliosma dentata, Abies religiosa, Abies guatemalensis, Ostrya virginiana Liquidambar styraciflua, Cornus discifloral, etc. | [40,41,47] |
4.2. Recommendations of Conservation and Management
5. Conclusions
Supplementary Materials
Author Contributions
Funding
Data Availability Statement
Conflicts of Interest
References
- Xu, X.-H.; Sun, B.-N.; Yan, D.-F.; Wang, J.; Dong, C. A Taxus leafy branch with attached ovules from the Lower Cretaceous of Inner Mongolia, North China. Cretac. Res. 2015, 54, 266–282. [Google Scholar] [CrossRef]
- FOC (Flora of China). 2024. Available online: http://www.iplant.cn/info/Taxus%20wallichiana%20var.%20wallichiana?t=foc (accessed on 5 June 2024).
- Wang, W.-B.; Jiang, Y.-B.; Wang, D.-M.; Zhou, Y.; Jing, Y. Biological and ecological characteristics of Taxus yunnanensis. J. West China For. Sci. 2006, 35, 33–39. (In Chinese) [Google Scholar]
- Su, J.-R.; Zhang, Z.-J.; Deng, J.; Li, G.-S. Relationships between geographical distribution of Taxus wallichiana and climate in China. For. Res. 2005, 18, 510–515. (In Chinese) [Google Scholar]
- Li, S.; Liu, W.; Su, J.; Lan, X.; Zhang, Z. Age structure and spatial distribution patterns of Taxus yunnanensis population in Lanping County, Yunnan province. Acta Bot. Boreal-Occident. Sin. 2013, 33, 792–799. (In Chinese) [Google Scholar]
- Xiang, W.; Zhang, H.-J.; Ruan, D.-C.; Sun, H.-D. Contents of taxol and other 4 taxane diterpenoids in Taxus yunnanensis. J. Plant Resour. Environ. 1997, 61, 56–57. (In Chinese) [Google Scholar]
- Zheng, D.-Y. Study on the taxol content in different parts of Taxus growing in China. J. Fujian Coll. For. 2003, 23, 160–163. (In Chinese) [Google Scholar]
- Gaire, D.; Jiang, L.; Adhikari, B.; Panthi, S. Predicting the habitat suitability and threats assessment of Himalayan yew (Taxus wallichiana Zucc.) in Nepal. Appl. Ecol. Environ. Res. 2023, 21, 2417–2439. [Google Scholar] [CrossRef]
- Thomas, P.; Farjon, A. Taxus Wallichiana. The IUCN Red List of Threatened Species 2011: E.T46171879A9730085. 2011. Available online: https://www.iucnredlist.org/species/46171879/9730085#assessment-information (accessed on 3 March 2024).
- Rathore, R.; Roy, A.; Karnatak, H. Modelling the vulnerability of Taxus wallichiana to climate change scenarios in South East Asia. Ecol. Indic. 2019, 102, 199–207. [Google Scholar] [CrossRef]
- Thakur, A.; Kanwal, K.S. Assessing the global distribution and conservation status of the Taxus genus: An overview. Trees For. People 2024, 15, 100501. [Google Scholar] [CrossRef]
- Su, J.; Miao, Y.; Zhang, Z. RAPD markers related to Taxol content of Taxus yunnanensis. Sci. Silvae Sin. 2009, 45, 16–20. (In Chinese) [Google Scholar]
- Geng, Y.F.; Li, Y.Q.; Yuan, X.L.; Hua, M.; Wang, Y.; Zhang, J. The complete chloroplast genome sequence of Taxus yunnanensis. Mitochondrial DNA Part B Resour. 2020, 5, 2756–2757. [Google Scholar] [CrossRef] [PubMed]
- Hafezi, K.; Hemmati, A.A.; Abbaszadeh, H.; Valizadeh, A.; Makvandi, M. Anticancer activity and molecular mechanisms of a Conidendrin, a polyphenolic compound present in Taxus Yunnanensis, on human breast cancer cell lines. Phytother. Res. 2020, 34, 1397–1408. [Google Scholar] [CrossRef] [PubMed]
- Wang, B.-Y.; Su, J.-R.; Zhang, Z.-J. Pollination Biology in Taxus yunnanensis. Plant Sci. J. 2009, 27, 441–445. (In Chinese) [Google Scholar]
- Bian, F.Y.; Su, J.R.; Liu, W.D.; Li, S. Dormancy release and germination of Taxus yunnanensis seeds during wet sand storage. Sci. Rep. 2018, 8, 3205. [Google Scholar] [CrossRef] [PubMed]
- Zan, J.; Zheng, J.; Wang, Y.; Fu, X. Distribution Prediction and Evaluation of Taxus wallichiana in Yunnan Based on Ecological Niche Modeling. For. Inventory Plan. 2022, 47, 40–84. (In Chinese) [Google Scholar]
- Liu, W.-D.; Li, S.-F.; Zhang, Z.-J.; Su, J.-R. Community structure and regeneration characteristics of Taxus yunnanensis in northwest Yunnan Province of Southwest China. Chin. J. Ecol. 2012, 31, 3024–3031. (In Chinese) [Google Scholar]
- Ma, G.Y.; Huang, Z.P.; Zhang, C.C. Community structure of Taxus yunnanensis in provincial Yunling Nature Reserve. J. Dali Univ. 2021, 16, 2096–2266. (In Chinese) [Google Scholar]
- Piovesan, G.; Saba, E.P.; Biondi, F.; Alessandrini, A.; Filippo, A.D.; Schirone, B. Population ecology of yew (Taxus baccata L.) in the Central Apennines: Spatial patterns and their relevance for conservation strategies. Plant Ecol. 2009, 205, 23–46. [Google Scholar] [CrossRef]
- Iszkuło, G.; Didukh, Y.; Giertych, M.J.; Jasińska, A.K.; Sobierajska, K.; Szmyt, J. Weak competitive ability may explain decline of Taxus baccata. Ann. For. Sci. 2012, 69, 705–712. [Google Scholar] [CrossRef]
- Casals, P.; Camprodon, J.; Caritat, A.; Ríos, A.I.; Guixé, D.; Garcia-Martí, X.; Mar-tín-Alcón, S.; Coll, L. Forest structure of Mediterranean yew (Taxus baccata L.) populations and neighbor effects on juvenile yew performance in the NE Iberian Pen-insula. For. Syst. 2015, 24, e042. [Google Scholar] [CrossRef]
- Tang, C.Q. The Subtropical Vegetation of Southwestern China: Plant Distribution, Diversity and Ecology; Plants and Vegetation; Springer: Dordrecht, The Netherlands, 2015; Volume 11. [Google Scholar] [CrossRef]
- Tang, C.Q.; Yao, S.-Q.; Han, P.-B.; Wen, J.-R.; Li, S.; Peng, M.-C.; Wang, C.-Y.; Matsui, T.; Li, Y.-P.; Lu, S.; et al. Forest characteristics, population structure and growth trends of threatened relict Pseudotsuga forrestii in China. Plant Divers. 2023, 45, 422–433. [Google Scholar] [CrossRef] [PubMed]
- Tang, C.Q.; Wen, J.-R.; Han, P.-B.; Yao, S.-Q.; Du, M.-R.; Li, S.; Zeng, J.-L.; Shi, Y.-C.; Peng, M.-C.; Wang, C.-Y.; et al. Forest and population characteristics of vulnerable relict Pseudotsuga sinensis in southwestern China. Taiwania 2023, 68, 439–450. [Google Scholar] [CrossRef]
- Tang, C.Q.; Du, M.-R.; Wang, H.-C.; Shi, Y.-C.; Zeng, J.-L.; Xiao, S.-L.; Han, P.-B.; Wen, J.-R.; Yao, S.-Q.; Peng, M.-C.; et al. An unprotected vulnerable relict subtropical conifer—Keteleeria evelyniana: Its forests, populations, growth and endangerment by invasive alien plant species in China. Plant Divers. 2024, 46, 648–660. [Google Scholar] [CrossRef] [PubMed]
- Hulme, P.E. Natural regeneration of yew (Taxus baccata L.): Microsite, seed or herbivore limitation? J. Ecol. 1996, 84, 853–861. [Google Scholar] [CrossRef]
- Boratyński, A.; Didukh, Y.; Lucak, M. The yew (Taxus baccata L.) population in Knyazhdvir Nature Reserve in the Carpathians (Ukraine). Dendrobiology 2001, 46, 3–8. [Google Scholar]
- Romo, A.; Iszkuło, G.; Taleb, M.S.; Walas, Ł.; Boratyński, A. Taxus baccata in Morocco: A tree in regression in its southern extreme. Dendrobiology 2017, 78, 63–74. [Google Scholar] [CrossRef]
- García, M. Demographic viability of a relict population of the critically endangered plant Borderea chouardii. Conserv. Biol. 2003, 17, 1672–1680. [Google Scholar] [CrossRef]
- Li, L.F.; Zhou, Y.; Wang, D.M. Analysis of the endangered causes of Taxus yunnanensis. J. West China For. Sci. 2005, 34, 30–34. (In Chinese) [Google Scholar]
- Li, B.; Wen, Y. Conservation and Utilization of Wild Southern Yew Resources in Daguan. Econ. For. Res. 2007, 25, 79–80. (In Chinese) [Google Scholar]
- Wu, Z.-Y. The areal-types of Chinese genera of seed plants. Plant Divers. 1991, 13, 1–139. (In Chinese) [Google Scholar]
- Wu, Z.-Y. The areal-types of the world families of seed plants. Revised version. Acta Bot. Yunnanica 2003, 5, 535–538. (In Chinese) [Google Scholar]
- Tang, C.Q.; Lu, X.; Du, M.-R.; Xiao, S.-L.; Li, S.; Han, P.-B.; Zeng, J.-L.; Wen, J.-R.; Yao, S.-Q.; Shi, Y.-C.; et al. Forest characteristics and population structure of a threatened palm tree Caryota obtusa in the karst forest ecosystem of Yunnan, China. J. Plant Ecol. 2022, 15, 829–843. [Google Scholar] [CrossRef]
- McCune, B.; Mefford, M.J. PC-ORD: Multivariate Analysis of Ecological Data, Version 7.0 for Windows; Wild Blueberry Media: Corvallis, OR, USA, 2016. [Google Scholar]
- Pielou, E.C. An Introduction to Mathematical Ecology; Wiley: New York, NY, USA, 1969. [Google Scholar]
- Lande, R. Statistics and partitioning of species diversity, and similarity among multiple communities. Oikos 1996, 76, 5–13. [Google Scholar] [CrossRef]
- Busing, R.T.; Halpern, C.B.; Spies, T.A. Ecology of Pacific Yew (Taxus brevifolia) in Western Oregon and Washington. Conserv. Biol. 1995, 9, 1199–1207. [Google Scholar] [CrossRef]
- López-Upton, J.; Garcia-Martí, X. Taxus globosa Schltdl. (Taxaceae). Distribution and Diagnosis of an Endangered Yew. Earth Sci. 2015, 4, 80–88. [Google Scholar] [CrossRef]
- Muñoz-Gutiérrez, L.; Ramírez-Sánchez, S.E.; Velasco-García, M.V. Review on the distribution and conservation of Taxus globosa Schltdl. (Taxaceae) in Mexico. Rev. Mex. Cienc. For. 2019, 10, 65–84. [Google Scholar] [CrossRef]
- Thomas, A.; Polwart, A. Biological flora of the British Isles. J. Ecol. 2003, 91, 489–524. [Google Scholar] [CrossRef]
- Balaguer-Romano, R.; Sainz-Ollero, H.; Vasco-Encuentra, F. Yew (Taxus baccata L.) population dynamics in the iberian mediterranean mountains: Natural regeneration and expansion in East central System (Spain). For. Syst. 2020, 29, eSC03. [Google Scholar] [CrossRef]
- Long, T.; Chen, J.; Yang, L.; Wang, X.; Xu, C.; Li, J.W.; Li, J.Q. Characteristics and environmental interpretation of communities of Taxus cuspidata Sieb. Et Zucc., a plant species with extremely small populations. Plant Sci. J. 2020, 38, 77–87. (In Chinese) [Google Scholar]
- Liu, J.; Yang, B.; Lindenmayer, D.B. The oldest trees in China and where to find them. Front. Ecol. Environ. 2019, 17, 319–322. [Google Scholar] [CrossRef]
- Liu, D.; Guo, Z.; Cui, X.; Fan, C. Estimation of the population dynamics of Taxus cuspidata by using a static life table for its conservation. Forests 2023, 14, 2194. [Google Scholar] [CrossRef]
- Earle, C.J. Gymnosperms Database. 2004. Available online: https://www.conifers.org/ta/Taxus_brevifolia.php (accessed on 25 August 2024).
- Hartzell, H., Jr. The Yew Tree: A Thousand Whispers; Hulogosi: Eugene, OR, USA, 1991. [Google Scholar]
- Milner, J.E. The Tree Book: The Indispensable Guide to Tree Facts, Crafts, and Lore; Collins & Brown: London, UK, 1992. [Google Scholar]
- Hils, M.H. Taxaceae. Flora of North America North of Mexico; Flora of North America Editorial Committee, Ed.; Oxford University Press: Oxford, UK, 1993; Volume 2. [Google Scholar]









Disclaimer/Publisher’s Note: The statements, opinions and data contained in all publications are solely those of the individual author(s) and contributor(s) and not of MDPI and/or the editor(s). MDPI and/or the editor(s) disclaim responsibility for any injury to people or property resulting from any ideas, methods, instructions or products referred to in the content. |
© 2024 by the authors. Licensee MDPI, Basel, Switzerland. This article is an open access article distributed under the terms and conditions of the Creative Commons Attribution (CC BY) license (https://creativecommons.org/licenses/by/4.0/).
Share and Cite
Tang, C.Q.; Chen, Q.; Shi, Y.-C.; Li, Q.; Pei, K.-D.; Li, S.; Han, P.-B.; Xiao, S.-L.; Du, M.-R.; Peng, M.-C.; et al. Endangered Taxus wallichiana var. wallichiana—Its Forest Characteristics, Population Structure, and Regeneration Status in Yunnan, Southwestern China. Diversity 2024, 16, 642. https://doi.org/10.3390/d16100642
Tang CQ, Chen Q, Shi Y-C, Li Q, Pei K-D, Li S, Han P-B, Xiao S-L, Du M-R, Peng M-C, et al. Endangered Taxus wallichiana var. wallichiana—Its Forest Characteristics, Population Structure, and Regeneration Status in Yunnan, Southwestern China. Diversity. 2024; 16(10):642. https://doi.org/10.3390/d16100642
Chicago/Turabian StyleTang, Cindy Q., Qing Chen, You-Cai Shi, Qiao Li, Kang-Di Pei, Shuaifeng Li, Peng-Bin Han, Shu-Li Xiao, Min-Rui Du, Ming-Chun Peng, and et al. 2024. "Endangered Taxus wallichiana var. wallichiana—Its Forest Characteristics, Population Structure, and Regeneration Status in Yunnan, Southwestern China" Diversity 16, no. 10: 642. https://doi.org/10.3390/d16100642
APA StyleTang, C. Q., Chen, Q., Shi, Y.-C., Li, Q., Pei, K.-D., Li, S., Han, P.-B., Xiao, S.-L., Du, M.-R., Peng, M.-C., & Wang, C.-Y. (2024). Endangered Taxus wallichiana var. wallichiana—Its Forest Characteristics, Population Structure, and Regeneration Status in Yunnan, Southwestern China. Diversity, 16(10), 642. https://doi.org/10.3390/d16100642

