Non-Indigenous Freshwater Fishes as Indicators of Ecological Quality in Running Waters
Abstract
1. Introduction
2. Materials and Methods
2.1. Data Acquisition
2.2. Statistical Analyses
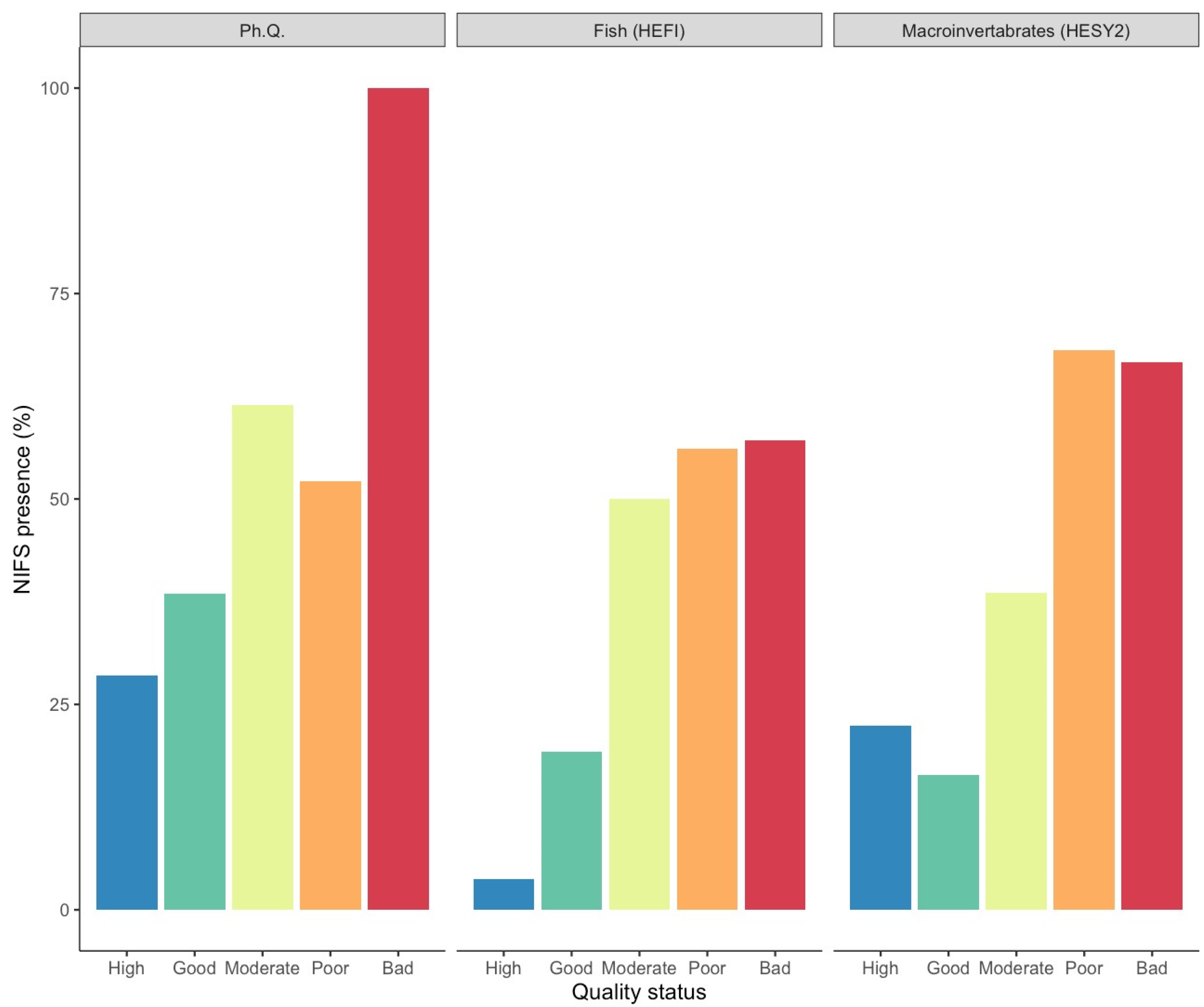
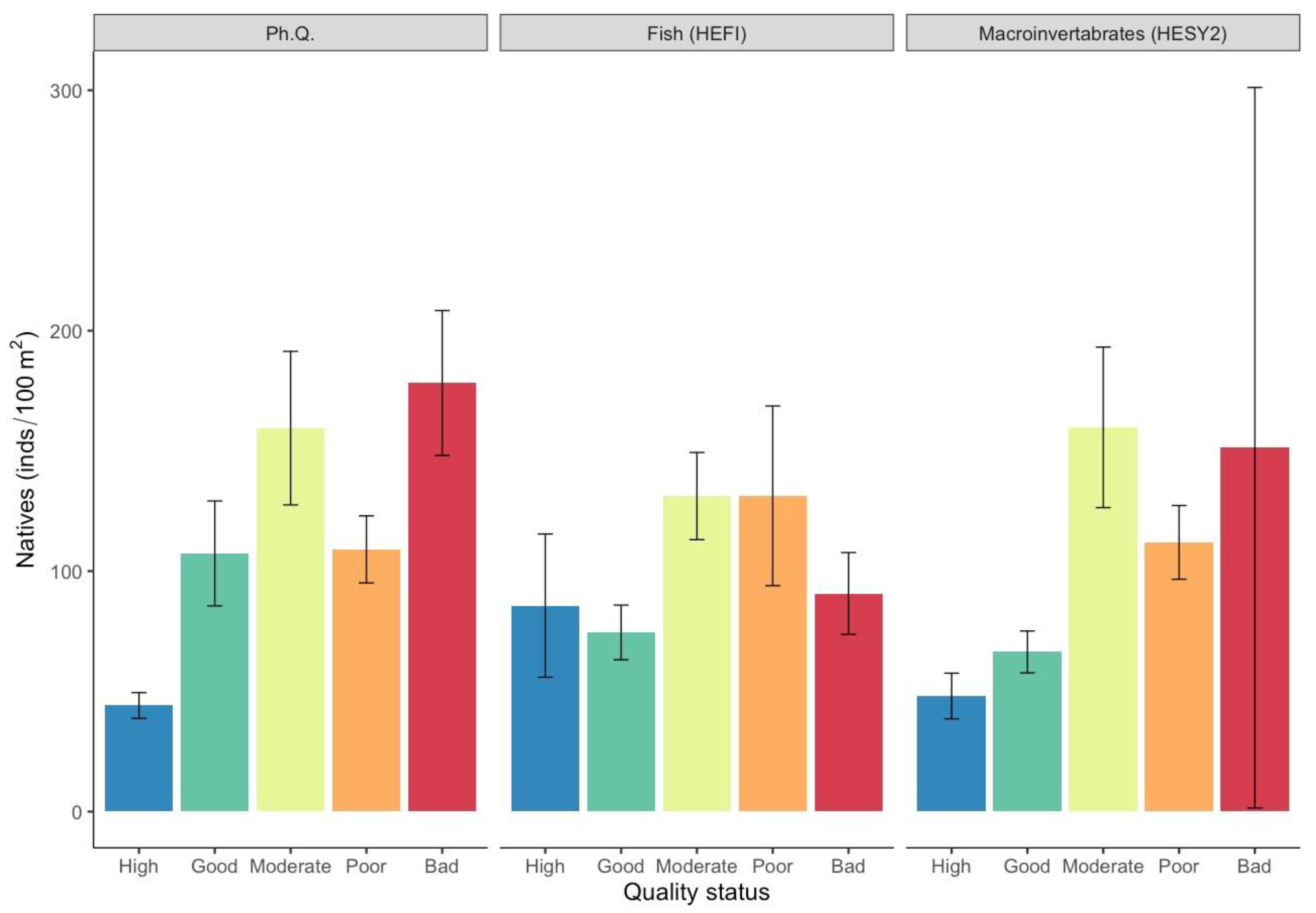
3. Results
4. Discussion
Supplementary Materials
Author Contributions
Funding
Institutional Review Board Statement
Data Availability Statement
Acknowledgments
Conflicts of Interest
References
- European Commission. European Commission Directive 2000/60/EC of the European Parliament and of the Council of 23 October 2000 Establishing a Framework for Community Action in the Field of Water Policy; Official Journal 22 December 2000 L 327/1; European Commission: Brussels, Belgium, 2000; Available online: https://eur-lex.europa.eu/legal-content/en/ALL/?uri=CELEX%3A32000L0060 (accessed on 19 December 2023).
- Copp, G.H.; Bianco, P.G.; Bogutskaya, N.G.; Erős, T.; Falka, I.; Ferreira, M.T.; Fox, M.G.; Freyhof, J.; Gozlan, R.E.; Grabowska, J.; et al. To be, or not to be, a non-native freshwater fish? J. Appl. Ichthyol. 2005, 21, 242–262. [Google Scholar] [CrossRef]
- Colin, N.; Villéger, S.; Wilkes, M.; De Sostoa, A.; Maceda-Veiga, A. Functional diversity measures revealed impacts of non-native species and habitat degradation on species-poor freshwater fish assemblages. Sci. Total. Environ. 2018, 625, 861–871. [Google Scholar] [CrossRef] [PubMed]
- Cardoso, A.C.; Free, G. Incorporating invasive alien species into ecological assessment in the context of the Water Framework Directive. Aquat. Invasions 2008, 3, 361–366. [Google Scholar] [CrossRef]
- Ferreira, J.G.; Vale, C.; Soares, C.V.; Salas, F.; Stacey, P.E.; Bricker, S.B.; Silviua, M.C.; Marques, J.C. Monitoring of coastal and transitional waters under the EU Water Framework Directive. Environ. Monit. Assess. 2007, 135, 195–216. [Google Scholar] [CrossRef] [PubMed]
- Gabriels, W.; Goethals, P.L.M.; Pauw, N.D. Implications of taxonomic modifications and alien species on biological waterquality assessment as exemplified by the Belgian Biotic Index method. Hydrobiologia 2005, 542, 137–150. [Google Scholar] [CrossRef][Green Version]
- Tachos, V.; Dimitrakopoulos, P.G.; Zogaris, S. Multiple anthropogenic pressures in Eastern Mediterranean rivers: Insights from fish-based bioassessment in Greece. Ecohydrol. Hydrobiol. 2022, 22, 40–54. [Google Scholar] [CrossRef]
- Kennard, M.J.; Arthington, A.H.; Pusey, B.J.; Harch, B.D. Are alien fish a reliable indicator of river health? Freshw. Biol. 2005, 50, 174–193. [Google Scholar] [CrossRef]
- Boon, P.J.; Clarke, S.A.; Copp, G.H. Alien species and the EU Water Framework Directive: A comparative assessment of European approaches. Biol. Invasions 2020, 22, 1497–1512. [Google Scholar] [CrossRef]
- Skoulikidis, N.T.; Amaxidis, Y.; Bertahas, I.; Laschou, S.; Gritzalis, K. Analysis of factors driving stream water composition and synthesis of management tools—A case study on small/medium Greek catchments. Sci. Total Environ. 2006, 362, 205–241. [Google Scholar] [CrossRef]
- Lazaridou, M.; Ntislidou, C.; Karaouzas, I.; Skoulikidis, N. Harmonisation of a new assessment method for estimating the ecological quality status of Greek running waters. Ecol. Indic. 2018, 84, 683–694. [Google Scholar] [CrossRef]
- Zogaris, S.; Tachos, V.; Economou, A.N.; Chatzinikolaou, Y.; Koutsikos, N.; Schmutz, S. A model-based fish bioassessment index for Eastern Mediterranean rivers: Application in a biogeographically diverse area. Sci. Total. Environ. 2018, 622, 676–689. [Google Scholar] [CrossRef]
- Stefanidis, K.; Papaioannou, G.; Markogianni, V.; Dimitriou, E. Water quality and hydromorphological variability in Greek rivers: A nationwide assessment with implications for management. Water 2019, 11, 1680. [Google Scholar] [CrossRef]
- Karaouzas, I.; Smeti, E.; Kalogianni, E.; Skoulikidis, N.T. Ecological status monitoring and assessment in Greek rivers: Do macroinvertebrate and diatom indices indicate same responses to anthropogenic pressures? Ecol. Indic. 2019, 101, 126–132. [Google Scholar] [CrossRef]
- Artemiadou, V.; Lazaridou, M. Evaluation score and interpretation index for the ecological quality of running waters in Central and Northern Hellas. Environ. Monit. Assess. 2005, 110, 1–40. [Google Scholar] [CrossRef] [PubMed]
- Markert, B.A.; Breure, A.M.; Zechmeister, H.G. Chapter 1 Definitions, strategies and principles for bioindication/biomonitoring of the environment. Trace Met. Contam. Environ. 2003, 6, 3–39. [Google Scholar] [CrossRef]
- Sokal, R.R.; Rohlf, F.J. Biometry, 3rd ed.; W.H. Freeman and Co.: New York, NY, USA, 1995; 915p. [Google Scholar]
- Ter Braak, C.J.; Verdonschot, P.F.M. Canonical correspondence analysis and related multivariate methods in aquatic ecology. Aquat. Sci. 1995, 57, 255–289. [Google Scholar] [CrossRef]
- Ter Braak, C.J.F. Canonical correspondence analysis: A new eigenvector technique for multivariate direct gradient analysis. Ecology 1986, 67, 1167–1179. [Google Scholar] [CrossRef]
- R Core Team. R: A Language and Environment for Statistical Computing; R Foundation for Statistical Computing: Vienna, Austria, 2023; Available online: http://www.r-project.org (accessed on 19 December 2023).
- Oksanen, J.; Blanchet, G.; Friendly, M.; Kindt, R.; Legendre, P.; McGlinn, D.; Minchin, P.; O’Hara, R.; Simpson, G.; Solymos, P.; et al. Vegan: Community Ecology Package; R Package Version 2.5-7. 2020. Available online: https://cran.r-project.org/web/packages/vegan/vegan.pdf (accessed on 19 December 2023).
- Wickham, H. Getting Started with ggplot2. In ggplot2: Elegant Graphics for Data Analysis; Wickham, H., Ed.; Springer: Cham, Switzerland, 2016; pp. 11–31. [Google Scholar] [CrossRef]
- Cooke, S.J.; Cowx, I.G. The role of recreational fishing in global fish crises. AIBS Bull. 2004, 54, 857–859. [Google Scholar] [CrossRef]
- Leprieur, F.; Brosse, S.; García-Berthou, E.; Oberdorff, T.; Olden, J.D.; Townsend, C.R. Scientific uncertainty and the assessment of risks posed by non-native freshwater fishes. Fish Fish. 2009, 10, 88–97. [Google Scholar] [CrossRef]
- Simberloff, D. Invasive Species: What Everyone Needs to Know; Oxford University Press: New York, NY, USA, 2013; Volume 31, 352p. [Google Scholar] [CrossRef]
- Sagoff, M. Do non-native species threaten the natural environment? J. Agric. Environ. Ethics 2005, 18, 215–236. [Google Scholar] [CrossRef]
- Gozlan, R.E. Introduction of non-native freshwater fish: Is it all bad? Fish Fish. 2008, 9, 106–115. [Google Scholar] [CrossRef]
- Gozlan, R.E. Response by R Gozlan Biodiversity crisis and the introduction of non-native fish: Solutions, not scapegoats. Fish Fish. 2009, 10, 109–110. [Google Scholar] [CrossRef]
- Theodoropoulos, D.I. Invasion Biology: Critique of a Pseudoscience; Avvar Books: Blythe, CA, USA, 2003; 236p. [Google Scholar] [CrossRef][Green Version]
- Russell, J.C.; Blackburn, T.M. The rise of invasive species denialism. Trends Ecol. Evol. 2017, 32, 3–6. [Google Scholar] [CrossRef] [PubMed]
- Ricciardi, A.; Ryan, R. The exponential growth of invasive species denialism. Biol. Invasions 2018, 20, 549–553. [Google Scholar] [CrossRef]
- Munro, D.; Steer, J.; Linklater, W. On allegations of invasive species denialism. Conserv. Biol. 2019, 33, 797–802. [Google Scholar] [CrossRef]
- Sagoff, M. Fact and value in invasion biology. Conserv. Biol. 2020, 34, 581–588. [Google Scholar] [CrossRef]
- Skoulikidis, N. The State and Origin of River Water Composition in Greece. In The Rivers of Greece, 1st ed.; Skoulikidis, N., Dimitriou, E., Karaouzas, I., Eds.; Springer: Berlin/Heidelberg, Germany, 2016; Volume 59, pp. 97–127. [Google Scholar] [CrossRef]
- Van der Veer, G.; Nentwig, W. Environmental and economic impact assessment of alien and invasive fish species in Europe using the generic impact scoring system. Ecol. Freshw. Fish 2015, 24, 646–656. [Google Scholar] [CrossRef]
- Díez-del-Molino, D.; García-Berthou, E.; Araguas, R.M.; Alcaraz, C.; Vidal, O.; Sanz, N.; García-Marín, J.L. Effects of water pollution and river fragmentation on population genetic structure of invasive mosquitofish. Sci. Total Environ. 2018, 637, 1372–1382. [Google Scholar] [CrossRef]
- Špelić, I.; Piria, M. Occurrence of topmouth gudgeon, Pseudorasbora parva, in relation to environmental factors in lowland streams and canals. J. Vertebr. Biol. 2023, 72, 23049. [Google Scholar] [CrossRef]
- Koutsikos, N.; Koi, A.M.; Zeri, C.; Tsangaris, C.; Dimitriou, E.; Kalantzi, O.I. Exploring microplastic pollution in a Mediterranean river: The role of introduced species as bioindicators. Heliyon 2023, 9, e15069. [Google Scholar] [CrossRef]
- Ilhéu, M.; Matono, P.; Bernardo, J.M. Invasibility of Mediterranean-Climate Rivers by Non-Native Fish: The Importance of Environmental Drivers and Human Pressures. PLoS ONE 2014, 9, e109694. [Google Scholar] [CrossRef] [PubMed]
- Grapci-Kotori, L.; Vavalidis, T.; Zogaris, D.; Šanda, R.; Vukić, J.; Geci, D.; Ibrahimi, H.; Bilalli, A.; Zogaris, S. Fish distribution patterns in the White Drin (Drini i Bardhë) river, Kosovo. Knowl. Manag. Aquat. Ecosyst. 2020, 421, 29. [Google Scholar] [CrossRef]
- Lanzoni, M.; Milardi, M.; Aschonitis, V.; Fano, E.A.; Castaldelli, G. A regional fish inventory of inland waters in Northern Italy reveals the presence of fully exotic fish communities. Eur. Zool. J. 2018, 85, 1–7. [Google Scholar] [CrossRef]
- Koutsikos, N.; Vardakas, L.; Vavalidis, T.; Kalogianni, E.; Dimitriou, E.; Kalantzi, O.I.; Zogaris, S. Defining non-indigenous fish assemblage types in Mediterranean rivers: Network analysis and management implications. J. Environ. Manag. 2021, 278, 111551. [Google Scholar] [CrossRef] [PubMed]
- Leprieur, F.; Beauchard, O.; Blanchet, S.; Oberdorff, T.; Brosse, S. Fish Invasions in the World’s River Systems: When Natural Processes Are Blurred by Human Activities. PLoS Biol. 2008, 6, e28. [Google Scholar] [CrossRef]
- Garcia, D.A.Z.; Britton, J.R.; Vidotto-Magnoni, A.P.; Orsi, M. Introductions of non-native fishes into a heavily modified river: Rates, patterns and management issues in the Paranapanema River (Upper Paraná Ecoregion, Brazil). Biol. Invasions 2018, 20, 1229–1241. [Google Scholar] [CrossRef]
- Vandekerkhove, J.; Cardoso, A.C. Alien Species and the Water Framework Directive. Questionnaire Results; JRC Scientific and Technical Reports; European Commission: Ispra, Italy, 2010; ISBN 978-92-79-15053-1. [Google Scholar]
- Noble, R.A.A.; Cowx, I.G.; Goffaux, D.; Kestemont, P. Assessing the health of European rivers using functional ecological guilds of fish communities: Standardising species classification and approaches to metric selection. Fish Manag. Ecol. 2007, 14, 381–392. [Google Scholar] [CrossRef]
- Schmutz, S.; Cowx, I.G.; Haidvogl, G.; Pont, D. Fish-based methods for assessing European running waters: A synthesis. Fish Manag. Ecol. 2007, 14, 369–380. [Google Scholar] [CrossRef]
- Shine, C.; Kettunen, M.; Genovesi, P.; Essl, F.; Gollasch, S.; Rabitsch, W.; Scalera, R.; Starfinger, U.; Ten Brink, P. Assessment to Support Continued Development of the EU Strategy to Combat Invasive Alien Species; Final Report for the European Commission; Institute for European Environmental Policy (IEEP): Brussels, Belgium, 2010. [Google Scholar]
- Sandvik, H.; Olsen, S.L.; Töpper, J.P.; Hilmo, O. Pathways of introduction of alien species in 326 Norway: Analyses of an exhaustive dataset to prioritise management efforts. J. Appl. Ecol. 2022, 59, 2959–2970. [Google Scholar] [CrossRef]
- Savini, D.; Occhipinti, A.; Marchini, A.; Tricarico, E. The top 27 animal alien species introduced into Europe for aquaculture and related activities. J. Appl. Ichthyol. 2010, 26, 1–7. [Google Scholar] [CrossRef]
- Ribeiro, F.; Leunda, P.M. Non-native fish impacts on Mediterranean freshwater ecosystems: Current knowledge and research needs. Fish Manag. Ecol. 2012, 19, 142–156. [Google Scholar] [CrossRef]
- Havel, J.E.; Kovalenko, K.E.; Thomaz, S.M.; Amalfitano, S.; Kats, L.B. Aquatic invasive species: Challenges for the future. Hydrobiologia 2015, 750, 147–170. [Google Scholar] [CrossRef] [PubMed]
- Tricarico, H.; Junqueira, A.O.R.; Dudgeon, D.D. Alien species in aquatic environments: A selective comparison of coastal and inland waters in tropical and temperate latitudes. Aquat. Conserv. Mar. Freshw. Ecosyst. 2016, 26, 872–891. [Google Scholar] [CrossRef]
- Díaz, S.; Settele, J.; Brondízio, E.S.; Ngo, H.T.; Agard, J.; Arneth, A.; Zayas, C.N. Pervasive human-driven decline of life on Earth points to the need for transformative change. Science 2019, 366, eaax3100. [Google Scholar] [CrossRef]









Disclaimer/Publisher’s Note: The statements, opinions and data contained in all publications are solely those of the individual author(s) and contributor(s) and not of MDPI and/or the editor(s). MDPI and/or the editor(s) disclaim responsibility for any injury to people or property resulting from any ideas, methods, instructions or products referred to in the content. |
© 2023 by the authors. Licensee MDPI, Basel, Switzerland. This article is an open access article distributed under the terms and conditions of the Creative Commons Attribution (CC BY) license (https://creativecommons.org/licenses/by/4.0/).
Share and Cite
Gkenas, C.; Vardakas, L.; Koutsikos, N. Non-Indigenous Freshwater Fishes as Indicators of Ecological Quality in Running Waters. Diversity 2024, 16, 9. https://doi.org/10.3390/d16010009
Gkenas C, Vardakas L, Koutsikos N. Non-Indigenous Freshwater Fishes as Indicators of Ecological Quality in Running Waters. Diversity. 2024; 16(1):9. https://doi.org/10.3390/d16010009
Chicago/Turabian StyleGkenas, Christos, Leonidas Vardakas, and Nicholas Koutsikos. 2024. "Non-Indigenous Freshwater Fishes as Indicators of Ecological Quality in Running Waters" Diversity 16, no. 1: 9. https://doi.org/10.3390/d16010009
APA StyleGkenas, C., Vardakas, L., & Koutsikos, N. (2024). Non-Indigenous Freshwater Fishes as Indicators of Ecological Quality in Running Waters. Diversity, 16(1), 9. https://doi.org/10.3390/d16010009
