Changes in Avian Top-Predator Diet in the 21st Century in Northeast (NE) Poland
Abstract
1. Introduction
2. Study Area
3. Methods
3.1. Food Data Collection and Identification
3.2. Structure and Size of Territory
3.3. Statistical Analysis
4. Results
4.1. Diet Composition
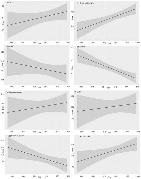
4.2. Changes in the Abundance of Primary Prey Species in the WTE Diet
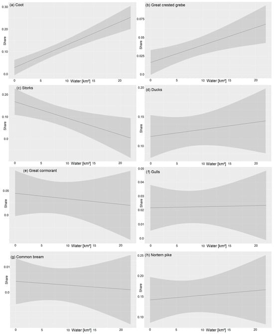
4.3. Water Area Impact
5. Discussion
6. Conclusions
Author Contributions
Funding
Institutional Review Board Statement
Data Availability Statement
Conflicts of Interest
References
- Donázar, J.; Cortéz-Avizanda, A.; Fargallo, J.A.; Margalida, A.; Moleón, M.; Morales-Reyes, Z.; Moreno-Opo, R.; Pérez-García, J.M.; Sánchez-Zapata, J.A.; Zuberogoitia, I.; et al. Roles of raptors in a changing world. From flagship to providers of key ecosystem services. Ardeola 2016, 63, 181–234. [Google Scholar] [CrossRef]
- Tuvi, J.; Väli, Ü. The impact of the White-tailed Eagle Haliaeetus albicilla and the Osprey Pandion haliaetus on Estonian Common Carp Cyprinus carpio production: How large is the economic loss? Proc. Est. Acad. Sci. Biol. Ecol. 2007, 56, 209–223. [Google Scholar] [CrossRef]
- Yurko, V.V. Diet of the White-tailed Eagle during the Breeding Season in the Polesski State Radiation-Ecological Reserve, Belarus. Raptors Conserv. 2016, 32, 21–31. [Google Scholar] [CrossRef][Green Version]
- Zawadzki, G.; Zawadzki, J.; Drozdowski, S.; Zawadzka, D. Key Factors for Living in the Vicinity of a Top Predator: The Case of Black Stork and White-Tailed Eagle in NE Poland. Eur. Zool. J. 2022, 89, 1223–1237. [Google Scholar] [CrossRef]
- Newton, I. Population Ecology of Raptors; Poyser: Berkhamstead, UK, 1979. [Google Scholar]
- Mizera, T. Bielik. Monografie Przyrodnicze; Lubuski Klub Przyrodników: Swiebodzin, Poland, 1999. [Google Scholar]
- Helander, B.; Stjernberg, T. (Eds.) Action Plan for the Conservation of White-Tailed Sea Eagle (Haliaeetus albicilla); BirdLife International: Strasbourg, France, 2002. [Google Scholar]
- Heuck, C.; Herrmann, C.; Schabo, D.G.; Brandl, R.; Albrecht, J. Density-dependent effects on reproductive performance in a recovering population of White-tailed Eagles Haliaeetus albicilla. Ibis 2017, 159, 297–310. [Google Scholar] [CrossRef]
- Zawadzka, D.; Mizera, T.; Cenian, Z. Dynamika liczebności bielika Haliaeetus albicilla w Polsce. Stud i Mat. CEPL 2009, 22, 22–31. [Google Scholar]
- Chylarecki, P.; Chodkiewicz, T.; Neubauer, G.; Sikora, A.; Meissner, W.; Woźniak, B.; Wylegała, P.; Ławicki, Ł.; Marchowski, D.; Betleja, J.; et al. Trends in Bird Numbers in Poland; GIOŚ: Warsaw, Poland, 2018. [Google Scholar]
- Komitet Ochrony Orłów. Biuletyn 21, Olsztyn, Poland. 2023. Available online: https://www.koo.org.pl/attachments/article/47/Biuletyn_KOO_21_2023.pdf (accessed on 7 September 2023).
- Hipfner, M.J.; Blight, L.K.; Lowe, R.W.; Wilhelm, S.I.; Robertson, G.J.; Barrrett, R.T.; Anker-Nilssen, T.; Good, T.P. Unintended consequences: How the recovery of Sea Eagle Haliaeetus ssp. populations in the northern hemisphere is affecting seabirds. Marin. Ecol. 2012, 40, 39–52. [Google Scholar]
- Ekblad, C.; Tikkanen, H.; Sulkava, S.; Laaksonen, T. Diet and breeding habitat preferences of White-tailed Eagles in a northern inland environment. Polar. Biol. 2020, 43, 2071–2084. [Google Scholar] [CrossRef]
- Zawadzka, D.; Zawadzki, J.; Sudnik, W. Rozwój populacji, wymagania środowiskowe i ekologia żerowania bielika Haliaeetus albicilla w Puszczy Augustowskiej. Not. Orn. 2006, 47, 217–229. [Google Scholar]
- Mirski, P.; Komar, E. The White-Tailed Eagle, the Apex Predator, Adjusts Diet towards Larger Prey in Suboptimal Territories. Diversity 2023, 15, 747. [Google Scholar] [CrossRef]
- Bregnballe, T.; Tofft, J.; Kotzerka, J.; Lehikoinen, A.; Rusanen, P.; Herrmann, C.; Krone, O.; Engström, H.; Rattiste, K.; Reich, J.; et al. Occurrence and behaviour of White-tailed Eagles Haliaeetus albicilla in Great Cormorant Phalacrocorax carbo sinensis colonies in countries around the Baltic Sea. Ardeola 2021, 109, 565–582. [Google Scholar] [CrossRef]
- Treinys, R.; Dementavičius, D.; Mozgeris, G.; Skuja, S.; Rumbutis, S.; Stončius, D. Coexistence of protected avian predators: Does a recovering population of White-tailed Eagle threaten to exclude other avian predators? Eur. J. Wildl. Res. 2011, 57, 1165–1174. [Google Scholar] [CrossRef]
- Dementavičius, D.; Rumbutis, S.; Virbickas, T.; Vaitkuvienė, D.; Dagys, M.; Treinys, R. Spatial and temporal variations White-tailed Eagle breeding diet revealed by prey remains. Bird Study 2020, 67, 206–216. [Google Scholar] [CrossRef]
- Zawadzka, D. Feeding habits of the Black Kite Milvus migrans, Red Kite Milvus milvus, White-tailed Eagle Haliaeetus albicilla and Lesser Spotted Eagle Aquila pomarina in Wigry National Park (NE Poland). Acta Ornith. 1999, 34, 65–75. [Google Scholar]
- Nadjafzadeh, M.; Hofer, H.; Krone, O. Sit-and-wait for large prey: Foraging strategy and prey choice of White-tailed Eagles. J. Ornithol. 2016, 157, 165–178. [Google Scholar] [CrossRef]
- Sulkava, S.; Tornberg, R.; Koivusaari, J. Diet of the white-tailed eagle Haliaeetus albicilla in Finland. Ornis Fenn. 1997, 74, 65–78. [Google Scholar]
- Sándor, A.D.; Alexe, V.; Mainov, M.; Doroşencu, A.; Domşa, C.; Kiss, B.J. Nest-site selection, breeding success, and diet of white-tailed eagles (Haliaeetus albicilla) in the Danube Delta, Romania. Turk. J. Zool. 2015, 39, 300–307. [Google Scholar] [CrossRef]
- Sokołowski, A.W. The Augustów Forest; CILP: Warsaw, Poland, 2010. [Google Scholar]
- Zawadzka, D.; Zawadzki, G.; Zawadzki, J.; Sołtys, A. Population dynamic and reproductive parameters of the White-tailed Eagle Haliaeetus albicilla in the Augustów Forest. Stud. i Mat. CEPL 2017, 53, 68–81. [Google Scholar]
- Fraigneau, C. Feathers an Identification Guide to the Feathers of Western European Bird; Bloomsbury Publishing PLC: Helm, Great Britan, 2021. [Google Scholar]
- Cieślak, M.; Dul, B. Pióra. Identyfikacja Gatunków Rzadkich; Natura Publishing House: Warsaw, Poland, 2009. [Google Scholar]
- Brylińska, M. (Ed.) Ryby Słodkowodne Polski; PWN: Warsaw, Poland, 2000. [Google Scholar]
- Sidiroplous, L.; Whitfield, D.P.; Astaras, C.; Vasilakis, D.; Alivizatos, H.; Kati, V. Pronounced Seasonal Diet Diversity Expansion of Golden Eagles (Aquila chrysaetos) in Northern Greece During the Non-Breeding season: The Role of Tortoises. Diversity 2022, 14, 135. [Google Scholar] [CrossRef]
- Levins, R. Evolution in Changing Environments; Princeton University Press: Princeton, NJ, USA, 1968. [Google Scholar]
- Jędrzejewska, B.; Jędrzejewski, W. Predation in Vertebrate Communities. The Białowieża Primeval Forest as a Case Study; Springer: Berlin/Heidelberg, Germany, 1998. [Google Scholar]
- BDL. 2023. Available online: https://www.bdl.lasy.gov.pl/portal/mapy-en (accessed on 14 April 2023).
- Whitfield, D.P.; Reid, R.; Haworth, P.F.; Madders, M.; Marquiss, M.; Tingay, R.; Fielding, A.H. Diet specificity is not associated with increased reproductive performance of Golden Eagles Aquila chrysaetos in Western Scotland. Ibis 2009, 151, 255–264. [Google Scholar] [CrossRef]
- Lüdecke, D. sjPlot: Data Visualization for Statistics in Social Science. R Package Version 2.8.15. 2023. Available online: https://CRAN.R-project.org/package=sjPlot (accessed on 7 September 2023).
- Natsukawa, H.; Sergio, F. Top predators as biodiversity indicators: A meta-analysis. Ecol. Lett. 2022, 25, 2062–2075. [Google Scholar] [CrossRef] [PubMed]
- Maciorowski, G. The occurrence and conservation of the black kite Milvus migrans in western Wielkopolska. Stud. i Mat. CEPL 2017, 53, 92–101. [Google Scholar]
- Kamarauskaitė, A.; Demenavičius, D.; Skuja, S.; Dagys, M.; Treinys, R. Interaction between the White-tailed Eagle and Common Buzzard estimated by diet analysis and brood defence behaviour. Ornis Fenn. 2020, 97, 26–37. [Google Scholar]
- Demerdzhiev, D.; Boev, Z.; Dobrev, D.; Nedyalkov, N.; Petrov, T. Does Temporal and Spatial Diet Alteration Lead to Successful Adaptation of the Eastern Imperial Eagle, a Top Predator? Diversity 2022, 14, 1000. [Google Scholar] [CrossRef]




| Period | 2000–2005 | 2011–2017 | 2018–2023 | 2000–2023 | |||||
|---|---|---|---|---|---|---|---|---|---|
| Prey Species | Habitat | N | % | N | % | N | % | N | % |
| Esox lucius | W | 29 | 5 | 77 | 22 | 115 | 16 | 221 | 13 |
| Abramis brama | W | 72 | 12 | 51 | 15 | 48 | 7 | 171 | 10 |
| Tinca tinca | W | 0 | 0 | 4 | 1 | 1 | 0 | 5 | 0 |
| Perca fluviatilis | W | 3 | 0 | 11 | 3 | 22 | 3 | 36 | 2 |
| Rutilus rutilus | W | 0 | 0 | 3 | 1 | 7 | 1 | 10 | 1 |
| Carassius carassius | W | 1 | 0 | 0 | 0 | 0 | 0 | 1 | 0 |
| Coregonus lavaretus | W | 1 | 0 | 0 | 0 | 0 | 0 | 1 | 0 |
| Barbus barbus | W | 1 | 0 | 0 | 0 | 0 | 0 | 1 | 0 |
| Undetermined fish | W | 84 | 14 | 23 | 7 | 22 | 3 | 129 | 7 |
| Total Fish | 187 | 31 | 169 | 48 | 215 | 30 | 571 | 34 | |
| Cygnus olor | W | 7 | 1 | 1 | 0 | 5 | 1 | 13 | 1 |
| Bucephala clangula | W | 1 | 0 | 0 | 0 | 2 | 0 | 3 | 0 |
| Spatula querquedula | W | 0 | 0 | 0 | 0 | 1 | 0 | 1 | 0 |
| Spatula clypeata | W | 0 | 0 | 0 | 0 | 1 | 0 | 1 | 0 |
| Mareca strepera | W | 0 | 0 | 0 | 0 | 1 | 0 | 1 | 0 |
| Anas platyrynchos | W | 79 | 13 | 19 | 5 | 42 | 6 | 140 | 9 |
| Anas crecca | W | 0 | 0 | 1 | 0 | 0 | 0 | 1 | 0 |
| Anas sp. | W | 54 | 9 | 0 | 0 | 26 | 4 | 80 | 4 |
| Domestic duck | D | 0 | 0 | 0 | 0 | 1 | 0 | 1 | 0 |
| Tetrastes bonasia | F | 0 | 0 | 0 | 0 | 3 | 0 | 3 | 0 |
| Gallus domesticus | D | 2 | 0 | 2 | 1 | 20 | 3 | 24 | 1 |
| Podiceps cristatus | W | 9 | 1 | 11 | 3 | 37 | 5 | 57 | 3 |
| Columba livia | D | 0 | 0 | 0 | 0 | 3 | 0 | 3 | 0 |
| Columba oenas | F | 1 | 0 | 0 | 0 | 13 | 2 | 16 | 1 |
| Columba palumbus | O | 4 | 1 | 0 | 0 | 6 | 1 | 10 | 1 |
| Gallinula chloropus | W | 0 | 0 | 0 | 0 | 1 | 0 | 1 | 0 |
| Fulica atra | W | 93 | 15 | 31 | 9 | 62 | 9 | 186 | 11 |
| Vanellus vanellus | O | 1 | 0 | 0 | 0 | 4 | 1 | 5 | 0 |
| Scolopax rusticola | F | 0 | 0 | 0 | 0 | 1 | 0 | 1 | 0 |
| Chroicocephalus ridibundus | W | 8 | 1 | 13 | 4 | 11 | 2 | 32 | 2 |
| Larus argentatus | W | 1 | 0 | 0 | 0 | 3 | 0 | 4 | 0 |
| Larus canus | W | 1 | 0 | 0 | 0 | 1 | 0 | 2 | 0 |
| Larus sp. | W | 11 | 2 | 2 | 1 | 2 | 0 | 15 | 1 |
| Sterna hirundo | W | 0 | 0 | 0 | 0 | 2 | 0 | 2 | 0 |
| Ciconia ciconia | O | 26 | 4 | 35 | 10 | 79 | 11 | 140 | 8 |
| Ciconia nigra | F | 4 | 1 | 1 | 0 | 0 | 0 | 5 | 0 |
| Ciconia sp. | O | 13 | 2 | 0 | 0 | 0 | 0 | 13 | 1 |
| Botaurus stellaris | W | 1 | 0 | 1 | 0 | 1 | 0 | 3 | 0 |
| Ardea cinerea | W | 4 | 1 | 0 | 0 | 1 | 0 | 5 | 0 |
| Ardea alba | W | 0 | 0 | 0 | 0 | 1 | 0 | 1 | 0 |
| Phalocrocorax carbo | W | 7 | 1 | 14 | 4 | 48 | 7 | 69 | 4 |
| Buteo buteo | F | 0 | 0 | 2 | 1 | 3 | 0 | 5 | 0 |
| Circus aeruginosus | W | 0 | 0 | 1 | 0 | 0 | 0 | 1 | 0 |
| Picus canus | F | 0 | 0 | 0 | 0 | 1 | 0 | 1 | 0 |
| Dryocopus martius | F | 1 | 0 | 0 | 0 | 2 | 0 | 3 | 0 |
| Dendrocopos major | F | 0 | 0 | 2 | 1 | 0 | 0 | 2 | 0 |
| Garrulus glandarius | F | 7 | 1 | 1 | 0 | 5 | 1 | 13 | 1 |
| Coloeus monedula | O | 0 | 0 | 0 | 0 | 7 | 1 | 7 | 0 |
| Corvus frugilegus | O | 2 | 0 | 0 | 0 | 1 | 0 | 3 | 0 |
| Corvus corax | F | 1 | 0 | 1 | 0 | 1 | 0 | 3 | 0 |
| Corvus cornix | O | 0 | 0 | 0 | 0 | 0 | 0 | 0 | 0 |
| Turdus merula | F | 0 | 0 | 0 | 0 | 1 | 0 | 1 | 0 |
| Turdus sp. | F | 0 | 0 | 0 | 0 | 6 | 1 | 6 | 0 |
| Undetermined birds | 27 | 4 | 24 | 7 | 41 | 5 | 92 | 6 | |
| Eggs of Heron | W | 2 | 0 | 0 | 0 | 0 | 0 | 2 | 0 |
| Total birds | 375 | 61 | 162 | 46 | 446 | 62 | 983 | 58 | |
| Talpa europaea | O | 2 | 0 | 0 | 0 | 2 | 0 | 4 | 0 |
| Ondatra zibethica | W | 0 | 0 | 1 | 0 | 0 | 0 | 1 | 0 |
| Arvicola terrestris | W | 1 | 0 | 1 | 0 | 0 | 0 | 2 | 0 |
| Myodes glareolus | F | 0 | 0 | 1 | 0 | 0 | 0 | 1 | 0 |
| Microtus arvalis | O | 0 | 0 | 3 | 1 | 0 | 0 | 3 | 0 |
| Microtus oeconomus | O | 1 | 0 | 0 | 0 | 0 | 0 | 1 | 0 |
| Microtus sp. | O | 2 | 0 | 0 | 0 | 0 | 0 | 2 | 0 |
| Undetermined Rodentia | O | 1 | 0 | 0 | 0 | 1 | 0 | 2 | 0 |
| Lepus europaeus | F | 1 | 0 | 2 | 1 | 11 | 2 | 14 | 1 |
| Lepus timidus | F | 1 | 0 | 1 | 0 | 0 | 0 | 2 | 0 |
| Lepus sp. | F | 0 | 0 | 0 | 0 | 1 | 0 | 1 | 0 |
| Canis familiaris | D | 1 | 0 | 1 | 0 | 9 | 1 | 11 | 1 |
| Nyctereutes procyonoides | F | 1 | 0 | 0 | 0 | 0 | 0 | 1 | 0 |
| Martes martes | F | 0 | 0 | 2 | 1 | 1 | 0 | 3 | 0 |
| Mustela putorius | F | 1 | 0 | 0 | 0 | 1 | 0 | 2 | 0 |
| Neogale vison | W | 0 | 0 | 0 | 0 | 2 | 0 | 2 | 0 |
| Felis catus | D | 0 | 0 | 0 | 0 | 3 | 0 | 3 | 0 |
| Sus scrofa | F | 2 | 0 | 5 | 1 | 12 | 2 | 19 | 1 |
| Capreolus capreolus | F | 9 | 2 | 1 | 0 | 6 | 1 | 16 | 1 |
| Cervus elaphus | F | 5 | 1 | 0 | 0 | 1 | 0 | 6 | 0 |
| Refuse from slaughter-house | D | 0 | 0 | 0 | 0 | 4 | 1 | 4 | 0 |
| Undetermined mammals | 8 | 1 | 0 | 0 | 2 | 0 | 10 | 1 | |
| Total Mammals | 37 | 6 | 19 | 5 | 55 | 8 | 111 | 7 | |
| Natrix natrix | W | 3 | 0 | 1 | 0 | 1 | 0 | 5 | 0 |
| Total Reptiles | 3 | 0 | 1 | 0 | 1 | 0 | 5 | 0 | |
| Lumnea stagnalis | W | 3 | 0 | 0 | 0 | 0 | 0 | 3 | 0 |
| Coleoptera | F | 6 | 1 | 0 | 0 | 0 | 0 | 6 | 0 |
| Total Invertebrates | 12 | 1 | 1 | 0 | 1 | 0 | 14 | 1 | |
| TOTAL | 619 | 100 | 351 | 100 | 717 | 100 | 1687 | 100 | |
| Period | 2000–2005 | 2009–2017 | 2018–2023 | 2000–2023 |
|---|---|---|---|---|
| Food Category | ||||
| % | % | % | % | |
| Northern Pike | 5 | 22 | 16 | 13.2 |
| Common Bream | 12 | 15 | 7 | 10.1 |
| Eurasian Perch | 1 | 3 | 3 | 2.2 |
| Other fishes | 13 | 9 | 4 | 8.2 |
| Storks | 8 | 10 | 11 | 9.9 |
| Coot | 13 | 9 | 9 | 10.1 |
| Mallard | 14 | 5 | 6 | 8.6 |
| Other ducks | 8 | 0 | 4 | 4.7 |
| Great Cormorant | 1 | 4 | 7 | 4.2 |
| Corvids | 2 | 1 | 2 | 1.7 |
| Great Crested Grebe | 1 | 3 | 5 | 3.5 |
| Gulls | 4 | 4 | 2 | 3.2 |
| Domestic hen | 0 | 1 | 3 | 1.7 |
| Woodpeckers | 0 | 1 | 0 | 0.4 |
| Birds of prey | 0 | 1 | 0 | 0.4 |
| Mute Swan | 1 | 0 | 1 | 0.8 |
| Pigeons | 1 | 0 | 3 | 1.7 |
| Herons | 1 | 0 | 0 | 0.7 |
| Other birds | 6 | 7 | 8 | 6.9 |
| Predatory mammals | 1 | 1 | 2 | 1.4 |
| Ungulate | 3 | 2 | 3 | 2.8 |
| Hares | 0 | 1 | 2 | 1.1 |
| Rodents | 1 | 2 | 0 | 1.1 |
| Reptiles | 1 | 0 | 0 | 0.3 |
| Invertebrates | 2 | 0 | 0 | 0.6 |
| Estimate | Std. Error | t | Value Pr (>|t|) | |
|---|---|---|---|---|
| (Intercept) | 2013.12 | 2.886 | 697.51 | <0.001 |
| Great Crested Grebe | 54.42 | 14.56 | 3.78 | <0.001 |
| Storks | 8.24 | 5.20 | 1.66 | 0.11 |
| Northern Pike | 9.24 | 5.59 | 1.82 | 0.07 |
| Common Bream | −15.60 | 27.24 | −0.57 | 0.57 |
| Coot | −2.80 | 7.13 | −0.39 | 0.70 |
| Ducks | −14.63 | 8.61 | −2.05 | 0.05 |
| Great Cormorant | 14.77 | 6.16 | 2.40 | 0.02 |
| Gulls | −11.82 | 6.15 | −0.76 | 0.46 |
| Random effect | Std. dev. | |||
| Territory | 2.59 | |||
| Residuals | ||||
| εij | 4.95 |
| Estimate | Std. Error | z Value | Pr (>|z|) | |
|---|---|---|---|---|
| (Intercept) | 5.14 | 0.43 | 11.89 | <0.001 |
| Great Crested Grebe | 5.48 | 2.43 | 2.26 | 0.028 |
| Storks | 0.09 | 0.82 | 0.11 | 0.910 |
| Northern Pike | 1.44 | 0.89 | 1.619 | 0.111 |
| Common Bream | −5.16 | 4.86 | −1.062 | 0.293 |
| Coot | 4.33 | 1.08 | 4.026 | <0.001 |
| Ducks | 3.10 | 1.46 | 2.119 | 0.039 |
| Great Cormorant | 1.11 | 0.97 | 1.146 | 0.257 |
| Gulls | −0.57 | 2.58 | −0.22 | 0.827 |
| AIC: 939.8 |
Disclaimer/Publisher’s Note: The statements, opinions and data contained in all publications are solely those of the individual author(s) and contributor(s) and not of MDPI and/or the editor(s). MDPI and/or the editor(s) disclaim responsibility for any injury to people or property resulting from any ideas, methods, instructions or products referred to in the content. |
© 2023 by the authors. Licensee MDPI, Basel, Switzerland. This article is an open access article distributed under the terms and conditions of the Creative Commons Attribution (CC BY) license (https://creativecommons.org/licenses/by/4.0/).
Share and Cite
Zawadzka, D.; Zawadzki, G. Changes in Avian Top-Predator Diet in the 21st Century in Northeast (NE) Poland. Diversity 2023, 15, 1144. https://doi.org/10.3390/d15111144
Zawadzka D, Zawadzki G. Changes in Avian Top-Predator Diet in the 21st Century in Northeast (NE) Poland. Diversity. 2023; 15(11):1144. https://doi.org/10.3390/d15111144
Chicago/Turabian StyleZawadzka, Dorota, and Grzegorz Zawadzki. 2023. "Changes in Avian Top-Predator Diet in the 21st Century in Northeast (NE) Poland" Diversity 15, no. 11: 1144. https://doi.org/10.3390/d15111144
APA StyleZawadzka, D., & Zawadzki, G. (2023). Changes in Avian Top-Predator Diet in the 21st Century in Northeast (NE) Poland. Diversity, 15(11), 1144. https://doi.org/10.3390/d15111144

