Traditional Knowledge of Textile Dyeing Plants: A Case Study in the Chin Ethnic Group of Western Myanmar
Abstract
1. Introduction
2. Materials and Methods
2.1. Study Site
2.2. Interview and Plant Material Collection
2.3. Quantitative Ethnobotanical Indexes
2.3.1. Use Report (UR)
2.3.2. Use Value (UV) Index
2.4. Data Analyses
3. Results
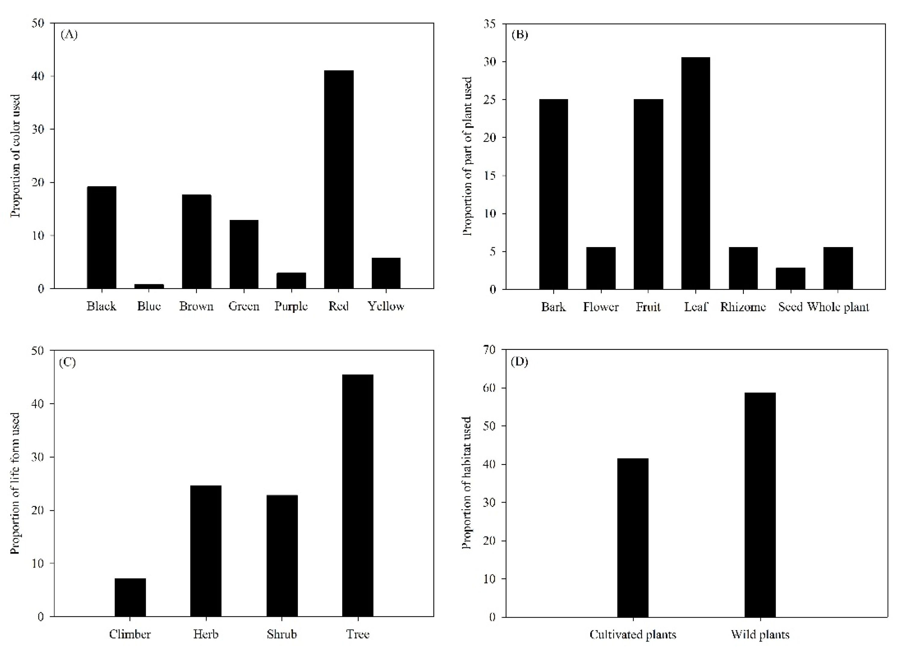
3.1. Documented Plant Species and Mode of Uses and Preparation
3.2. Quantitative Ethnobotanical Analyses
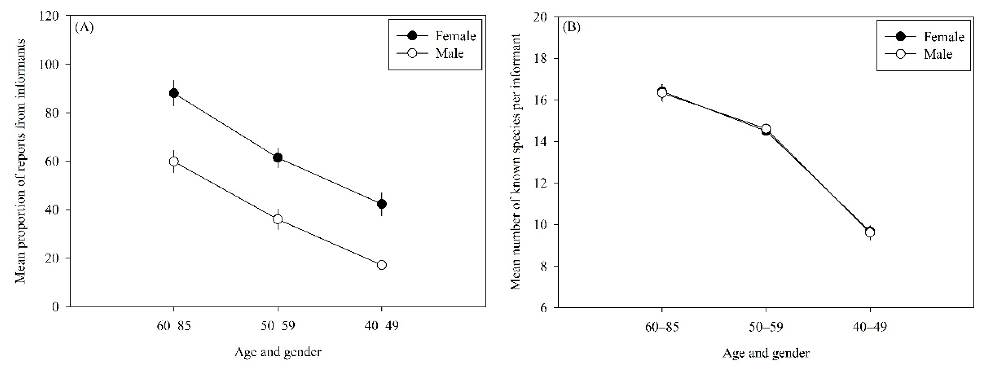
3.3. Traditional Knowledge of Plants Used in Textile Dyeing by Age and Gender
4. Discussion
4.1. Lutuv-Chin Textile Dyes
4.2. The Lutuv-Chin Dye Plants
4.3. Color Production from Lutuv-Chin Dye Plants
4.4. Lutuv-Chin Use of Mordants
4.5. Limitations of Study and Recommendations
Supplementary Materials
Author Contributions
Funding
Institutional Review Board Statement
Informed Consent Statement
Data Availability Statement
Acknowledgments
Conflicts of Interest
References
- Zohary, D.; Hopf, M.; Weiss, E. Domestication of Plants in the Old World; Clarendon Press: Oxford, UK, 2012. [Google Scholar]
- Lucas, A.; Harris, J. Ancient Egyptian Materials and Industries; Dover Publications: New York, NY, USA, 2012; Volume 2, p. 176. [Google Scholar]
- Siva, R. Status of natural dyes and dye-yielding plants in India. Curr. Sci. 2007, 92, 916–925. [Google Scholar]
- Khomdram, S.D.; Malsawmtluangi, V.; Yumkham, S.D. Plants as sources of natural dyes in Mizoram. Nat. Res. Manag. Sust. Dev. 2019, 39, 469–481. [Google Scholar]
- Junsongduang, A.; Sirithip, K.; Inta, A.; Nachai, R.; Onputtha, B.; Tanming, W.; Balslev, H. Diversity and traditional knowledge of textile dyeing plants in Northeastern Thailand. Econ. Bot. 2017, 71, 241–255. [Google Scholar] [CrossRef]
- Singh, K.; Mathur, P.K. Traditional dye yielding plants of Firozabad, U.P., India. J. Adv. Lab. Res. Biol. 2012, 3, 115–118. [Google Scholar]
- Potsangbam, L.; Ningombam, S.; Laitonjam, W.S. Natural dye yielding plants and indigenous knowledge of dyeing in Manipur, Northeast India. Indian J. Tradit. Knowl. 2008, 7, 141–147. [Google Scholar]
- Hu, R.; Li, T.; Qin, Y.; Liu, Y.; Huang, Y. Ethnobotanical study on plants used to dye traditional costumes by the Baiku Yao nationality of China. J. Ethnobiol. Ethnomed. 2022, 18, 2. [Google Scholar] [CrossRef]
- Murani, V.; Joshi, K.R.; Sharma, K.; Dave, A. A brief review on: Extraction of natural dyes from barks of Mangrove and Walnut tree and their applications. Int. J. Sci. Res. 2020, 9, 669–673. [Google Scholar] [CrossRef]
- Shukla, P.; Upreti, D.K.; Nayaka, S.; Tiwari, P. Natural dyes from Himalayan lichens. Indian J. Tradit. Knowl. 2014, 13, 195–201. [Google Scholar]
- Rizwanullah, A.R.; Firasat, H.; Ihsan, A.; Javed, M.; Alia, G.; Hazrat, H.; Mushtag, A.G.; Muhammad, I.; Mohammad, K.; Rubywali, K.; et al. Biological investigation on novel natural dye extracted from the bark of Calligonum polygonoides L. and their application on Cotton Fiber. Pol. J. Environ. Stud. 2022, 31, 3789–3796. [Google Scholar] [CrossRef]
- Al-Ayash, A.; Kane, R.T.; Smith, D.; Green-Armytage, P. The influence of color on student emotion, heart rate, and performance in learning environments. Color Res. Appl. 2016, 41, 196–205. [Google Scholar] [CrossRef]
- Elliot, A.J.; Maier, M.A. Color psychology: Effects of perceiving color on psychological functioning in humans. Annu. Rev. Psychol. 2014, 65, 95–120. [Google Scholar] [CrossRef]
- Cunningham, A.B.; Maduarta, I.M.; Howe, J.; Ingram, W.; Jansen, S. Hanging by a thread: Natural metallic mordant processes in traditional Indonesian textiles. Econ. Bot. 2011, 65, 241–259. [Google Scholar] [CrossRef]
- Kulkarni, S.S.; Bodake, U.M.; Pathade, G.R. Extraction of natural dye from Chili (Capsicum annum) for textile coloration. Univers. J. Environ. Res. Technol. 2011, 1, 58–63. [Google Scholar]
- Ozturk, M.; Uysal, I.; Gucel, S.; Altundag, E.; Dogan, Y.; Baslar, S. Medicinal uses of natural dye-yielding plants in Turkey. Res. J. Text. Appar. 2013, 17, 69–80. [Google Scholar] [CrossRef]
- Dominique, C. Natural Dyes: Sources, Traditions, Technology & Science; Archetype: London, UK, 2007. [Google Scholar]
- Han, J.; Quye, A. Dyes and dyeing in the Ming and Qing Dynasties in China: Preliminary evidence based on primary sources of documented recipes. Text. Hist. 2018, 44–70. [Google Scholar] [CrossRef]
- Omar, A. History of dyes used in different historical periods of Egypt. RJTA 2012, 16, 79–92. [Google Scholar]
- Ahmed, H.E. Natural dyes in historical Egyptian textiles. LTTFD 2019, 3. [Google Scholar] [CrossRef]
- Perkin, W.H. Hofmann memorial lecture. J. Chem. Soc. 1896, 69, 596–637. [Google Scholar] [CrossRef]
- Hagan, E.; Poulin, J. Statistics of the early synthetic dye industry. Herit. Sci. 2021, 9, 33. [Google Scholar] [CrossRef]
- Fobiri, G.K. Synthetic dye application in textiles: A review on the efficacies and toxicities involved. Text. Leather Rev. 2022, 5, 180–198. [Google Scholar] [CrossRef]
- Soni, I.; Kumar, P.; Sharma, S.; Jayaprakash, G.K. A short review on electrochemical sensing of commercial dyes in real samples using carbon paste electrodes. Electrochem 2021, 2, 274–294. [Google Scholar] [CrossRef]
- Abe, F.R.; Machado, A.L.; Soares, A.M.V.M.; Oliveira, D.P.D.; Pestana, J.L.T. Life history and behavior effects of synthetic and natural dyes on Daphnia magna. Chemosphere 2019, 236, 124390. [Google Scholar] [CrossRef] [PubMed]
- Lellis, B.; Fávaro-Polonio, C.Z.; Pamphile, J.A.; Polonio, J.C. Effects of textile dyes on health and the environment and bioremediation potential of living organisms. Biotechnol. Res. Innov. 2019, 3, 275–290. [Google Scholar] [CrossRef]
- Bagnall, S. Burma’s ‘forgotten’ Chin people suffer abuse. BBC News 2009. Available online: http://news.bbc.co.uk/2/hi/asia-pacific/8626008.stm (accessed on 27 November 2022).
- David, W.; Barbara, G.F. Mantels of Merit: Chin Textiles from Myanmar, India, and Bangladesh; River Books Co., Ltd.: Bangkok, Thailand, 2005. [Google Scholar]
- The 8 Major National Ethnic Races in Myanmar. Ministry and Hotel of Tourism. Available online: https://web.archive.org/web/20071220174829/http://www.myanmar.gov.mm/ministry/hotel/fact/race.htm (accessed on 20 October 2022).
- Vogel, G.; Nguyen, T.V.; Zaw, T.; Poyarkov, N.A. A new species of the Pareas monticola complex (Squamata: Serpentes: Pareidae) from Chin Mountains with additions to the Pareas fauna of Myanmar. J. Nat. Hist. 2020, 54, 2577–2612. [Google Scholar] [CrossRef]
- Nwe, T.Y.; Moon, M.O.; Lee, S.H.; Sun, B.Y. Newly recorded ferns from the flora of Myanmar in Natma Taung National Park. Korean J. Plant Taxon. 2019, 49, 8–12. [Google Scholar] [CrossRef][Green Version]
- Murray, N.J.; Grantham, H.; Tizard, R.; Keith, D.A. Chin hills warm temperate rainforest. In Threatened Ecosystems of Myanmar: An IUCN Red List of Ecosystems Assessment; Murray, N.J., Keith, D.A., Tizard, R., Duncan, A., Htut, W.T., Hlaing, N., Oo, A.H., Ya, K.Z., Grantham, H., Eds.; Wildlife Conservation Society: New York, NY, USA, 2020; pp. 166–169. ISBN 978-0-9903852-5-7. [Google Scholar] [CrossRef]
- Murray, N.J.; Keith, D.A.; Duncan, A.; Tizard, R.; Ferrer-Paris, J.; Worthington, T.A.; Armstrong, K.; Hlaing, N.; Htut, W.T.; Oo, A.H.; et al. Myanmar’s terrestrial ecosystems: Status, threats and conservation opportunities. Biol. Conser. 2020, 252, 108834. [Google Scholar] [CrossRef]
- Bernard, R.H. Social research methods. In Qualitative and Quantitative Approaches; Sage Publications, Inc.: Thousand Oaks, CA, USA, 2000. [Google Scholar]
- Tardío, J.; Pardo-De-Santayana, M. Cultural importance indices: A comparative analysis based on the useful wild plants of southern Cantabria (northern Spain). Econ. Bot. 2008, 62, 24–39. [Google Scholar] [CrossRef]
- Whitney, C. Quantitative Ethnobotany Analysis with EthanobotanyR. 2019. Available online: https://cran.r-project.org/web/packages/ethnobotanyR/vignettes/ethnobotanyr_vignette.html (accessed on 27 November 2022).
- Sutradhar, B.; Deb, D.; Majumdar, K.; Datta, B.K. Short communication: Traditional dye yielding plants of Tripura, Northeast India. Biodiversitas 2015, 16, 121–127. [Google Scholar] [CrossRef]
- Kikim, A.; Khan, M.R.; Yadava, P.S. Traditional dye yielding plants used by different communities of Manipur, northeastern India. Int. J. Bio-Resour. Stress Manag. 2015, 6, 591. [Google Scholar] [CrossRef]
- Mahanta, D.; Tiwari, S.C. Natural dye-yielding plants and indigenous knowledge on dye preparation in Arunachal Pradesh, northeast India. Curr. Sci. 2005, 88, 1474–1480. [Google Scholar]
- Rosli, N.; Ismail, Z.; Lepun, P. Plants used as natural dye by the Orang Ulu ethnics in Asap Koyan Belaga Sarawak, Malaysia. Int. J. Curr. Res. 2015, 7, 19770–19775. [Google Scholar]
- Aye, T.K.; Maung, W.K.; Htwe, M.T. Application of natural dyes on textiles producing from some plants. 2nd Myanmar Korea Conf. Res. J. 2019, 511–520. [Google Scholar]
- Lotven, S.; Berkson, K.; Wamsley, J.C.; Danaher, J.; Van-Bik, K.; Davis, S. The syllable in Kuki-Chin. J. South Asian Lang. Linguist. 2020, 6, 281–308. [Google Scholar] [CrossRef]
- Acquah, S.B.; Oduro, K.A. Traditional cloth dyeing enterprise at Ntonso: Challenges and opportunities. West Afr. J. Appl. Ecol. 2012, 20, 25–36. [Google Scholar]
- Wanyama, P.A.G.; Kiremire, B.T.; Ogwok, P.; Murumu, J.S. Indigenous plants in Uganda as potential sources of textile dyes. Afr. J. Plant Sci. 2011, 5, 28–39. [Google Scholar]
- Lambaré, D.A.; Hilgert, N.I.; Ramos, R.S. Dyeing plants and knowledge transfer in the Yungas communities of northwest Argentina. Econ. Bot. 2011, 65, 315–328. [Google Scholar] [CrossRef]
- Chaudhary, M.I.; He, Q.; Cheng, Y.Y.; Xiao, P.G. Ethnobotany of medicinal plants from Tian Mu Shan biosphere reserve, Zhejiang-province, China. Asian J. Plant Sci. 2006, 5, 646–653. [Google Scholar]
- Ren, Z.H.; Okyere, S.K.; Wen, J.; Xie, L.; Cui, Y.J.; Wang, S.; Wang, J.C.; Cao, S.Z.; Shen, L.H.; Ma, X.P.; et al. An Overview: The toxicity of Ageratina adenophora on animals and its possible interventions. Int. J. Mol. Sci. 2021, 22, 11581. [Google Scholar] [CrossRef]
- Morton, J.F. Can Annatto (Bixa orellana L.), an old source of food color, meet new needs for safe dye? Proc. Annu. Meet. Fla. State. Hort. Soc. 1960, 73, 301–309. [Google Scholar]
- Muniappan, R.; Redd, G.V.P.; Lai, P.Y. Distribution and biological control of Chromoleana odorata. In Invasive Plants: Ecological and Agricultural Aspects; Springer: Berlin/Heidelberg, Germany, 2005; pp. 223–233. [Google Scholar]
- Prasad, S.; Aggarwal, B.B. Turmeric, the golden spice: From traditional medicine to modern medicine. In Herbal Medicine: Biomolecular and Clinical Aspects, 2nd ed.; Benzie, I.F.F., Wachtel-Galor, S., Eds.; CRC Press: Boca Raton, FL, USA; Taylor & Francis: Boca Raton, FL, USA, 2011; Chapter 13. Available online: https://www.ncbi.nlm.nih.gov/books/NBK92752/ (accessed on 23 October 2022).
- Roselle (Plant). Wikipedia. Available online: https://en.wikipedia.org/wiki/Roselle_(plant) (accessed on 23 October 2022).
- Peppermint. Wikipedia. Available online: https://en.wikipedia.org/wiki/Spearmint (accessed on 23 October 2022).
- Wiersema, J.H.; León, B. World Economic Plants: A Standard Reference, 2nd ed.; CRC Press: Boca Raton, FL, USA, 2016; Volume 749. [Google Scholar]
- Ageratina adenophora. Wikipedia. Available online: https://en.wikipedia.org/wiki/Ageratina_adenophora#:~:text=It%20is%20native%20to%20Mexico,and%20often%20a%20noxious%20weed (accessed on 23 October 2022).
- Liu, Y.; Ahmed, S.; Liu, B.; Guo, Z.Y.; Huang, W.J.; Wu, X.J.; Li, S.H.; Zhou, J.J. Ethnobotany of dye plants in Dong communities of China. J. Ethnobiol. Ethnomed. 2014, 10, 23. [Google Scholar] [CrossRef]





Publisher’s Note: MDPI stays neutral with regard to jurisdictional claims in published maps and institutional affiliations. |
© 2022 by the authors. Licensee MDPI, Basel, Switzerland. This article is an open access article distributed under the terms and conditions of the Creative Commons Attribution (CC BY) license (https://creativecommons.org/licenses/by/4.0/).
Share and Cite
Ling, T.C.; Inta, A.; Armstrong, K.E.; Little, D.P.; Tiansawat, P.; Yang, Y.-P.; Phokasem, P.; Tuang, Z.K.; Sinpoo, C.; Disayathanoowat, T. Traditional Knowledge of Textile Dyeing Plants: A Case Study in the Chin Ethnic Group of Western Myanmar. Diversity 2022, 14, 1065. https://doi.org/10.3390/d14121065
Ling TC, Inta A, Armstrong KE, Little DP, Tiansawat P, Yang Y-P, Phokasem P, Tuang ZK, Sinpoo C, Disayathanoowat T. Traditional Knowledge of Textile Dyeing Plants: A Case Study in the Chin Ethnic Group of Western Myanmar. Diversity. 2022; 14(12):1065. https://doi.org/10.3390/d14121065
Chicago/Turabian StyleLing, Tial C., Angkhana Inta, Kate E. Armstrong, Damon P. Little, Pimonrat Tiansawat, Yong-Ping Yang, Patcharin Phokasem, Za Khai Tuang, Chainarong Sinpoo, and Terd Disayathanoowat. 2022. "Traditional Knowledge of Textile Dyeing Plants: A Case Study in the Chin Ethnic Group of Western Myanmar" Diversity 14, no. 12: 1065. https://doi.org/10.3390/d14121065
APA StyleLing, T. C., Inta, A., Armstrong, K. E., Little, D. P., Tiansawat, P., Yang, Y.-P., Phokasem, P., Tuang, Z. K., Sinpoo, C., & Disayathanoowat, T. (2022). Traditional Knowledge of Textile Dyeing Plants: A Case Study in the Chin Ethnic Group of Western Myanmar. Diversity, 14(12), 1065. https://doi.org/10.3390/d14121065

