Next Article in Journal
Crystal Structure of Bis(1-butyl-1-methypyrrolidinium) Perthiodicarbonate Complex
Previous Article in Journal
Methyl and Benzyl (Ethyl 3,4-di-O-benzyl-2-O-benzoyl-1-thio-β-d-glucopyranosyl)uronate
 
 
Font Type:
Arial Georgia Verdana
Font Size:
Aa Aa Aa
Line Spacing:
Column Width:
Background:
Short Note

(S,Z)-1,4-Bis(benzyloxy)hexa-3,5-dien-2-ol

Graduate School of Biomedical Sciences, Nagasaki University, 1-14 Bunkyo-machi, Nagasaki 852-8521, Japan
*
Author to whom correspondence should be addressed.
Molbank 2024, 2024(3), M1848; https://doi.org/10.3390/M1848
Submission received: 30 June 2024 / Revised: 6 July 2024 / Accepted: 8 July 2024 / Published: 10 July 2024
(This article belongs to the Section Organic Synthesis and Biosynthesis)

Abstract

Naturally occurring carbohydrates serve as useful building blocks, and various derivatives have been employed in natural product syntheses. For instance, some aldoses can be converted to 1,3-dienes via the Wittig reaction at the anomeric carbon, accompanied by the E2 elimination of the C3-alkoxy group. However, there are few examples of terminal 1,3-diene synthesis. We report the synthesis of (S,Z)-1,4-bis(benzyloxy)hexa-3,5-dien-2-ol, featuring a terminal 1,3-diene and chiral secondary alcohol, derived from 2,3,5-tri-O-benzyl-d-arabinofuranose with methyltriphenylphosphonium bromide and potassium tert-butoxide in a single step. The synthesized terminal 1,3-diene demonstrated effective reactivity in a cross-metathesis reaction with cis-1,4-diacetoxy-2-butene.

1. Introduction

Carbohydrates are among the most valuable chiral building blocks for synthesizing optically active compounds due to their abundant natural resources. Consequently, numerous examples of natural product syntheses using carbohydrates as chiral building blocks have been documented [1,2]. Effective methods to convert carbohydrates into suitable building blocks are essential for these applications. Among naturally occurring sugars, arabinose is unique, with both d- and l-arabinose isomers present in nature despite the homochirality of d-sugars. As both d- and l-arabinose are commercially available, arabinose serves as a versatile chiral building block, leading to the synthesis of various derivatives [3,4,5]. Reitz et al. reported a Wittig reaction of d-arabinose at the anomeric position using diethyl (cyanomethyl)phosphonate and lithium bis(trimethylsilyl)amide, resulting in the E2 elimination of the C3-benzyloxy group to produce a 1,3-diene with a 43% yield [6]. Additionally, 1-phenylthio-1,3-diene and 1-phenylselenenyl-1,3-diene were obtained in 6% and 55% yields, respectively, using different Wittig reagents [7,8]. However, there are no reports on the synthesis of (S,Z)-1,4-bis(benzyloxy)hexa-3,5-dien-2-ol (1; Figure 1), which features a terminal 1,3-diene. The synthesis of 1,3-diene 1 utilized the readily available reagent methyltriphenylphosphonium bromide, resulting in a compound significantly more stable than the previously mentioned 1-substituted 1,3-dienes. Moreover, the terminal 1,3-diene motif is amenable to further transformations, such as cross-metathesis and Diels–Alder reactions. In this paper, we present the synthesis of an optically active 1,3-diene, (S,Z)-1,4-bis(benzyloxy)hexa-3,5-dien-2-ol (1), from 2,3,5-tri-O-benzyl-d-arabinofuranose (3) using methyltriphenylphosphonium bromide and potassium tert-butoxide in a single step. The cross-metathesis reaction of 1,3-diene 1 with cis-1,4-diacetoxy-2-butene is also demonstrated.

2. Results and Discussion

First, 2,3,5-tri-O-benzyl-d-arabinofuranose (3) was prepared from D-arabinose in three steps according to a procedure from the literature with slight modifications (Scheme 1) [9]. d-arabinose was treated with methanolic hydrogen chloride to yield methyl d-arabinofuranoside, and the remaining hydroxy groups were protected with benzyl groups to provide methyl 2,3,5-tri-O-benzyl-d-arabinofuranoside (2) in an 89% yield over two steps. Finally, the treatment of methyl glycoside 2 with aqueous sulfuric acid in acetic acid resulted in the formation of furanose 3 at an 86% yield.
Compound 3 was treated with a ylide prepared from potassium tert-butoxide and methyltriphenylphosphonium bromide in tetrahydrofuran (THF), yielding 1,3-diene 1 in an 87% yield (Scheme 2). In this reaction, a Wittig reaction and an elimination reaction of the C3-benzyloxy group occurred to give 1,3-diene 1. A similar elimination/Wittig reaction of 2,3,4,6-tetra-O-benzyl-d-glucopyranose has been reported in the literature, although it required a carcinogenic polar solvent, hexamethylphosphoramide [10]. Interestingly, the reaction of 2,3-O-isopropylidene-d-ribofuranose under the same conditions yielded the standard Wittig product without elimination [11]. Additionally, a Wittig reaction of compound 3 at lower temperatures using methyltriphenylphosphonium bromide and n-butyl lithium revealed the formation of Wittig product 4 without elimination [12]. These results indicate that the appropriate conformation of the elimination reaction, the reaction temperature, and the choice of base are crucial for yielding 1,3-diene 1.
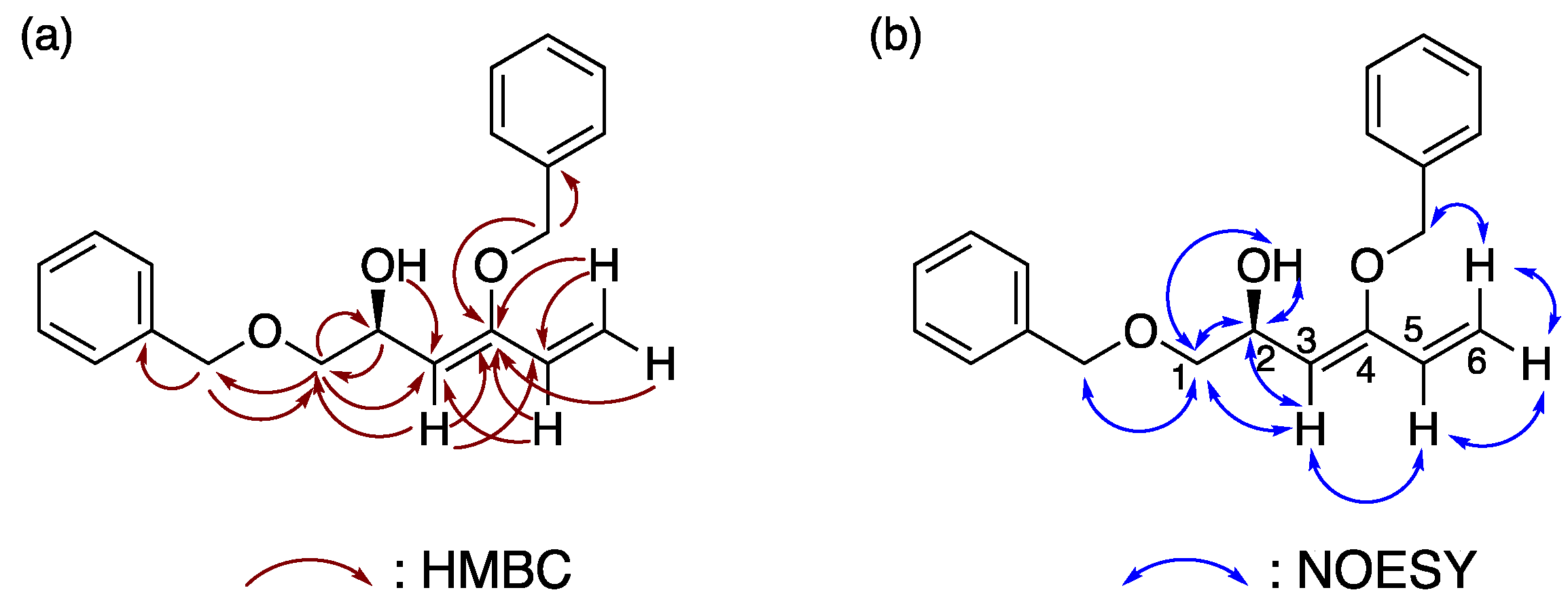
The chemical structure of 1,3-diene 1 was unambiguously determined by HMBC measurements in CDCl3 in combination with COSY and HSQC spectra (Figure 2a and Figures S3–S5). Two key NOESY correlations between H-3 and H-5, and H-6cis and benzyl protons at the C4 position suggest that the geometry of 1,3-diene was s-trans in CDCl3 solution (Figure 2b and Figure S6). The FT-IR spectrum also supported the structure, indicated by the presence of the hydroxy group as a broad band at 3437 cm−1 and the 1,3-diene moiety as strong bands at 1651 and 1605 cm−1 (Figure S7).
To further investigate the utility of 1,3-diene 1, the cross-metathesis reaction of 1 with cis-1,4-diacetoxy-2-butene was examined (Scheme 3). The reaction proceeded smoothly using the Hoveyda–Grubbs second-generation catalyst, yielding metathesis product 5 at a 64% yield with a high E-selectivity of 17:1 based on 1H NMR analysis. The coupling constants of vicinal olefinic protons of compound 5 were observed at 15.7 Hz for the major E-isomer and 11.9 Hz for the minor Z-isomer.

3. Materials and Methods

3.1. General Procedure and Method

Optical rotations were measured on a JASCO DIP-370 polarimeter (JASCO Corporation, Tokyo, Japan) using CHCl3 as a solvent. 1H NMR and 13C NMR spectra were recorded on a JEOL JNM-ECZ400R (400 MHz and 100 MHz), a Varian Gemini 300 (300 MHz and 75 MHz), or a Varian NMR System 500PS SN (500 MHz and 125 MHz) spectrometers (Agilent Inc., Santa Clara, CA, USA). Chemical shifts (δ) were reported in parts per million (ppm). Tetramethylsilane was used as the internal reference (0.00 ppm in CDCl3) for 1H NMR spectra, while the central solvent peak was used as a reference (77.0 ppm in CDCl3) for 13C NMR spectra. The IR spectra were recorded on a Shimadzu IRAffinity-1 FT-IR spectrophotometer (Shimadzu Corporation, Kyoto, Japan). High-resolution mass spectra (HRMS) were obtained on JEOL JMS-T100TD using electrospray ionization (ESI) (JEOL Ltd., Tokyo, Japan) in the time-of-flight (TOF) mode. Analytical thin layer chromatography (TLC) was performed with Merck Millipore precoated TLC plates (MilliporeSigma, Burlington, VT, USA), silica gel at 60 F254, and layer thicknesses of 0.25 mm. Compounds were observed in UV light at 254 nm and then visualized by staining with iodine, p-anisaldehyde, or the phosphomolybdic acid stain. Flash and gravity column chromatography separations were performed on Kanto Chemical silica gel 60N, spherical neutral, with particle sizes of 63–210 μm and 40–50 μm, respectively. All moisture-sensitive reactions were conducted under an inert atmosphere. Reagents and solvents were of commercial grade and were used as supplied unless otherwise noted [13].

3.2. Methyl 2,3,5-Tri-O-benzyl-d-arabinofuranoside (2)

To a solution of acetyl chloride (0.711 mL, 10.0 mmol) in MeOH (100 mL), D-arabinose (3.00 g, 20.0 mmol) was added at room temperature, and the mixture was stirred at room temperature for 18 h. The reaction was quenched by adding Ag2CO3 (2.76 g, 10.0 mmol), and the resultant suspension was stirred at room temperature for 1 h. The precipitate was removed by filtering through a Celite pad, which was washed with MeOH. The combined organics were concentrated under a vacuum. The residue was co-evaporated with toluene to give a crude methyl D-arabinofuranoside (Rf = 0.26 and 0.20, 10% MeOH in CHCl3). To a solution of the above methyl D-arabinofuranoside in THF/DMF (75 mL/25 mL), NaH was added (60% dispersion in mineral oil; 3.60 g, 90.0 mmol) at 0 °C and the reaction mixture was stirred at room temperature for 10 min. Benzyl bromide (10.7 mL, 90.0 mmol) was added to the reaction mixture at 0 °C, which was stirred at room temperature for 19 h. The reaction was quenched by adding water, which was diluted with toluene. After the removal of THF by evaporation, the aqueous layer was extracted with EtOAc three times, and the combined organics were washed with brine and dried over anhydrous MgSO4. The evaporation of the solvent gave a residue, which was purified by flash column chromatography on silica gel (12% EtOAc in n-hexane) to yield the desired product 2 (7.76 g, 89% in 2 steps, α:β = 2.3:1) as a colorless syrup. Rf = 0.63 and 0.59 (40% EtOAc in n-hexane). 1H NMR (300 MHz, CDCl3) δ (α-anomer): 7.43–7.17 (15H, m, ArH), 4.95 (1H, br s, H-1), 4.58–4.51 (4H, m, 4 × CHHPh), 4.48 (1H, d, J = 12.1 Hz, CHHPh), 4.46 (1H,d, J = 11.8 Hz, CHHPh), 4.25–4.17 (1H, m, H-4), 3.99 (1H, dd, J2,3 = 2.8 Hz, J1,2 = 1.1 Hz, H-2), 3.90 (1H,dd, J3,4 = 6.4, J2,3 = 2.8 Hz, H-3), 3.70–3.61 (1H, m, H-5a), 3.61–3.56 (1H, m, H-5b), 3.39 (3H, s, OCH3); δ (β-anomer): 7.43–7.17 (15H, m, ArH), 4.73 (1H, d, J1,2 = 3.6 Hz, H-1), 4.68–4.60 (4H, m, 4 × CHHPh), 4.58–4.51 (2H, m, 2 × CHHPh), 4.15–4.05 (3H, m, H-2, 3, 4), 3.55–3.44 (2H, m, H-5), 3.32 (3H, s, OCH3).

3.3. 2,3,5-Tri-O-benzyl-d-arabinofuranose (3)

To a solution of methyl glycoside 2 (7.76 g, 17.9 mmol) in AcOH (180 mL), 2 M H2SO4 aq was added (90 mL) at 65 °C, and the reaction mixture was stirred at the same temperature for 41 h. The mixture was diluted with water and extracted with CH2Cl2 three times. The combined organics were successively washed with water, sat. NaHCO3 aq, and water. After drying with MgSO4, the residue was purified by flash column chromatography on silica gel (20% EtOAc in n-hexane) to yield the desired product 3 (6.44 g, 86%, α:β = 1.2:1) as white solids along with the recovery of 2 (445 mg, 6% rsm). Rf = 0.41 (40% EtOAc in n-hexane). 1H NMR (300 MHz, CDCl3) δ (α-anomer): 7.41–7.20 (15H, m, ArH), 5.39 (1H, s, H-1), 4.69–4.41 (7H, m, H-4, 6 × CHHPh), 3.99–3.91 (2H, m, H-2, 3), 3.59 (1H, dd, J5a,5b = 10.2, J4,5a = 6.6 Hz, H-5a), 3.56–3.46 (1H, m, H-5b); δ (β-anomer): 7.41–7.20 (15H, m, ArH), 5.33 (1H, d, J1,2 = 4.3 Hz, H-1), 4.69–4.41 (6H, m, 6 × CHHPh), 4.16 (1H, t, J2,3 = J3,4 = 4.7 Hz, H-3), 4.12–4.05 (1H, m, H-4), 4.01 (1H, dd, J2,3 = 4.7 Hz, J1,2 = 4.3 Hz, H-2), 3.56–3.46 (2H, m, H-5).

3.4. (S,Z)-1,4-Bis(benzyloxy)hexa-3,5-dien-2-ol (1)

To a suspension of methyltriphenylphosphonium bromide (598 mg, 1.66 mmol) in THF (8 mL), potassium tert-butoxide was added (186 mg, 1.66 mmol) at 0 °C, and the resultant mixture was stirred for 1 h at 0 °C and for 1 h at room temperature. Then, a solution of 2,3,5-tri-O-benzyl-D-arabinofuranose (3; 200 mg, 0.476 mmol) in THF (2 mL) was dropped into the reaction mixture at 0 °C and the reaction mixture was stirred at room temperature for 1.5 h. The reaction was quenched by adding water, and the aqueous phase was extracted with EtOAc (3 times). The combined organics were washed with brine, dried over anhydrous Na2SO4, and concentrated in vacuo. The residue was purified by flash column chromatography on silica gel (10% EtOAc in n-hexane) to yield 1,3-diene 1 (129 mg, 87%) as a colorless oil. Rf = 0.35 (30% EtOAc in n-hexane). [α]28D + 2.22 (c 1.00, CHCl3). 1H NMR (400 MHz, CDCl3) δ: 7.51–7.28 (10H, m, ArH), 6.14 (1H, dd, J = 17.4, 10.8 Hz, H-5), 5.52 (1H, dd, J = 17.4, 1.4 Hz, H-6cis), 5.21 (1H, dd, J = 10.8, 1.4 Hz, H-6trans), 5.08 (1H, d, J = 8.3 Hz, H-3), 4.84 (1H, d, J = 11.5 Hz, ArCHHOC=C), 4.80 (1H, d, J = 11.5 Hz, ArCHHOC=C), 4.71 (1H, dddd, J = 8.3, 7.6, 3.6, 3.1 Hz, H-2), 4.51 (2H, s, ArCH2OCH2), 3.38 (1H, dd, J = 9.7, 3.6 Hz, H-1a), 3.31 (1H, dd, J = 9.7, 7.6 Hz, H-1b), 2.36 (1H, d, J = 3.1 Hz, OH). 13C{1H} NMR (100 MHz, CDCl3) δ: 154.9 (C-4), 137.9 (C-Ar next to -CH2OCH2-), 137.2 (C-Ar next to -CH2OC=C-), 131.9 (C-5), 128.5 (2C, C-Ar), 128.4 (2C, C-Ar), 128.10 (C-Ar), 128.08 (2C, C-Ar), 127.7 (3C, C-Ar), 117.0 (C-3), 116.1 (C-6), 73.6 (ArCH2OC=C-), 73.5 (C-1), 73.2 (ArCH2OCH2-), 65.9 (C-2). IR (KBr): 3537 (br), 3090, 3063, 3032, 2916, 2860, 1651, 1605 cm−1. HRMS (ESI) m/z: [M + Na]+ calcd for C20H22O3Na, 333.1467; found, 333.1466.

3.5. Cross-Metathesis Product 5

To a solution of 1,3-diene 1 (62.1 mg, 0.200 mmol) and cis-1,4-diacetoxy-2-butene (158 mg, 1.00 mmol) in CH2Cl2 (2.0 mL), a Hoveyda–Grubbs second-generation catalyst (25.1 mg, 0.0400 mmol) was added at room temperature under argon atmosphere, and the mixture was stirred at room temperature for 60 min. The reaction mixture was filtered through a short pad of amino silica gel (up)/flash silica gel (bottom) with CHCl3 and the solvent was removed under reduced pressure. The residue was purified by flash column chromatography on silica gel (30% EtOAc in n-hexane) to give the desired product 5 (49.0 mg, 64%, E/Z = 17:1) as a colorless oil. Rf = 0.19 (30% EtOAc in n-hexane). 1H NMR (500 MHz, CDCl3) δ: 7.38–7.29 (10H, m), 6.11–5.98 (2H, m), 5.11 (1H, d, J = 8.6 Hz), 4.81 (2H, d, J = 2.9 Hz), 4.73–4.68 (1H, m), 4.64 (2H, d, J = 5.1 Hz), 4.51 (2H, s), 3.38 (1H, dd, J = 9.7, 3.5 Hz), 3.31 (1H, dd, J = 9.7, 7.6 Hz), 2.39 (1H, br s), 2.08 (3H, s). 13C{1H} NMR (125 MHz, CDCl3) δ: 170.6, 153.8, 137.8, 137.0, 128.5 (3C), 128.4 (2C), 128.2, 128.0 (2C), 127.7 (3C), 125.4, 117.8, 73.9, 73.4, 73.2, 65.8, 64.0, 20.9. HRMS (ESI) m/z: [M + Na]+ calcd for C23H26O5Na, 405.1678; found, 405.1669.

4. Conclusions

The synthesis of (S,Z)-1,4-bis(benzyloxy)hexa-3,5-dien-2-ol (1) was achieved from 2,3,5-tri-O-benzyl-D-arabinofuranose under Wittig reaction conditions. The structure of 1,3-diene 1 was confirmed by 2D-NMR experiments, including COSY, HSQC, HMBC, and NOESY, as well as optical rotation, FT-IR, and MS spectra. The terminal olefin of 1,3-diene 1 was reactive with cis-1,4-diacetoxy-2-butene under cross-metathesis conditions.

Supplementary Materials

The following supporting information can be downloaded. Figure S1: 1H NMR spectrum of 1,3-diene 1; Figure S2: 13C NMR spectrum of 1,3-diene 1; Figure S3: H-H COSY spectrum of 1,3-diene 1; Figure S4: HSQC spectrum of 1,3-diene 1; Figure S5: HMBC spectrum of 1,3-diene 1; Figure S6: NOESY spectrum of 1,3-diene 1; Figure S7: FT-IR (KBr) spectrum of 1,3-diene 1; and Figure S8: ESI-TOF-MS spectrum of 1,3-diene 1.

Author Contributions

Conceptualization, A.U.; methodology, A.U.; validation, A.I., Y.M. and A.U.; formal analysis, A.I., Y.M., M.T. and A.U.; investigation, A.I., Y.M. and A.U.; writing—original draft preparation, A.U.; writing—review and editing, A.I., Y.M., M.T. and A.U.; visualization, A.I. and A.U.; supervision, A.U.; project administration, A.U.; funding acquisition, A.U. All authors have read and agreed to the published version of the manuscript.

Funding

This research was funded by JSPS KAKENHI, Grant Number JP23K06050 (A.U.).

Data Availability Statement

Data are contained within the article or Supplementary Materials.

Acknowledgments

This work was the result of using research equipment shared in the MEXT Project for promoting the public utilization of advanced research infrastructure (program for supporting the introduction of the new sharing system), Grant Number JPMXS0422500320.

Conflicts of Interest

The authors declare no conflicts of interest.

References

  1. Hanessian, S. Approaches to the total synthesis of natural products using “chiral templates” derived from carbohydrates. Acc. Chem. Res. 1979, 12, 159–165. [Google Scholar] [CrossRef]
  2. Tatsuta, K.; Hosokawa, S. Total syntheses of bioactive natural products from carbohydrates. Sci. Technol. Adv. Mater. 2006, 7, 397–410. [Google Scholar] [CrossRef]
  3. Fleet, G.W.J.; Gough, M.J.; Shing, T.K.M. Enantiospecific total synthesis of pseudomonic acids from arabinose. Tetrahedron Lett. 1983, 24, 3661–3664. [Google Scholar] [CrossRef]
  4. Gadikota, R.R.; Callam, C.S.; Lowary, T.L. Total synthesis of (2S,3S,5S,10S)-6,9-epoxynonadec-18-ene-7,10-diol and formal total synthesis of (+)-trans-kumausyne from D-arabinose. J. Org. Chem. 2001, 66, 9046–9051. [Google Scholar] [CrossRef]
  5. Sharma, G.V.M.; Mouli, C.C. A total synthesis of macrosphelides C and F from L-(+)-arabinose. Tetrahedron Lett. 2003, 44, 8161–8163. [Google Scholar] [CrossRef]
  6. Reitz, A.B.; Jordan, A.D., Jr.; Maryanoff, B.E. Formation of chiral alkoxy dienes in Wittig/Michael reactions of 2,3,5-tri-O-benzyl-D-arabinose. J. Org. Chem. 1987, 52, 4800–4802. [Google Scholar] [CrossRef]
  7. Aucagne, V.; Tatibouët, A.; Rollin, P. Wittig approach to carbohydrate-derived vinyl sulfides, new substrates for regiocontrolled ring-closure reactions. Tetrahedron 2004, 60, 1817–1826. [Google Scholar] [CrossRef]
  8. Boutureira, O.; Matheu, M.I.; Díaz, Y.; Castillón, S. Synthesis of carbohydrate-based vinyl selenides via Wittig-type reactions. Carbohydr. Res. 2007, 342, 736–743. [Google Scholar] [CrossRef] [PubMed]
  9. van Rijssel, E.R.; van Delft, P.; Lodder, G.; Overkleeft, H.S.; van der Marel, G.A.; Filippov, D.V.; Codée, J.D.C. Furanosyl oxocarbenium ion stability and stereoselectivity. Angew. Chem. Int. Ed. 2014, 53, 10381–10385. [Google Scholar] [CrossRef] [PubMed]
  10. Nicotra, F.; Panza, L.; Ronchetti, F.; Russo, G.; Toma, L. Synthesis of C-glycosyl compounds by the wittig iodocyclization procedure. Differences from mercuriocyclization. Carbohydr. Res. 1987, 171, 49–57. [Google Scholar] [CrossRef]
  11. Uenishi, J.; Ueda, A. Synthesis of (+)-sucrose via β-D-psicofuranosylation. TetrahedronAsymmetry 2008, 19, 2210–2217. [Google Scholar] [CrossRef]
  12. Pearson, W.H.; Hines, J.V. Total syntheses of (+)-australine and (−)-7-epialexine. J. Org. Chem. 2000, 65, 5785–5793. [Google Scholar] [CrossRef] [PubMed]
  13. Ueda, A.; Higuchi, M.; Sato, K.; Umeno, T.; Tanaka, M. Design and synthesis of helical N-terminal L-prolyl oligopeptides possessing hydrocarbon stapling. Molecules 2020, 25, 4667. [Google Scholar] [CrossRef] [PubMed]
Figure 1. Structure of (S,Z)-1,4-bis(benzyloxy)hexa-3,5-dien-2-ol (1).
Figure 1. Structure of (S,Z)-1,4-bis(benzyloxy)hexa-3,5-dien-2-ol (1).
Molbank 2024 m1848 g001
Scheme 1. Synthesis of 2,3,5-tri-O-benzyl-d-arabinofuranose (3).
Scheme 1. Synthesis of 2,3,5-tri-O-benzyl-d-arabinofuranose (3).
Molbank 2024 m1848 sch001
Scheme 2. Synthesis of 1,3-diene 1 and Wittig product 4 [12] from 3.
Scheme 2. Synthesis of 1,3-diene 1 and Wittig product 4 [12] from 3.
Molbank 2024 m1848 sch002
Figure 2. Selected 2D-NMR correlations of 1,3-diene 1 in CDCl3: (a) HMBC correlations and (b) NOESY correlations.
Figure 2. Selected 2D-NMR correlations of 1,3-diene 1 in CDCl3: (a) HMBC correlations and (b) NOESY correlations.
Molbank 2024 m1848 g002
Scheme 3. Investigation of the reactivity of 1,3-diene in the cross-metathesis reaction.
Scheme 3. Investigation of the reactivity of 1,3-diene in the cross-metathesis reaction.
Molbank 2024 m1848 sch003
Disclaimer/Publisher’s Note: The statements, opinions and data contained in all publications are solely those of the individual author(s) and contributor(s) and not of MDPI and/or the editor(s). MDPI and/or the editor(s) disclaim responsibility for any injury to people or property resulting from any ideas, methods, instructions or products referred to in the content.

Share and Cite

MDPI and ACS Style

Iyoshi, A.; Miyazaki, Y.; Tanaka, M.; Ueda, A. (S,Z)-1,4-Bis(benzyloxy)hexa-3,5-dien-2-ol. Molbank 2024, 2024, M1848. https://doi.org/10.3390/M1848

AMA Style

Iyoshi A, Miyazaki Y, Tanaka M, Ueda A. (S,Z)-1,4-Bis(benzyloxy)hexa-3,5-dien-2-ol. Molbank. 2024; 2024(3):M1848. https://doi.org/10.3390/M1848

Chicago/Turabian Style

Iyoshi, Akihiro, Yo Miyazaki, Masakazu Tanaka, and Atsushi Ueda. 2024. "(S,Z)-1,4-Bis(benzyloxy)hexa-3,5-dien-2-ol" Molbank 2024, no. 3: M1848. https://doi.org/10.3390/M1848

APA Style

Iyoshi, A., Miyazaki, Y., Tanaka, M., & Ueda, A. (2024). (S,Z)-1,4-Bis(benzyloxy)hexa-3,5-dien-2-ol. Molbank, 2024(3), M1848. https://doi.org/10.3390/M1848

Note that from the first issue of 2016, this journal uses article numbers instead of page numbers. See further details here.

Article Metrics

Back to TopTop