Ferrocenyl-bis-(1-(4-benzyl-5-morpholinooxazol-2-yl)-N-(4-(trifluoromethyl)benzyl)methanamine)
Abstract
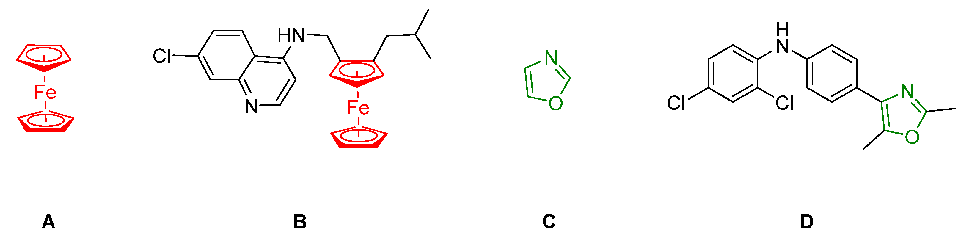
:1. Introduction
2. Results and Discussion
3. Materials and Methods
3.1. General Information, Instrumentation, Software, and Chemicals
3.2. Synthesis and Characterization of the Ferrocenyl-bis-(1-(4-benzyl-5-morpholinooxazol-2-yl)- N-(4-(trifluoromethyl)benzyl)methanamine) (1)
4. Conclusions
Supplementary Materials
Author Contributions
Funding
Institutional Review Board Statement
Informed Consent Statement
Data Availability Statement
Acknowledgments
Conflicts of Interest
References
- Astruc, D. Why is ferrocene so exepcional? Eur. J. Inorg. Chem. 2017, 1, 6–29. [Google Scholar] [CrossRef]
- Patra, M.; Gasser, G. The medicinal chemistry of ferrocene and its derivatives. Nat. Rev. Chem. 2017, 1, 0066. [Google Scholar] [CrossRef]
- Peter, S.; Aderibigbe, B.A. Ferrocene-based compounds with antimalaria/anticancer activity. Molecules 2019, 24, 3904. [Google Scholar] [CrossRef] [PubMed]
- Wani, W.A.; Jameel, E.; Baig, U.; Mumtazuddin, S.; Hun, L.T. Ferroquine and its derivatives: New generation of antimalarial agents. Eur. J. Med. Chem. 2015, 101, 534–551. [Google Scholar] [CrossRef] [PubMed]
- Kakkar, S.; Narasimhan, B. A comprehensive review on biological activities of oxazole derivatives. BMC Chem. 2019, 13, 2–24. [Google Scholar] [CrossRef] [PubMed]
- Singh, R.K.; Bhatt, A.; Chauhan, P.K.; Kant, R. Antimicrobial and antimalarial evaluation of some novel 1,3–oxazole derivatives. Chem. Biol. Interface 2017, 7, 116–123. [Google Scholar]
- Meunier, B. Hybrid molecules with a dual mode of action: Dream or reality? Acc. Chem. Res. 2008, 41, 69–77. [Google Scholar] [CrossRef] [PubMed]
- Peter, S.; Morifi, E.; Aderibigbe, B.A. Hybrid compounds containing a ferrocene scaffold as potential antimalarials. Chem. Select 2021, 6, 1756–1763. [Google Scholar] [CrossRef]
- Purser, S.; Moore, P.R.; Swallow, S.; Gouverneur, V. Fluorine in medical chemistry. Chem. Soc. Rev. 2008, 37, 320–330. [Google Scholar] [CrossRef]
- Sydnes, M.O. One-Pot reactions: A step towards greener chemistry. Curr. Green Chem. 2014, 1, 216–226. [Google Scholar] [CrossRef]
- Ibarra, I.A.; Islas-Jácome, A.; González-Zamora, E. Synthesis of polyheterocycles via multicomponent reactions. Org. Biomol. Chem. 2018, 16, 1402–1418. [Google Scholar] [CrossRef]
- Heravi, M.M.; Mohammadkhani, L. Synthesis of various N-heterocycles using the four-component Ugi reaction. Adv. Heterocycl. Chem. 2020, 131, 351–403. [Google Scholar]
- Flores-Reyes, J.C.; Islas-Jácome, A.; González-Zamora, E. The Ugi three-component reaction and its variants. Org. Chem. Front. 2021, 8, 5460–5515. [Google Scholar] [CrossRef]
- Zamudio-Medina, A.; Garcia-González, M.C.; Gutierrez-Carrillo, A.; González-Zamora, E. Synthesis of cyclic analogues of hexamethylenebis (3-pyridine)amide (HMBPA) in a one-pot process. Tetrahedron Lett. 2015, 56, 627–629. [Google Scholar] [CrossRef]
- Pharande, S.G.; Rentería-Gómez, M.A.; Gámez-Montaño, R. Synthesis of polyheterocyclic dimers containing restricted and constrained peptidomimetics via IMCR-Based Domino/Double CuAAC Click Strategy. Molecules 2020, 25, 5246. [Google Scholar] [CrossRef] [PubMed]
- Sun, X.; Janvier, P.; Zhao, G.; Bienaymé, H.; Zhu, J. A novel multicomponent synthesis of polysubtituted 5-aminooxazole and its new scaffold-generating reaction to pyrrolo[3,4-b]pyridine. Org. Lett. 2001, 3, 877–880. [Google Scholar] [CrossRef] [PubMed]
- Islas-Jácome, A.; González-Zamora, E.; Gámez-Montaño, R. A short microware-assisted synthesis of tetrahydroisoquinolin-pyrrolopyridinones by a triple process: Ugi-3CR-aza Diels-Alder/S-oxidation/Pummerer. Tetrahedron Lett. 2011, 52, 5245–5248. [Google Scholar] [CrossRef]


| Entry | Solvent | Catalyst (5% mol) | Temperature (°C) | Yield a (%) |
|---|---|---|---|---|
| 1 | MeOH | - | rt | Nd |
| 2 | MeOH | - | 50 | Traces |
| 3 | MeOH | Sc(OTf)3 | 50 | Traces |
| 4 | PhMe | Sc(OTf)3 | 50 | 25 |
| 5 | PhMe | Sc(OTf)3 | 60 | 49 |
| 6 b | PhMe | Sc(OTf)3 | 70 | 73 |
| 7 | PhMe | Sc(OTf)3 | 85 | Nd |
| 8 | PhMe | Sc(OTf)3 | 70 | Nd |
Publisher’s Note: MDPI stays neutral with regard to jurisdictional claims in published maps and institutional affiliations. |
© 2022 by the authors. Licensee MDPI, Basel, Switzerland. This article is an open access article distributed under the terms and conditions of the Creative Commons Attribution (CC BY) license (https://creativecommons.org/licenses/by/4.0/).
Share and Cite
Blanco-Carapia, R.E.; Aguilar-Rangel, E.A.; Islas-Jácome, A.; González-Zamora, E. Ferrocenyl-bis-(1-(4-benzyl-5-morpholinooxazol-2-yl)-N-(4-(trifluoromethyl)benzyl)methanamine). Molbank 2022, 2022, M1444. https://doi.org/10.3390/M1444
Blanco-Carapia RE, Aguilar-Rangel EA, Islas-Jácome A, González-Zamora E. Ferrocenyl-bis-(1-(4-benzyl-5-morpholinooxazol-2-yl)-N-(4-(trifluoromethyl)benzyl)methanamine). Molbank. 2022; 2022(3):M1444. https://doi.org/10.3390/M1444
Chicago/Turabian StyleBlanco-Carapia, Roberto E., Enrique A. Aguilar-Rangel, Alejandro Islas-Jácome, and Eduardo González-Zamora. 2022. "Ferrocenyl-bis-(1-(4-benzyl-5-morpholinooxazol-2-yl)-N-(4-(trifluoromethyl)benzyl)methanamine)" Molbank 2022, no. 3: M1444. https://doi.org/10.3390/M1444
APA StyleBlanco-Carapia, R. E., Aguilar-Rangel, E. A., Islas-Jácome, A., & González-Zamora, E. (2022). Ferrocenyl-bis-(1-(4-benzyl-5-morpholinooxazol-2-yl)-N-(4-(trifluoromethyl)benzyl)methanamine). Molbank, 2022(3), M1444. https://doi.org/10.3390/M1444

