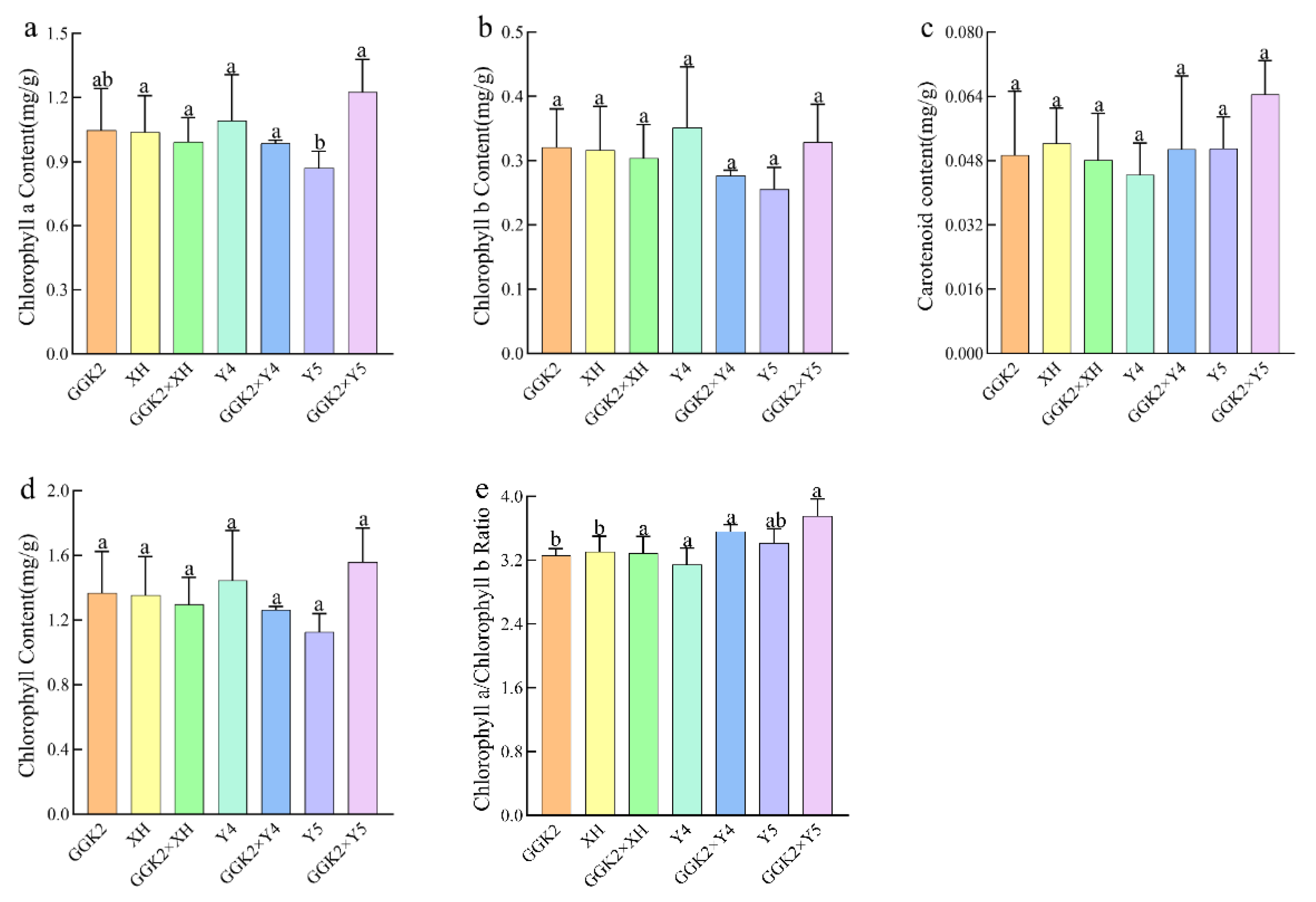
Analysis of Photosynthetic Parameters, Yield, and Quality Correlations in Herbicide-Tolerant Transgenic Hybrid Cotton
Abstract
Share and Cite
He, P.; Liu, M.; Jiang, H.; Zhang, Z.; Bian, Z.; Liu, Y.; Ma, H.; Zhu, J.; Jiao, T.; Liu, R. Analysis of Photosynthetic Parameters, Yield, and Quality Correlations in Herbicide-Tolerant Transgenic Hybrid Cotton. Int. J. Mol. Sci. 2026, 27, 400. https://doi.org/10.3390/ijms27010400
He P, Liu M, Jiang H, Zhang Z, Bian Z, Liu Y, Ma H, Zhu J, Jiao T, Liu R. Analysis of Photosynthetic Parameters, Yield, and Quality Correlations in Herbicide-Tolerant Transgenic Hybrid Cotton. International Journal of Molecular Sciences. 2026; 27(1):400. https://doi.org/10.3390/ijms27010400
Chicago/Turabian StyleHe, Ping, Meiqi Liu, Haoyu Jiang, Zexing Zhang, Zitang Bian, Yongqiang Liu, Honglei Ma, Jianbo Zhu, Tianqi Jiao, and Ruina Liu. 2026. "Analysis of Photosynthetic Parameters, Yield, and Quality Correlations in Herbicide-Tolerant Transgenic Hybrid Cotton" International Journal of Molecular Sciences 27, no. 1: 400. https://doi.org/10.3390/ijms27010400
APA StyleHe, P., Liu, M., Jiang, H., Zhang, Z., Bian, Z., Liu, Y., Ma, H., Zhu, J., Jiao, T., & Liu, R. (2026). Analysis of Photosynthetic Parameters, Yield, and Quality Correlations in Herbicide-Tolerant Transgenic Hybrid Cotton. International Journal of Molecular Sciences, 27(1), 400. https://doi.org/10.3390/ijms27010400
