Blood-Based Inflammatory Markers Are Associated with Treatment Outcomes in Head and Neck Squamous Cell Carcinoma Receiving Anti-PD-1 Therapy: CRP as a Superior Predictive Marker
Abstract
1. Introduction
2. Results
2.1. Cohort Characteristics
2.2. Follow-Up and Treatment Response
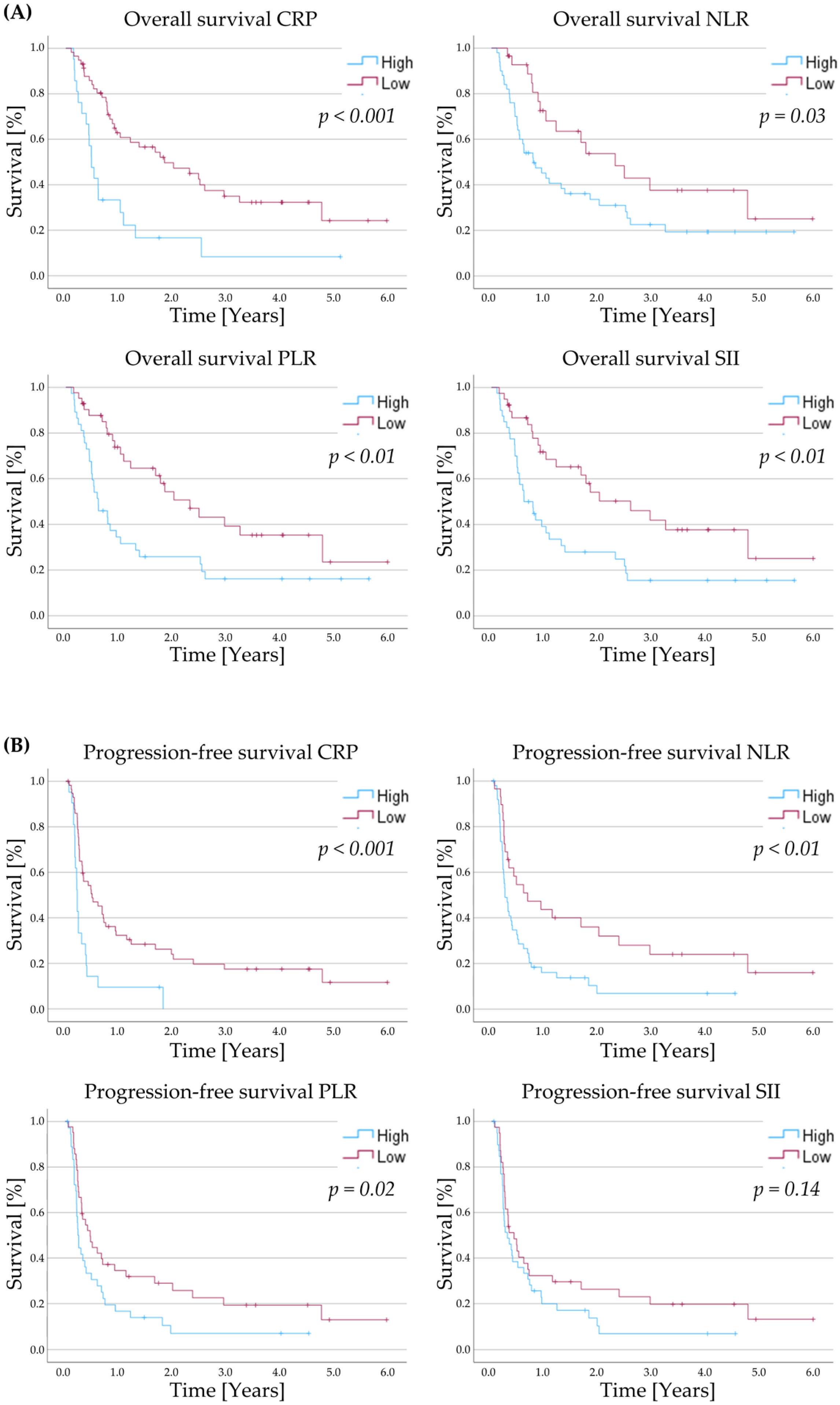
2.3. Survival Analysis
3. Discussion
4. Material and Methods
Supplementary Materials
Author Contributions
Funding
Institutional Review Board Statement
Informed Consent Statement
Data Availability Statement
Conflicts of Interest
Abbreviations
References
- Johnson, D.E.; Burtness, B.; Leemans, C.R.; Lui, V.W.Y.; Bauman, J.E.; Grandis, J.R. Head and neck squamous cell carcinoma. Nat. Rev. Dis. Primers 2020, 6, 92. [Google Scholar] [CrossRef]
- Aboaid, H.; Khalid, T.; Hussain, A.; Myat, Y.M.; Nanda, R.K.; Srinivasmurthy, R.; Nguyen, K.; Jones, D.T.; Bigcas, J.L.; Thein, K.Z. Advances and challenges in immunotherapy in head and neck cancer. Front. Immunol. 2025, 16, 1596583. [Google Scholar] [CrossRef] [PubMed]
- Chow, L.Q.M.; Haddad, R.; Gupta, S.; Mahipal, A.; Mehra, R.; Tahara, M.; Berger, R.; Eder, J.P.; Burtness, B.; Lee, S.H.; et al. Antitumor Activity of Pembrolizumab in Biomarker-Unselected Patients With Recurrent and/or Metastatic Head and Neck Squamous Cell Carcinoma: Results From the Phase Ib KEYNOTE-012 Expansion Cohort. J. Clin. Oncol. 2016, 34, 3838–3845. [Google Scholar] [CrossRef] [PubMed]
- Le, D.T.; Uram, J.N.; Wang, H.; Bartlett, B.R.; Kemberling, H.; Eyring, A.D.; Skora, A.D.; Luber, B.S.; Azad, N.S.; Laheru, D.; et al. PD-1 Blockade in Tumors with Mismatch-Repair Deficiency. N. Engl. J. Med. 2015, 372, 2509–2520. [Google Scholar] [CrossRef] [PubMed]
- Marabelle, A.; Fakih, M.; Lopez, J.; Shah, M.; Shapira-Frommer, R.; Nakagawa, K.; Chung, H.C.; Kindler, H.L.; Lopez-Martin, J.A.; Miller, W.H., Jr.; et al. Association of tumour mutational burden with outcomes in patients with advanced solid tumours treated with pembrolizumab: Prospective biomarker analysis of the multicohort, open-label, phase 2 KEYNOTE-158 study. Lancet Oncol. 2020, 21, 1353–1365. [Google Scholar] [CrossRef]
- Chen, S.; Yang, Y.; He, S.; Lian, M.; Wang, R.; Fang, J. Review of biomarkers for response to immunotherapy in HNSCC microenvironment. Front. Oncol. 2023, 13, 1037884. [Google Scholar] [CrossRef]
- Menzel, A.; Samouda, H.; Dohet, F.; Loap, S.; Ellulu, M.S.; Bohn, T. Common and Novel Markers for Measuring Inflammation and Oxidative Stress Ex Vivo in Research and Clinical Practice-Which to Use Regarding Disease Outcomes? Antioxidants 2021, 10, 414. [Google Scholar] [CrossRef]
- Nost, T.H.; Alcala, K.; Urbarova, I.; Byrne, K.S.; Guida, F.; Sandanger, T.M.; Johansson, M. Systemic inflammation markers and cancer incidence in the UK Biobank. Eur. J. Epidemiol. 2021, 36, 841–848. [Google Scholar] [CrossRef]
- Charles, K.A.; Harris, B.D.; Haddad, C.R.; Clarke, S.J.; Guminski, A.; Stevens, M.; Dodds, T.; Gill, A.J.; Back, M.; Veivers, D.; et al. Systemic inflammation is an independent predictive marker of clinical outcomes in mucosal squamous cell carcinoma of the head and neck in oropharyngeal and non-oropharyngeal patients. BMC Cancer 2016, 16, 124. [Google Scholar] [CrossRef]
- Zhou, S.; Yuan, H.; Wang, J.; Hu, X.; Liu, F.; Zhang, Y.; Jiang, B.; Zhang, W. Prognostic value of systemic inflammatory marker in patients with head and neck squamous cell carcinoma undergoing surgical resection. Future Oncol. 2020, 16, 559–571. [Google Scholar] [CrossRef]
- Salim, D.K.; Mutlu, H.; Eryilmaz, M.K.; Salim, O.; Musri, F.Y.; Tural, D.; Gunduz, S.; Coskun, H.S. Neutrophil to lymphocyte ratio is an independent prognostic factor in patients with recurrent or metastatic head and neck squamous cell cancer. Mol. Clin. Oncol. 2015, 3, 839–842. [Google Scholar] [CrossRef] [PubMed]
- Mariani, P.; Russo, D.; Maisto, M.; Troiano, G.; Caponio, V.C.A.; Annunziata, M.; Laino, L. Pre-treatment neutrophil-to-lymphocyte ratio is an independent prognostic factor in head and neck squamous cell carcinoma: Meta-analysis and trial sequential analysis. J. Oral. Pathol. Med. 2022, 51, 39–51. [Google Scholar] [CrossRef] [PubMed]
- Yang, L.; Huang, Y.; Zhou, L.; Dai, Y.; Hu, G. High pretreatment neutrophil-to-lymphocyte ratio as a predictor of poor survival prognosis in head and neck squamous cell carcinoma: Systematic review and meta-analysis. Head. Neck 2019, 41, 1525–1535. [Google Scholar] [CrossRef] [PubMed]
- Chen, Y.; Cong, R.; Ji, C.; Ruan, W. The prognostic role of C-reactive protein in patients with head and neck squamous cell carcinoma: A meta-analysis. Cancer Med. 2020, 9, 9541–9553. [Google Scholar] [CrossRef]
- Zhang, Y.; Gu, D. Prognostic Impact of Serum CRP Level in Head and Neck Squamous Cell Carcinoma. Front. Oncol. 2022, 12, 889844. [Google Scholar] [CrossRef]
- Haas, M.; Lein, A.; Fuereder, T.; Schnoell, J.; Brkic, F.F.; Liu, D.T.; Kadletz-Wanke, L.; Heiduschka, G.; Jank, B.J. Early on-treatment C-reactive protein and its kinetics predict survival and response in recurrent and/or metastatic head and neck cancer patients receiving first-line pembrolizumab. Invest. New Drugs 2023, 41, 727–736. [Google Scholar] [CrossRef]
- Kasahara, Y.; Saijo, K.; Ueta, R.; Numakura, R.; Sasaki, K.; Yoshida, Y.; Taniguchi, S.; Ouchi, K.; Komine, K.; Imai, H.; et al. Pretreatment neutrophil-lymphocyte ratio as a prognostic factor in recurrent/metastatic head and neck cancer treated with pembrolizumab. Sci. Rep. 2024, 14, 28255. [Google Scholar] [CrossRef]
- Tachinami, H.; Tomihara, K.; Yamada, S.I.; Ikeda, A.; Imaue, S.; Hirai, H.; Nakai, H.; Sonoda, T.; Kurohara, K.; Yoshioka, Y.; et al. Neutrophil-to-lymphocyte ratio as an early marker of outcomes in patients with recurrent oral squamous cell carcinoma treated with nivolumab. Br. J. Oral. Maxillofac. Surg. 2023, 61, 320–326. [Google Scholar] [CrossRef]
- Matsumura, S.; Kaira, K.; Kuba, K.; Inoue, H.; Hamada, M.; Yamazaki, T.; Nakahira, M.; Ebihara, Y. Potential of Nutritional Markers as Predictors After Immunotherapy in Advanced Head and Neck Squamous Cell Carcinoma. Anticancer. Res. 2024, 44, 4049–4056. [Google Scholar] [CrossRef]
- Hagiwara, K.; Matsuki, T.; Okada, T.; Fushimi, C.; Kondo, T.; Takahashi, H.; Okamoto, I.; Tokashiki, K.; Hanyu, K.; Kishida, T.; et al. Role of Hematological Markers in Recurrent/Metastatic Head and Neck Squamous Cell Carcinoma Treated with Pembrolizumab. Anticancer Res. 2024, 44, 4057–4072. [Google Scholar] [CrossRef]
- Takenaka, Y.; Oya, R.; Takemoto, N.; Inohara, H. Neutrophil-to-lymphocyte ratio as a prognostic marker for head and neck squamous cell carcinoma treated with immune checkpoint inhibitors: Meta-analysis. Head. Neck 2022, 44, 1237–1245. [Google Scholar] [CrossRef]
- Barth, D.A.; Moik, F.; Steinlechner, S.; Posch, F.; Mayer, M.C.; Sandner, A.M.; Berton, F.; Schlintl, V.; Koch, L.; John, N.; et al. Early kinetics of C reactive protein for cancer-agnostic prediction of therapy response and mortality in patients treated with immune checkpoint inhibitors: A multicenter cohort study. J. Immunother. Cancer 2023, 11, e007765. [Google Scholar] [CrossRef] [PubMed]
- Han, C.L.; Meng, G.X.; Ding, Z.N.; Dong, Z.R.; Chen, Z.Q.; Hong, J.G.; Yan, L.J.; Liu, H.; Tian, B.W.; Yang, L.S.; et al. The Predictive Potential of the Baseline C-Reactive Protein Levels for the Efficiency of Immune Checkpoint Inhibitors in Cancer Patients: A Systematic Review and Meta-Analysis. Front. Immunol. 2022, 13, 827788. [Google Scholar] [CrossRef] [PubMed]
- Riedl, J.M.; Barth, D.A.; Brueckl, W.M.; Zeitler, G.; Foris, V.; Mollnar, S.; Stotz, M.; Rossmann, C.H.; Terbuch, A.; Balic, M.; et al. C-Reactive Protein (CRP) Levels in Immune Checkpoint Inhibitor Response and Progression in Advanced Non-Small Cell Lung Cancer: A Bi-Center Study. Cancers 2020, 12, 2319. [Google Scholar] [CrossRef] [PubMed]
- Roussel, E.; Kinget, L.; Verbiest, A.; Debruyne, P.R.; Baldewijns, M.; Van Poppel, H.; Albersen, M.; Beuselinck, B. C-reactive protein and neutrophil-lymphocyte ratio are prognostic in metastatic clear-cell renal cell carcinoma patients treated with nivolumab. Urol. Oncol. 2021, 39, 239.e17-239.e25. [Google Scholar] [CrossRef]
- Klumper, N.; Saal, J.; Berner, F.; Lichtensteiger, C.; Wyss, N.; Heine, A.; Bauernfeind, F.G.; Ellinger, J.; Brossart, P.; Diem, S.; et al. C reactive protein flare predicts response to checkpoint inhibitor treatment in non-small cell lung cancer. J. Immunother. Cancer 2022, 10, e004024. [Google Scholar] [CrossRef]
- Acar, C.; Yuksel, H.C.; Sahin, G.; Acar, F.P.; Celebi, G.; Gunenc, D.; Karaca, B. C-reactive protein kinetics as prognostic biomarkers in advanced melanoma treated with immune checkpoint inhibitors. Melanoma Res. 2025, 35, 232–241. [Google Scholar] [CrossRef]
- Fukuda, S.; Saito, K.; Yasuda, Y.; Kijima, T.; Yoshida, S.; Yokoyama, M.; Ishioka, J.; Matsuoka, Y.; Kageyama, Y.; Fujii, Y. Impact of C-reactive protein flare-response on oncological outcomes in patients with metastatic renal cell carcinoma treated with nivolumab. J. Immunother. Cancer 2021, 9, e001564. [Google Scholar] [CrossRef]
- Yang, Z.; Zhang, D.; Zeng, H.; Fu, Y.; Hu, Z.; Pan, Y.; Chen, J.; Wang, J.; Zhang, Y.; Zhou, Z.; et al. Inflammation-Based Scores Predict Responses to PD-1 Inhibitor Treatment in Intrahepatic Cholangiocarcinoma. J. Inflamm. Res. 2022, 15, 5721–5731. [Google Scholar] [CrossRef]
- Peng, L.; Wang, Y.; Liu, F.; Qiu, X.; Zhang, X.; Fang, C.; Qian, X.; Li, Y. Peripheral blood markers predictive of outcome and immune-related adverse events in advanced non-small cell lung cancer treated with PD-1 inhibitors. Cancer Immunol. Immunother. 2020, 69, 1813–1822. [Google Scholar] [CrossRef]
- Diem, S.; Schmid, S.; Krapf, M.; Flatz, L.; Born, D.; Jochum, W.; Templeton, A.J.; Fruh, M. Neutrophil-to-Lymphocyte ratio (NLR) and Platelet-to-Lymphocyte ratio (PLR) as prognostic markers in patients with non-small cell lung cancer (NSCLC) treated with nivolumab. Lung Cancer 2017, 111, 176–181. [Google Scholar] [CrossRef] [PubMed]
- Nardone, V.; Giannicola, R.; Bianco, G.; Giannarelli, D.; Tini, P.; Pastina, P.; Falzea, A.C.; Macheda, S.; Caraglia, M.; Luce, A.; et al. Inflammatory Markers and Procalcitonin Predict the Outcome of Metastatic Non-Small-Cell-Lung-Cancer Patients Receiving PD-1/PD-L1 Immune-Checkpoint Blockade. Front. Oncol. 2021, 11, 684110. [Google Scholar] [CrossRef] [PubMed]
- Burtness, B.; Harrington, K.J.; Greil, R.; Soulieres, D.; Tahara, M.; de Castro, G., Jr.; Psyrri, A.; Baste, N.; Neupane, P.; Bratland, A.; et al. Pembrolizumab alone or with chemotherapy versus cetuximab with chemotherapy for recurrent or metastatic squamous cell carcinoma of the head and neck (KEYNOTE-048): A randomised, open-label, phase 3 study. Lancet 2019, 394, 1915–1928, Erratum in Lancet 2020, 395, 272. [Google Scholar] [CrossRef]
- Fang, L.; Liu, K.; Liu, C.; Wang, X.; Ma, W.; Xu, W.; Wu, J.; Sun, C. Tumor accomplice: T cell exhaustion induced by chronic inflammation. Front. Immunol. 2022, 13, 979116. [Google Scholar] [CrossRef] [PubMed]
- Saeidi, A.; Zandi, K.; Cheok, Y.Y.; Saeidi, H.; Wong, W.F.; Lee, C.Y.Q.; Cheong, H.C.; Yong, Y.K.; Larsson, M.; Shankar, E.M. T-Cell Exhaustion in Chronic Infections: Reversing the State of Exhaustion and Reinvigorating Optimal Protective Immune Responses. Front. Immunol. 2018, 9, 2569. [Google Scholar] [CrossRef]
- Jubel, J.M.; Barbati, Z.R.; Burger, C.; Wirtz, D.C.; Schildberg, F.A. The Role of PD-1 in Acute and Chronic Infection. Front. Immunol. 2020, 11, 487. [Google Scholar] [CrossRef]

| Response | CRP ≤ 2.95 | CRP > 2.95 | p-Value | NLR ≤ 5.9 | NLR > 5.9 | p-Value | PLR ≤ 376 | PLR > 376 | p-Value | SII ≤ 1816 | SII > 1816 | p-Value |
|---|---|---|---|---|---|---|---|---|---|---|---|---|
| No. patients | 58 | 21 | 29 | 50 | 43 | 36 | 39 | 40 | ||||
| Response | ||||||||||||
| CR | 8 | 1 | 5 | 4 | 7 | 2 | 5 | 4 | ||||
| PR | 14 | 3 | 6 | 11 | 8 | 9 | 7 | 10 | ||||
| SD | 7 | 0 | 5 | 2 | 6 | 1 | 5 | 2 | ||||
| PD | 29 | 17 | 13 | 33 | 22 | 24 | 22 | 24 | ||||
| ORR | 0.18 | 0.47 | 0.68 | 0.69 | ||||||||
| CR + PR | 22 | 4 | 11 | 15 | 15 | 11 | 12 | 14 | ||||
| SD + PD | 37 | 17 | 18 | 35 | 28 | 25 | 27 | 26 | ||||
| DCR | 0.02 | 0.07 | 0.16 | 0.75 | ||||||||
| CR + PR + SD | 29 | 4 | 16 | 17 | 21 | 12 | 17 | 16 | ||||
| PD | 30 | 17 | 13 | 33 | 22 | 24 | 22 | 24 |
| Variables | Univariable Analysis | Multivariable Analysis | ||
|---|---|---|---|---|
| HR (95% CI) | p-Value | HR (95% CI) | p-Value | |
| Gender | 0.9 (0.38–2.11) | 0.8 | ||
| Age | 1.01 (0.98–1.03) | 0.56 | ||
| Drug | 1.04 (0.6–1.8) | 0.89 | ||
| irAE | 0.71 (0.37–1.36) | 0.3 | ||
| Smoking | 1.45 (0.76–2.77) | 0.26 | ||
| CPS | 0.49 (0.26–0.95) | 0.03 | 0.34 (0.17–0.7) | <0.01 |
| CRP | 2.73 (1.52–4.89) | <0.001 | 2.2 (1.03–4.73) | 0.04 |
| NLR | 1.9 (1.04–3.47) | 0.04 | 1.1 (0.38–2.9) | 0.53 |
| PLR | 2.54 (1.46–4.43) | <0.01 | 2.7 (1.0–7.21) | 0.045 |
| SII | 2.21 (1.26–389) | <0.01 | 1.22 (0.46–3.22) | 0.7 |
| Variables | Univariable Analysis | Multivariable Analysis | ||
|---|---|---|---|---|
| HR (95% CI) | p-Value | HR (95% CI) | p-Value | |
| Gender | 1.04 (0.5–2.2) | 0.92 | ||
| Age | 1.0 (0.97–1.0) | 0.8 | ||
| Drug | 0.89 (0.55–1.47) | 0.66 | ||
| irAE | 0.54 (0.29–0.99) | 0.04 | 0.69 (0.36–1.33) | 0.4 |
| Smoking | 1.18 (0.68–2.06) | 0.55 | ||
| CPS | 0.49 (0.27.0,87) | 0.01 | 0.4 (0.22–0.76) | <0.01 |
| CRP | 2.55 (1.48–4.41) | <0.001 | 2.0 (1.11–3.7) | 0.03 |
| NLR | 2.05 (1.2–3.49) | <0.01 | 1.18 (0.55–2.59) | 0.38 |
| PLR | 1.78 (1.09–2.92) | 0.02 | 1.47 (0.76–2.85) | 0.55 |
| SII | 1.44 (0.88–2.35) | 0.15 | ||
Disclaimer/Publisher’s Note: The statements, opinions and data contained in all publications are solely those of the individual author(s) and contributor(s) and not of MDPI and/or the editor(s). MDPI and/or the editor(s) disclaim responsibility for any injury to people or property resulting from any ideas, methods, instructions or products referred to in the content. |
© 2025 by the authors. Licensee MDPI, Basel, Switzerland. This article is an open access article distributed under the terms and conditions of the Creative Commons Attribution (CC BY) license (https://creativecommons.org/licenses/by/4.0/).
Share and Cite
Stöth, M.; Müller-Diesing, F.; Mack, P.; Ackermann, L.; Metz, C.; Grunz, J.-P.; Hackenberg, S.; Goncalves, M.; Gehrke, T.; Meyer, T.J.; et al. Blood-Based Inflammatory Markers Are Associated with Treatment Outcomes in Head and Neck Squamous Cell Carcinoma Receiving Anti-PD-1 Therapy: CRP as a Superior Predictive Marker. Int. J. Mol. Sci. 2025, 26, 9154. https://doi.org/10.3390/ijms26189154
Stöth M, Müller-Diesing F, Mack P, Ackermann L, Metz C, Grunz J-P, Hackenberg S, Goncalves M, Gehrke T, Meyer TJ, et al. Blood-Based Inflammatory Markers Are Associated with Treatment Outcomes in Head and Neck Squamous Cell Carcinoma Receiving Anti-PD-1 Therapy: CRP as a Superior Predictive Marker. International Journal of Molecular Sciences. 2025; 26(18):9154. https://doi.org/10.3390/ijms26189154
Chicago/Turabian StyleStöth, Manuel, Flurin Müller-Diesing, Patricia Mack, Laura Ackermann, Corona Metz, Jan-Peter Grunz, Stephan Hackenberg, Miguel Goncalves, Thomas Gehrke, Till Jasper Meyer, and et al. 2025. "Blood-Based Inflammatory Markers Are Associated with Treatment Outcomes in Head and Neck Squamous Cell Carcinoma Receiving Anti-PD-1 Therapy: CRP as a Superior Predictive Marker" International Journal of Molecular Sciences 26, no. 18: 9154. https://doi.org/10.3390/ijms26189154
APA StyleStöth, M., Müller-Diesing, F., Mack, P., Ackermann, L., Metz, C., Grunz, J.-P., Hackenberg, S., Goncalves, M., Gehrke, T., Meyer, T. J., & Scherzad, A. (2025). Blood-Based Inflammatory Markers Are Associated with Treatment Outcomes in Head and Neck Squamous Cell Carcinoma Receiving Anti-PD-1 Therapy: CRP as a Superior Predictive Marker. International Journal of Molecular Sciences, 26(18), 9154. https://doi.org/10.3390/ijms26189154

