Recent Advances in the Search for Effective Anti-Alzheimer’s Drugs
Abstract
1. Introduction
1.1. Pathogenesis of Alzheimer’s Disease
1.2. Current Treatments for Alzheimer’s Disease
1.3. Multi-Target-Directed Ligands in Alzheimer’s Disease

| MTDL Group | MTDL Subgroup | Fragment Responsible for Main Biological Activity | Main Target | Other Targets |
|---|---|---|---|---|
| Multifunctional cholinesterase inhibitors | Donepezil-based cholinesterase inhibitors | ![]() Benzylpiperidine (or its modification) [34,35,36,37,38,39,40,41,42,43,44,45,46,47] | AChE/BChE | Aβ aggregates [35,36,37,38,39,40,41,42,44,46], tau protein aggregates [38,39], AD-associated depression (SERT, 5-HT1AR) [34], metal dyshomeostasis (transition metals) [38,39,40,41,44,47], BACE1 [39], MAO-B [43], MAO-A [43], 5-HT6R [42], neuroinflammation (ROS [34,37,38,39,40,44,45,47], FAAH [36], UPS degradation pathway [41], HDAC [44], NRF2 [37,45], calcium channels [45]) |
| Tacrine-based cholinesterase inhibitors | ![]() Tacrine (or its modification) [48,49,50,51,52,53,54] (Figure 4) | Aβ aggregates [50,52,53], tau protein aggregates [49,52], GSK-3β [49], DYRK1α [49], MAO-B [51,53], BACE1 [53,54], neuroinflammation (1L-1β [48], COX-2 [48], iNOS [48], ROS [49], TNF-κB [48]), metal dyshomeostasis (Fe2+, Cu2+, Zn2+) [50,53] | ||
| Carbamate-based cholinesterase inhibitors | ![]() Carbamate [55,56] | Aβ aggregates [55,56], tau protein aggregates [56], MAO-B [56], APP [56], neuroinflammation (ROS [55], IL-6 [55], TNFα [55], iNOS [55], IL-4 [55]) | ||
| Cholinesterase inhibitors with diverse scaffolds | ![]() Tertiary amine [57] ![]() Sulfonamide [58] ![]() 1-(2-aminobenzyl)pyrrolidin-3-ol [59] ![]() α-aminophosphonate [60] ![]() Quinazolin-4-one [60] ![]() Benzylamine [61] ![]() 2,2-diphenylacetamide [61] | Aβ aggregates [57,59,61], metal dyshomeostasis (Cu2+) [57], BACE1 [61], GATs [61], neuroinflammation (DNA oxidation [60], calcium channel [58], NRF2 [58], TNFα [57], COX2 [57], iNOS [57], NO [57], IL-1β [57], ROS [58,59,60]) | ||
| Multifunctional H3 receptor inverse agonists and antagonists | ![]() Blue—tertiary amine; Red—linear aliphatic ether linker; Green—aromatic, lipophilic, and bulky scaffold [62,63,64,65] | H3 receptor | AChE [62,63,64], BChE [62,63,64], MAO-B [62,63,64], Aβ aggregates [65], metal dyshomeostasis (Fe2+ and Cu2+) [65], neuroinflammation (ROS) [65] | |
| Multifunctional tau and/or beta-amyloid aggregation inhibitors | ![]() HBG—functional groups able to form hydrogen bonds; Blue—flat, aromatic, bulky, and hydrophobic core [66,67,68,69,70,71,72] | Aβ and tau aggregates | AChE [66,67,68], BChE [66], MAO-B [68], α-synuclein aggregates [70], GSK3β [71], DYRK1A [71], QC [72] | |
| Multifunctional MAO-B inhibitors | ![]() N-propargyl amine [73] ![]() Coumarin [74] | MAO-B | Aβ aggregates [73], metal dyshomeostasis (Fe3+) [74], neuroinflammation (ROS) [74] | |
| Multifunctional metal chelators and reactive oxygen species scavengers | ![]() Hydroxyphenylbenzimidazole [75] ![]() Substituted 2-aminocyclohex-2-ene-1,4-dione [76] ![]() Carbamate [77] ![]() Methoxy group [77] | Metal ions and ROS | MAO-A [75], MAO-B [75], Aβ aggregation [75,76,77], neuroinflammation (IL-6 and TNFα) [76] | |
| Multifunctional BACE1 inhibitors | ![]() 2-styrylthiazole [78] ![]() Benzylpiperazine [79] ![]() 5,6-diphenyl-2,3-dihydro-1,2,4-triazine [80] | BACE1 | AChE [78,79,80], BChE [79], Aβ aggregates [78,79,80], DYRK1A [80] | |
| Multifunctional NMDAR blockers | ![]() Phenothiazine [81] ![]() Methylene blue derivative [81,82] ![]() β-carboline (or its modification) [82] | NMDAR | AChE [81,82], BChE [81], tau protein aggregates [82] |
2. Multifunctional Cholinesterase Inhibitors
2.1. Donepezil-Based Multifunctional Cholinesterase Inhibitors















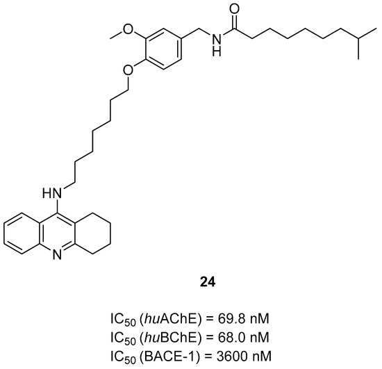
2.2. Tacrine-Based Multifunctional Cholinesterase Inhibitors








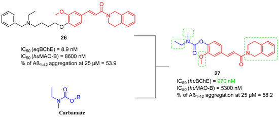
2.3. Carbamate-Based Multifunctional Cholinesterase Inhibitors


2.4. Multifunctional Cholinesterase Inhibitors with Diverse Scaffolds







3. Multifunctional H3 Receptor Inverse Agonists and Antagonists




4. Multifunctional Tau and/or Beta-Amyloid Aggregation Inhibitors







5. Multifunctional MAO-B Inhibitors


6. Multifunctional Metal Chelators and Reactive Oxygen Species Scavengers



7. Multifunctional BACE1 Inhibitors



8. Multifunctional NMDAR Blockers


9. Summary
Author Contributions
Funding
Institutional Review Board Statement
Informed Consent Statement
Data Availability Statement
Conflicts of Interest
References
- World Health Organisation. Dementia. 2023. Available online: https://www.who.int/news-room/fact-sheets/detail/dementia (accessed on 30 December 2023).
- Sheppard, O.; Coleman, M. Alzheimer’s Disease: Etiology, Neuropathology and Pathogenesis. In Alzheimer’s Disease: Drug Discovery; Exon Publications: Brisbane, QLD, Australia, 2020; pp. 1–22. [Google Scholar] [CrossRef]
- Alarcón-Espósito, J.; Mallea, M.; Rodríguez-Lavado, J. From Hybrids to New Scaffolds: The Latest Medicinal Chemistry Goals in Multi-target Directed Ligands for Alzheimer’s Disease. Curr. Neuropharmacol. 2021, 19, 832–867. [Google Scholar] [CrossRef]
- Sun, X.T.; Jin, L.; Ling, P.X. Review of drugs for Alzheimer’s disease. Drug Discov. Ther. 2012, 6, 285–290. [Google Scholar] [CrossRef]
- Tiwari, S.; Atluri, V.; Kaushik, A.; Yndart, A.; Nair, M. Alzheimer’s disease: Pathogenesis, diagnostics, and therapeutics. Int. J. Nanomedicine 2019, 14, 5541–5554. [Google Scholar] [CrossRef]
- Chen, Z.-R.; Huang, J.-B.; Yang, S.-L.; Hong, F.-F. Role of Cholinergic Signaling in Alzheimer’s Disease. Molecules 2022, 27, 1816. [Google Scholar] [CrossRef]
- Zhang, Z.; Guo, J.; Cheng, M.; Zhou, W.; Wan, Y.; Wang, R.; Fang, Y.; Jin, Y.; Liu, J.; Xie, S.-S. Design, synthesis, and biological evaluation of novel xanthone-alkylbenzylamine hybrids as multifunctional agents for the treatment of Alzheimer’s disease. Eur. J. Med. Chem. 2021, 213, 113154. [Google Scholar] [CrossRef]
- Majdi, A.; Sadigh-Eteghad, S.; Aghsan, S.R.; Farajdokht, F.; Vatandoust, S.M.; Namvaran, A.; Mahmoudi, J. Amyloid-β, tau, and the cholinergic system in Alzheimer’s disease: Seeking direction in a tangle of clues. Rev. Neurosci. 2020, 31, 391–413. [Google Scholar] [CrossRef]
- Behl, T.; Kaur, D.; Sehgal, A.; Singh, S.; Sharma, N.; Zengin, G.; Andronie-Cioara, F.L.; Toma, M.M.; Bungau, S.; Bumbu, A.G. Role of Monoamine Oxidase Activity in Alzheimer’s Disease: An Insight into the Therapeutic Potential of Inhibitors. Molecules 2021, 26, 3724. [Google Scholar] [CrossRef]
- Zhang, Y.; Li, P.; Feng, J.; Wu, M. Dysfunction of NMDA receptors in Alzheimer’s disease. Neurol. Sci. 2016, 37, 1039–1047. [Google Scholar] [CrossRef]
- Liu, J.; Chang, L.; Song, Y.; Li, H.; Wu, Y. The Role of NMDA Receptors in Alzheimer’s Disease. Front. Neurosci. 2019, 13, 43. [Google Scholar] [CrossRef]
- Bonda, D.J.; Lee, H.; Blair, J.A.; Zhu, X.; Perry, G.; Smith, M.A. Role of metal dyshomeostasis in Alzheimer’s disease. Metallomics 2011, 3, 267. [Google Scholar] [CrossRef]
- Wang, L.; Yin, Y.-L.; Liu, X.-Z.; Shen, P.; Zheng, Y.-G.; Lan, X.-R.; Lu, C.-B.; Wang, J.-Z. Current understanding of metal ions in the pathogenesis of Alzheimer’s disease. Transl. Neurodegener. 2020, 9, 10. [Google Scholar] [CrossRef] [PubMed]
- Vassar, R.; Kovacs, D.M.; Yan, R.; Wong, P.C. The β-Secretase Enzyme BACE in Health and Alzheimer’s Disease: Regulation, Cell Biology, Function, and Therapeutic Potential. J. Neuroscience 2009, 29, 12787–12794. [Google Scholar] [CrossRef]
- Sharma, K. Cholinesterase inhibitors as Alzheimer’s therapeutics. Mol. Med. Rep. 2019, 20, 1479–1487. [Google Scholar] [CrossRef]
- Grossberg, G.T. Cholinesterase inhibitors for the treatment of Alzheimer’s disease:: Getting on and staying on. Curr. Ther. Res. Clin. Exp. 2003, 64, 216–235. [Google Scholar] [CrossRef]
- Li, Y.; Peng, P.; Tang, L.; Hu, Y.; Hu, Y.; Sheng, R. Design, synthesis and evaluation of rivastigmine and curcumin hybrids as site-activated multitarget-directed ligands for Alzheimer’s disease therapy. Bioorganic Med. Chem. 2014, 22, 4717–4725. [Google Scholar] [CrossRef] [PubMed]
- How Is Alzheimer’s Disease Treated? National Institute on Aging. 2023. Available online: https://www.nia.nih.gov/health/alzheimers-treatment/how-alzheimers-disease-treated (accessed on 30 December 2023).
- Chen, H.V.; Lipton, S.A. The chemical biology of clinically tolerated NMDA receptor antagonists. J. Neurochem. 2006, 97, 1611–1626. [Google Scholar] [CrossRef]
- Guo, J.; Wang, Z.; Liu, R.; Huang, Y.; Zhang, N.; Zhang, R. Memantine, Donepezil, or Combination Therapy—What is the best therapy for Alzheimer’s Disease? A Network Meta-Analysis. Brain Behav. 2020, 10, e01831. [Google Scholar] [CrossRef]
- Turcu, A.L.; Companys-Alemany, J.; Phillips, M.B.; Patel, D.S.; Griñán-Ferré, C.; Loza, M.I.; Brea, J.M.; Pérez, B.; Soto, D.; Sureda, F.X.; et al. Design, synthesis, and in vitro and in vivo characterization of new memantine analogs for Alzheimer’s disease. Eur. J. Med. Chem. 2022, 236, 114354. [Google Scholar] [CrossRef]
- Galimberti, D.; Scarpini, E. Disease-modifying treatments for Alzheimer’s disease. Ther. Adv. Neurol. Disord. 2011, 4, 203–216. [Google Scholar] [CrossRef]
- Qiao, Y.; Chi, Y.; Zhang, Q.; Ma, Y. Safety and efficacy of lecanemab for Alzheimer’s disease: A systematic review and meta-analysis of randomized clinical trials. Front. Aging Neurosci. 2023, 15, 1169499. [Google Scholar] [CrossRef]
- Beshir, S.A.; Aadithsoorya, A.M.; Parveen, A.; Goh, S.S.L.; Hussain, N.; Menon, V.B. Aducanumab Therapy to Treat Alzheimer’s Disease: A Narrative Review. Int. J. Alzheimers Dis. 2022, 2022, 9343514. [Google Scholar] [CrossRef]
- Benek, O.; Korabecny, J.; Soukup, O. A Perspective on Multi-target Drugs for Alzheimer’s Disease. Trends Pharmacol. Sci. 2020, 41, 434–445. [Google Scholar] [CrossRef]
- Ramsay, R.R.; Popovic-Nikolic, M.R.; Nikolic, K.; Uliassi, E.; Bolognesi, M.L. A perspective on multi-target drug discovery and design for complex diseases. Clin. Transl. Med. 2018, 7, e3. [Google Scholar] [CrossRef]
- Wenzel, T.J.; Klegeris, A. Novel multi-target directed ligand-based strategies for reducing neuroinflammation in Alzheimer’s disease. Life Sci. 2018, 207, 314–322. [Google Scholar] [CrossRef]
- Morphy, R.; Rankovic, Z. Designed Multiple Ligands. An Emerging Drug Discovery Paradigm. J. Med. Chem. 2005, 48, 6523–6543. [Google Scholar] [CrossRef] [PubMed]
- Proschak, E.; Stark, H.; Merk, D. Polypharmacology by Design: A Medicinal Chemist’s Perspective on Multitargeting Compounds. J. Med. Chem. 2019, 62, 420–444. [Google Scholar] [CrossRef]
- Lin, H.-H.; Zhang, L.-L.; Yan, R.; Lu, J.-J.; Hu, Y. Network Analysis of Drug–target Interactions: A Study on FDA-approved New Molecular Entities Between 2000 to 2015. Sci Rep 2017, 7, 12230. [Google Scholar] [CrossRef]
- Bolognesi, M.L. Polypharmacology in a Single Drug: Multitarget Drugs. Curr. Med. Chem. 2013, 20, 1639–1645. [Google Scholar] [CrossRef]
- Zagórska, A.; Jaromin, A. Perspectives for New and More Efficient Multifunctional Ligands for Alzheimer′s Disease Therapy. Molecules 2020, 25, 3337. [Google Scholar] [CrossRef] [PubMed]
- Hung, S.-Y.; Fu, W.-M. Drug candidates in clinical trials for Alzheimer’s disease. J. Biomed. Sci. 2017, 24, 47. [Google Scholar] [CrossRef]
- Li, X.; Li, J.; Huang, Y.; Gong, Q.; Fu, Y.; Xu, Y.; Huang, J.; You, H.; Zhang, D.; Zhang, D.; et al. The novel therapeutic strategy of vilazodone-donepezil chimeras as potent triple-target ligands for the potential treatment of Alzheimer’s disease with comorbid depression. Eur. J. Med. Chem. 2022, 229, 114045. [Google Scholar] [CrossRef]
- Manzoor, S.; Prajapati, S.K.; Majumdar, S.; Raza, M.K.; Gabr, M.T.; Kumar, S.; Pal, K.; Rashid, H.; Kumar, S.; Krishnamurthy, S.; et al. Discovery of new phenyl sulfonyl-pyrimidine carboxylate derivatives as the potential multi-target drugs with effective anti-Alzheimer’s action: Design, synthesis, crystal structure and in-vitro biological evaluation. Eur. J. Med. Chem. 2021, 215, 113224. [Google Scholar] [CrossRef] [PubMed]
- Brunetti, L.; Leuci, R.; Carrieri, A.; Catto, M.; Occhineri, S.; Vinci, G.; Gambacorta, L.; Baltrukevich, H.; Chaves, S.; Laghezza, A.; et al. Structure-based design of novel donepezil-like hybrids for a multi-target approach to the therapy of Alzheimer’s disease. Eur. J. Med. Chem. 2022, 237, 114358. [Google Scholar] [CrossRef] [PubMed]
- Wang, Y.; Xiong, B.; Lin, H.; Li, Q.; Yang, H.; Qiao, Y.; Li, Q.; Xu, Z.; Lyu, W.; Qu, W.; et al. Design, synthesis and evaluation of fused hybrids with acetylcholinesterase inhibiting and Nrf2 activating functions for Alzheimer’s disease. Eur. J. Med. Chem. 2022, 244, 114806. [Google Scholar] [CrossRef]
- Li, X.; Li, T.; Zhang, P.; Li, X.; Lu, L.; Sun, Y.; Zhang, B.; Allen, S.; White, L.; Phillips, J.; et al. Discovery of novel hybrids containing clioquinol−1-benzyl-1,2,3,6-tetrahydropyridine as multi-target-directed ligands (MTDLs) against Alzheimer’s disease. Eur. J. Med. Chem. 2022, 244, 114841. [Google Scholar] [CrossRef]
- Wichur, T.; Więckowska, A.; Więckowski, K.; Godyń, J.; Jończyk, J.; del Río Valdivieso, Á.; Panek, D.; Pasieka, A.; Sabaté, R.; Knez, D.; et al. 1-Benzylpyrrolidine-3-amine-based BuChE inhibitors with anti-aggregating, antioxidant and metal-chelating properties as multifunctional agents against Alzheimer’s disease. Eur. J. Med. Chem. 2020, 187, 111916. [Google Scholar] [CrossRef]
- Shi, Y.; Zhang, H.; Song, Q.; Yu, G.; Liu, Z.; Zhong, F.; Tan, Z.; Liu, X.; Deng, Y. Development of novel 2-aminoalkyl-6-(2-hydroxyphenyl)pyridazin-3(2H)-one derivatives as balanced multifunctional agents against Alzheimer’s disease. Eur. J. Med. Chem. 2022, 230, 114098. [Google Scholar] [CrossRef]
- Sang, Z.; Wang, K.; Shi, J.; Liu, W.; Cheng, X.; Zhu, G.; Wang, Y.; Zhao, Y.; Qiao, Z.; Wu, A.; et al. The development of advanced structural framework as multi-target-directed ligands for the treatment of Alzheimer’s disease. Eur. J. Med. Chem. 2020, 192, 112180. [Google Scholar] [CrossRef] [PubMed]
- Wichur, T.; Godyń, J.; Góral, I.; Latacz, G.; Bucki, A.; Siwek, A.; Głuch-Lutwin, M.; Mordyl, B.; Śniecikowska, J.; Walczak, M.; et al. Development and crystallography-aided SAR studies of multifunctional BuChE inhibitors and 5-HT6R antagonists with β-amyloid anti-aggregation properties. Eur. J. Med. Chem. 2021, 225, 113792. [Google Scholar] [CrossRef]
- Wang, X.-B.; Yin, F.-C.; Huang, M.; Jiang, N.; Lan, J.-S.; Kong, L.-Y. Chromone and donepezil hybrids as new multipotent cholinesterase and monoamine oxidase inhibitors for the potential treatment of Alzheimer’s disease. RSC Med. Chem. 2020, 11, 225–233. [Google Scholar] [CrossRef]
- Qin, P.; Ran, Y.; Xie, F.; Liu, Y.; Wei, C.; Luan, X.; Wu, J. Design, synthesis, and biological evaluation of novel N-Benzyl piperidine derivatives as potent HDAC/AChE inhibitors for Alzheimer’s disease. Bioorganic Med. Chem. 2023, 80, 117178. [Google Scholar] [CrossRef]
- Malek, R.; Simakov, A.; Davis, A.; Maj, M.; Bernard, P.J.; Wnorowski, A.; Martin, H.; Marco-Contelles, J.; Chabchoub, F.; Dallemagne, P.; et al. Biginelli Reaction Synthesis of Novel Multitarget-Directed Ligands with Ca2+ Channel Blocking Ability, Cholinesterase Inhibition, Antioxidant Capacity, and Nrf2 Activation. Molecules 2022, 28, 71. [Google Scholar] [CrossRef]
- Queda, F.; Calò, S.; Gwizdala, K.; Magalhães, J.D.; Cardoso, S.M.; Chaves, S.; Piemontese, L.; Santos, M.A. Novel Donepezil–Arylsulfonamide Hybrids as Multitarget-Directed Ligands for Potential Treatment of Alzheimer’s Disease. Molecules 2021, 26, 1658. [Google Scholar] [CrossRef]
- Tamaddon-Abibigloo, Y.; Dastmalchi, S.; Razzaghi-Asl, N.; Mojarrad, J.S. Design, synthesis, in vitro and in silico evaluations of new isatin-triazine- aniline hybrids as potent anti- Alzheimer multi-target directed lead compounds. Bioorganic Chem. 2024, 147, 107355. [Google Scholar] [CrossRef]
- Rossi, M.; Freschi, M.; de Camargo Nascente, L.; Salerno, A.; de Melo Viana Teixeira, S.; Nachon, F.; Chantegreil, F.; Soukup, O.; Prchal, L.; Malaguti, M.; et al. Sustainable Drug Discovery of Multi-Target-Directed Ligands for Alzheimer’s Disease. J. Med. Chem. 2021, 64, 4972–4990. [Google Scholar] [CrossRef] [PubMed]
- Jiang, X.; Zhou, J.; Wang, Y.; Chen, L.; Duan, Y.; Huang, J.; Liu, C.; Chen, Y.; Liu, W.; Sun, H.; et al. Rational design and biological evaluation of a new class of thiazolopyridyl tetrahydroacridines as cholinesterase and GSK-3 dual inhibitors for Alzheimer’s disease. Eur. J. Med. Chem. 2020, 207, 112751. [Google Scholar] [CrossRef] [PubMed]
- Waly, O.M.; Saad, K.M.; El-Subbagh, H.I.; Bayomi, S.M.; Ghaly, M.A. Synthesis, biological evaluation, and molecular modeling simulations of new heterocyclic hybrids as multi-targeted anti-Alzheimer’s agents. Eur. J. Med. Chem. 2022, 231, 114152. [Google Scholar] [CrossRef]
- Chrienova, Z.; Nepovimova, E.; Andrys, R.; Dolezal, R.; Janockova, J.; Muckova, L.; Fabova, L.; Soukup, O.; Oleksak, P.; Valis, M.; et al. Privileged multi-target directed propargyl-tacrines combining cholinesterase and monoamine oxidase inhibition activities. J. Enzyme Inhib. Med. Chem. 2022, 37, 2605–2620. [Google Scholar] [CrossRef] [PubMed]
- Gorecki, L.; Uliassi, E.; Bartolini, M.; Janockova, J.; Hrabinova, M.; Hepnarova, V.; Prchal, L.; Muckova, L.; Pejchal, J.; Karasova, J.Z.; et al. Phenothiazine-Tacrine Heterodimers: Pursuing Multitarget Directed Approach in Alzheimer’s Disease. ACS Chem. Neurosci. 2021, 12, 1698–1715. [Google Scholar] [CrossRef]
- Fares, S.; El Husseiny, W.M.; Selim, K.B.; Massoud, M.A.M. Modified Tacrine Derivatives as Multitarget-Directed Ligands for the Treatment of Alzheimer’s Disease: Synthesis, Biological Evaluation, and Molecular Modeling Study. ACS Omega 2023, 8, 26012–26034. [Google Scholar] [CrossRef]
- Long, J.; Qin, F.; Luo, J.; Zhong, G.; Huang, S.; Jing, L.; Yi, T.; Liu, J.; Jiang, N. Design, synthesis, and biological evaluation of novel capsaicin-tacrine hybrids as multi-target agents for the treatment of Alzheimer’s disease. Bioorganic Chem. 2024, 143, 107026. [Google Scholar] [CrossRef] [PubMed]
- Liu, D.; Zhang, H.; Wang, Y.; Liu, W.; Yin, G.; Wang, D.; Li, J.; Shi, T.; Wang, Z. Design, synthesis, and biological evaluation of carbamate derivatives of N-salicyloyl tryptamine as multifunctional agents for the treatment of Alzheimer’s disease. Eur. J. Med. Chem. 2022, 229, 114044. [Google Scholar] [CrossRef]
- Sang, Z.; Wang, K.; Bai, P.; Wu, A.; Shi, J.; Liu, W.; Zhu, G.; Wang, Y.; Lan, Y.; Chen, Z.; et al. Design, synthesis and biological evaluation of novel O-carbamoyl ferulamide derivatives as multi-target-directed ligands for the treatment of Alzheimer’s disease. Eur. J. Med. Chem. 2020, 194, 112265. [Google Scholar] [CrossRef]
- Xia, J.; Dong, S.; Yang, L.; Wang, F.; Xing, S.; Du, J.; Li, Z. Design, synthesis, and biological evaluation of novel tryptanthrin derivatives as selective acetylcholinesterase inhibitors for the treatment of Alzheimer’s disease. Bioorganic Chem. 2024, 143, 106980. [Google Scholar] [CrossRef]
- Dakhlaoui, I.; Bernard, P.J.; Pietrzak, D.; Simakov, A.; Maj, M.; Refouvelet, B.; Béduneau, A.; Cornu, R.; Jozwiak, K.; Chabchoub, F.; et al. Exploring the Potential of Sulfonamide-Dihydropyridine Hybrids as Multitargeted Ligands for Alzheimer’s Disease Treatment. Int. J. Mol. Sci. 2023, 24, 9742. [Google Scholar] [CrossRef]
- Bhanukiran, K.; Gajendra, T.A.; Krishnamurthy, S.; Singh, S.K.; Hemalatha, S. Discovery of multi-target directed 3-OH pyrrolidine derivatives through a semisynthetic approach from alkaloid vasicine for the treatment of Alzheimer’s disease. Eur. J. Med. Chem. 2023, 249, 115145. [Google Scholar] [CrossRef]
- Rao, K.Y.; Basha, S.J.; Monika, K.; Sreelakshmi, M.; Sivakumar, I.; Mallikarjuna, G.; Yadav, R.M.; Kumar, S.; Subramanyam, R.; Damu, A.G. Synthesis and anti-Alzheimer potential of novel α-amino phosphonate derivatives and probing their molecular interaction mechanism with acetylcholinesterase. Eur. J. Med. Chem. 2023, 253, 115288. [Google Scholar] [CrossRef]
- Pasieka, A.; Panek, D.; Jończyk, J.; Godyń, J.; Szałaj, N.; Latacz, G.; Tabor, J.; Mezeiova, E.; Chantegreil, F.; Dias, J.; et al. Discovery of multifunctional anti-Alzheimer’s agents with a unique mechanism of action including inhibition of the enzyme butyrylcholinesterase and γ-aminobutyric acid transporters. Eur. J. Med. Chem. 2021, 218, 113397. [Google Scholar] [CrossRef]
- Łażewska, D.; Bajda, M.; Kaleta, M.; Zaręba, P.; Doroz-Płonka, A.; Siwek, A.; Alachkar, A.; Mogilski, S.; Saad, A.; Kuder, K.; et al. Rational design of new multitarget histamine H3 receptor ligands as potential candidates for treatment of Alzheimer’s disease. Eur. J. Med. Chem. 2020, 207, 112743. [Google Scholar] [CrossRef]
- Godyń, J.; Zaręba, P.; Stary, D.; Kaleta, M.; Kuder, K.J.; Latacz, G.; Mogilski, S.; Reiner-Link, D.; Frank, A.; Doroz-Płonka, A.; et al. Benzophenone Derivatives with Histamine H3 Receptor Affinity and Cholinesterase Inhibitory Potency as Multitarget-Directed Ligands for Possible Therapy of Alzheimer’s Disease. Molecules 2022, 28, 238. [Google Scholar] [CrossRef]
- Hafez, D.E.; Dubiel, M.; La Spada, G.; Catto, M.; Reiner-Link, D.; Syu, Y.-T.; Abdel-Halim, M.; Hwang, T.-L.; Stark, H.; Abadi, A.H. Novel benzothiazole derivatives as multitargeted-directed ligands for the treatment of Alzheimer’s disease. J. Enzyme Inhib. Med. Chem. 2023, 38, 2175821. [Google Scholar] [CrossRef]
- Hu, C.; Jiang, L.; Tang, L.; Zhang, M.; Sheng, R. Design, synthesis and biological evaluation of 2-styryl-5-hydroxy-4-pyrone derivatives and analogues as multiple functional agents with the potential for the treatment of Alzheimer’s disease. Bioorganic Med. Chem. 2021, 44, 116306. [Google Scholar] [CrossRef] [PubMed]
- Tonelli, M.; Catto, M.; Sabaté, R.; Francesconi, V.; Laurini, E.; Pricl, S.; Pisani, L.; Miniero, D.V.; Liuzzi, G.M.; Gatta, E.; et al. Thioxanthenone-based derivatives as multitarget therapeutic leads for Alzheimer’s disease. Eur. J. Med. Chem. 2023, 250, 115169. [Google Scholar] [CrossRef] [PubMed]
- Malafaia, D.; Oliveira, A.; Fernandes, P.A.; Ramos, M.J.; Albuquerque, H.M.T.; Silva, A.M.S. Chromeno[3,4-b]xanthones as First-in-Class AChE and Aβ Aggregation Dual-Inhibitors. Int. J. Mol. Sci. 2021, 22, 4145. [Google Scholar] [CrossRef]
- Campora, M.; Canale, C.; Gatta, E.; Tasso, B.; Laurini, E.; Relini, A.; Pricl, S.; Catto, M.; Tonelli, M. Multitarget Biological Profiling of New Naphthoquinone and Anthraquinone-Based Derivatives for the Treatment of Alzheimer’s Disease. ACS Chem. Neurosci. 2021, 12, 447–461. [Google Scholar] [CrossRef]
- Gandini, A.; Gonçalves, A.E.; Strocchi, S.; Albertini, C.; Janočková, J.; Tramarin, A.; Grifoni, D.; Poeta, E.; Soukup, O.; Muñoz-Torrero, D.; et al. Discovery of Dual Aβ/Tau Inhibitors and Evaluation of Their Therapeutic Effect on a Drosophila Model of Alzheimer’s Disease. ACS Chem. Neurosci. 2022, 13, 3314–3329. [Google Scholar] [CrossRef]
- Ramirez, E.; Ganegamage, S.K.; Min, S.; Patel, H.; Ogunware, A.; Plascencia-Villa, G.; Alnakhala, H.; Shimanaka, K.; Tripathi, A.; Wang, K.-W.; et al. Evaluation of N- and O-Linked Indole Triazines for a Dual Effect on α-Synuclein and Tau Aggregation. ACS Chem. Neurosci. 2023, 14, 3913–3927. [Google Scholar] [CrossRef]
- Qiu, J.; Feng, X.; Chen, H.; Liu, W.; Liu, W.; Wu, L.; Gao, X.; Liu, Y.; Huang, Y.; Gong, H.; et al. Discovery of novel harmine derivatives as GSK-3β/DYRK1A dual inhibitors for Alzheimer’s disease treatment. Arch. Pharm. 2024, 357, 2300404. [Google Scholar] [CrossRef] [PubMed]
- Van Manh, N.; Hoang, V.-H.; Ngo, V.T.H.; Ann, J.; Jang, T.; Ha, J.-H.; Song, J.Y.; Ha, H.-J.; Kim, H.; Kim, Y.-H.; et al. Discovery of highly potent human glutaminyl cyclase (QC) inhibitors as anti-Alzheimer’s agents by the combination of pharmacophore-based and structure-based design. Eur. J. Med. Chem. 2021, 226, 113819. [Google Scholar] [CrossRef]
- Xie, S.-S.; Liu, J.; Tang, C.; Pang, C.; Li, Q.; Qin, Y.; Nong, X.; Zhang, Z.; Guo, J.; Cheng, M.; et al. Design, synthesis and biological evaluation of rasagiline-clorgyline hybrids as novel dual inhibitors of monoamine oxidase-B and amyloid-β aggregation against Alzheimer’s disease. Eur. J. Med. Chem. 2020, 202, 112475. [Google Scholar] [CrossRef] [PubMed]
- Jiang, X.; Guo, J.; Lv, Y.; Yao, C.; Zhang, C.; Mi, Z.; Shi, Y.; Gu, J.; Zhou, T.; Bai, R.; et al. Rational design, synthesis and biological evaluation of novel multitargeting anti-AD iron chelators with potent MAO-B inhibitory and antioxidant activity. Bioorganic Med. Chem. 2020, 28, 115550. [Google Scholar] [CrossRef]
- Vicente-Zurdo, D.; Brunetti, L.; Piemontese, L.; Guedes, B.; Cardoso, S.M.; Chavarria, D.; Borges, F.; Madrid, Y.; Chaves, S.; Santos, M.A. Rivastigmine–Benzimidazole Hybrids as Promising Multitarget Metal-Modulating Compounds for Potential Treatment of Neurodegenerative Diseases. Int. J. Mol. Sci. 2023, 24, 8312. [Google Scholar] [CrossRef] [PubMed]
- Mezeiova, E.; Janockova, J.; Andrys, R.; Soukup, O.; Kobrlova, T.; Muckova, L.; Pejchal, J.; Simunkova, M.; Handl, J.; Micankova, P.; et al. 2-Propargylamino-naphthoquinone derivatives as multipotent agents for the treatment of Alzheimer’s disease. Eur. J. Med. Chem. 2021, 211, 113112. [Google Scholar] [CrossRef]
- Zhou, L.-C.; Liang, Y.-F.; Huang, Y.; Yang, G.-X.; Zheng, L.-L.; Sun, J.-M.; Li, Y.; Zhu, F.-L.; Qian, H.-W.; Wang, R.; et al. Design, synthesis, and biological evaluation of diosgenin-indole derivatives as dual-functional agents for the treatment of Alzheimer’s disease. Eur. J. Med. Chem. 2021, 219, 113426. [Google Scholar] [CrossRef] [PubMed]
- Gouleni, N.; Di Rienzo, A.; Yılmaz, A.; Selvitopi, H.; Arslan, M.E.; Mardinoglu, A.; Turkez, H.; Di Stefano, A.; Vassiliou, S.; Cacciatore, I. Novel styryl-thiazole hybrids as potential anti-Alzheimer’s agents. RSC Med. Chem. 2023, 14, 2315–2326. [Google Scholar] [CrossRef] [PubMed]
- Bhanukiran, K.; Singh, S.K.; Singh, R.; Kumar, A.; Hemalatha, S. Discovery of Multitarget-Directed Ligands from Piperidine Alkaloid Piperine as a Cap Group for the Management of Alzheimer’s Disease. ACS Chem. Neurosci. 2023, 14, 2743–2760. [Google Scholar] [CrossRef]
- Waiker, D.K.; Verma, A.; Gajendra, T.A.; Namrata; Roy, A.; Kumar, P.; Trigun, S.K.; Srikrishna, S.; Krishnamurthy, S.; Davisson, V.J.; et al. Design, synthesis, and biological evaluation of some 2-(3-oxo-5,6-diphenyl-1,2,4-triazin-2(3H)-yl)-N-phenylacetamide hybrids as MTDLs for Alzheimer’s disease therapy. Eur. J. Med. Chem. 2024, 271, 116409. [Google Scholar] [CrossRef]
- Schwarthoff, S.; Tischer, N.; Sager, H.; Schätz, B.; Rohrbach, M.M.; Raztsou, I.; Robaa, D.; Gaube, F.; Arndt, H.-D.; Winckler, T. Evaluation of γ-carboline-phenothiazine conjugates as simultaneous NMDA receptor blockers and cholinesterase inhibitors. Bioorganic Med. Chem. 2021, 46, 116355. [Google Scholar] [CrossRef] [PubMed]
- Bachurin, S.O.; Shevtsova, E.F.; Makhaeva, G.F.; Aksinenko, A.Y.; Grigoriev, V.V.; Goreva, T.V.; Epishina, T.A.; Kovaleva, N.V.; Boltneva, N.P.; Lushchekina, S.V.; et al. Conjugates of Methylene Blue with Cycloalkaneindoles as New Multifunctional Agents for Potential Treatment of Neurodegenerative Disease. Int. J. Mol. Sci. 2022, 23, 13925. [Google Scholar] [CrossRef]
- Szymanski, P.; Karpiński, A.; Mikiciuk-Olasik, E. Synthesis, biological activity and HPLC validation of 1,2,3,4-tetrahydroacridine derivatives as acetylcholinesterase inhibitors. Eur. J. Med. Chem. 2011, 46, 3250–3257. [Google Scholar] [CrossRef] [PubMed]
- Aso, E.; Ferrer, I. Cannabinoids for treatment of Alzheimer’s disease: Moving toward the clinic. Front. Pharmacol. 2014, 5, 37. [Google Scholar] [CrossRef]
- Fan, S.-J.; Huang, F.-I.; Liou, J.-P.; Yang, C.-R. The novel histone de acetylase 6 inhibitor, MPT0G211, ameliorates tau phosphorylation and cognitive deficits in an Alzheimer’s disease model. Cell Death Dis. 2018, 9, 655. [Google Scholar] [CrossRef]
- Selenica, M.-L.; Benner, L.; Housley, S.B.; Manchec, B.; Lee, D.C.; Nash, K.R.; Kalin, J.; Bergman, J.A.; Kozikowski, A.; Gordon, M.N.; et al. Histone deacetylase 6 inhibition improves memory and reduces total tau levels in a mouse model of tau deposition. Alzheimers Res. Ther. 2014, 6, 12. [Google Scholar] [CrossRef]
- Orozco, D.R.; Garlapati, S. Histone deacetylase inhibitors induce expression of chromosomally tagged variant-specific surface protein genes in Giardia lamblia. BMC Res. Notes 2020, 13, 148. [Google Scholar] [CrossRef]
- Sang, Z.; Wang, K.; Han, X.; Cao, M.; Tan, Z.; Liu, W. Design, Synthesis, and Evaluation of Novel Ferulic Acid Derivatives as Multi-Target-Directed Ligands for the Treatment of Alzheimer’s Disease. ACS Chem. Neurosci. 2019, 10, 1008–1024. [Google Scholar] [CrossRef]
- Pitolisant, Drugbank. 2024. Available online: https://go.drugbank.com/drugs/DB11642 (accessed on 10 April 2024).
- Cheng, G.; Xu, P.; Zhang, M.; Chen, J.; Sheng, R.; Ma, Y. Resveratrol-maltol hybrids as multi-target-directed agents for Alzheimer’s disease. Bioorganic Med. Chem. 2018, 26, 5759–5765. [Google Scholar] [CrossRef] [PubMed]
- MK-0249, MedChemExpress. 2024. Available online: https://www.medchemexpress.com/MK-0249.html (accessed on 10 April 2024).
- Smit, F.X.; Luiken, J.A.; Bolhuis, P.G. Primary Fibril Nucleation of Aggregation Prone Tau Fragments PHF6 and PHF6. J. Phys. Chem. B 2017, 121, 3250–3261. [Google Scholar] [CrossRef]
- Liu, W.; Liu, X.; Tian, L.; Gao, Y.; Liu, W.; Chen, H.; Jiang, X.; Xu, Z.; Ding, H.; Zhao, Q. Design, synthesis and biological evaluation of harmine derivatives as potent GSK-3β/DYRK1A dual inhibitors for the treatment of Alzheimer’s disease. Eur. J. Med. Chem. 2021, 222, 113554. [Google Scholar] [CrossRef]
- Hoang, V.-H.; Tran, P.-T.; Cui, M.; Ngo, V.T.H.; Ann, J.; Park, J.; Lee, J.; Choi, K.; Cho, H.; Kim, H.; et al. Discovery of Potent Human Glutaminyl Cyclase Inhibitors as Anti-Alzheimer’s Agents Based on Rational Design. J. Med. Chem. 2017, 60, 2573–2590. [Google Scholar] [CrossRef]
- Hoang, V.-H.; Ngo, V.T.H.; Cui, M.; Van Manh, N.; Tran, P.-T.; Ann, J.; Ha, H.-J.; Kim, H.; Choi, K.; Kim, Y.-H.; et al. Discovery of Conformationally Restricted Human Glutaminyl Cyclase Inhibitors as Potent Anti-Alzheimer’s Agents by Structure-Based Design. J. Med. Chem. 2019, 62, 8011–8027. [Google Scholar] [CrossRef]
- Morawski, M.; Schilling, S.; Kreuzberger, M.; Waniek, A.; Jäger, C.; Koch, B.; Cynis, H.; Kehlen, A.; Arendt, T.; Hartlage-Rübsamen, M.; et al. Glutaminyl Cyclase in Human Cortex: Correlation with (pGlu)-Amyloid-β Load and Cognitive Decline in Alzheimer’s Disease. J. Alzheimer’s Dis. 2014, 39, 385–400. [Google Scholar] [CrossRef]
- Schilling, S.; Zeitschel, U.; Hoffmann, T.; Heiser, U.; Francke, M.; Kehlen, A.; Holzer, M.; Hutter-Paier, B.; Prokesch, M.; Windisch, M.; et al. Glutaminyl cyclase inhibition attenuates pyroglutamate Aβ and Alzheimer’s disease–like pathology. Nat. Med. 2008, 14, 1106–1111. [Google Scholar] [CrossRef]
- Gunn, A.P.; Wong, B.X.; McLean, C.; Fowler, C.; Barnard, P.J.; Duce, J.A.; Roberts, B.R. Increased glutaminyl cyclase activity in brains of Alzheimer’s disease individuals. J. Neurochem. 2021, 156, 979–987. [Google Scholar] [CrossRef]
- Manoharan, S.; Guillemin, G.J.; Abiramasundari, R.S.; Essa, M.M.; Akbar, M.; Akbar, M.D. The Role of Reactive Oxygen Species in the Pathogenesis of Alzheimer’s Disease, Parkinson’s Disease, and Huntington’s Disease: A Mini Review. Oxid. Med. Cell Longev. 2016, 2016, 1–15. [Google Scholar] [CrossRef]
- Wang, R.; Reddy, P.H. Role of Glutamate and NMDA Receptors in Alzheimer’s Disease. J. Alzheimer’s Dis. 2017, 57, 1041–1048. [Google Scholar] [CrossRef]
- Makhaeva, G.F.; Lushchekina, S.V.; Boltneva, N.P.; Sokolov, V.B.; Grigoriev, V.V.; Serebryakova, O.G.; Vikhareva, E.A.; Aksinenko, A.Y.; Barreto, G.E.; Aliev, G.; et al. Conjugates of γ-Carbolines and Phenothiazine as new selective inhibitors of butyrylcholinesterase and blockers of NMDA receptors for Alzheimer Disease. Sci. Rep. 2015, 5, 13164. [Google Scholar] [CrossRef]
- Zeng, Y.; Zheng, Y.; Zhang, T.; Ye, F.; Zhan, L.; Kou, Z.; Zhu, S.; Gao, Z. Identification of a Subtype-Selective Allosteric Inhibitor of GluN1/GluN3 NMDA Receptors. Front. Pharmacol. 2022, 13, 888308. [Google Scholar] [CrossRef] [PubMed]
- Hardingham, G.E.; Bading, H. Synaptic versus extrasynaptic NMDA receptor signalling: Implications for neurodegenerative disorders. Nat. Rev. Neurosci. 2010, 11, 682–696. [Google Scholar] [CrossRef]
- Huang, L.-K.; Kuan, Y.-C.; Lin, H.-W.; Hu, C.-J. Clinical trials of new drugs for Alzheimer disease: A 2020–2023 update. J. Biomed. Sci. 2023, 30, 83. [Google Scholar] [CrossRef]
- Remternetug. 2024. Available online: https://www.alzforum.org/therapeutics/remternetug (accessed on 13 December 2024).
- Solanezumab. 2024. Available online: https://www.alzforum.org/therapeutics/solanezumab (accessed on 13 December 2024).
- ALZ-801. 2024. Available online: https://www.alzforum.org/therapeutics/alz-801 (accessed on 13 December 2024).
- Simufilam. 2024. Available online: https://www.alzforum.org/therapeutics/simufilam (accessed on 13 December 2024).
- Varoglutamstat. 2024. Available online: https://www.alzforum.org/therapeutics/varoglutamstat (accessed on 13 December 2024).
- ABBV-916. 2023. Available online: https://www.alzforum.org/therapeutics/abbv-916 (accessed on 13 December 2024).
- CT1812. 2024. Available online: https://www.alzforum.org/therapeutics/ct1812 (accessed on 13 December 2024).
- UCB Presents Encouraging Data on Bepranemab in Early Alzheimer’s Disease in Phase 2a Study at CTAD 2024. 2024. Available online: https://www.drugs.com/clinical_trials/ucb-presents-encouraging-data-bepranemab-early-alzheimer-s-phase-2a-study-ctad-2024-21735.html (accessed on 13 December 2024).
- Posdinemab. 2024. Available online: https://www.alzforum.org/therapeutics/posdinemab (accessed on 13 December 2024).
- ACI-35. 2024. Available online: https://www.alzforum.org/therapeutics/aci-35 (accessed on 13 December 2024).
- E2814. 2023. Available online: https://www.alzforum.org/therapeutics/e2814 (accessed on 13 December 2024).
- Ceperognastat. 2024. Available online: https://www.alzforum.org/therapeutics/ceperognastat (accessed on 13 December 2024).
- BIIB080. 2024. Available online: https://www.alzforum.org/therapeutics/biib080 (accessed on 13 December 2024).
- Fosgonimeton. 2024. Available online: https://www.alzforum.org/therapeutics/fosgonimeton (accessed on 13 December 2024).
- AR1001. 2023. Available online: https://www.alzforum.org/therapeutics/ar1001 (accessed on 13 December 2024).
- Buntanetap. 2024. Available online: https://www.alzforum.org/therapeutics/buntanetap (accessed on 14 December 2024).
- KarXT. 2024. Available online: https://www.alzforum.org/therapeutics/karxt (accessed on 14 December 2024).
- Nilotinib. 2024. Available online: https://www.alzforum.org/therapeutics/nilotinib (accessed on 14 December 2024).
- Piromelatine. 2022. Available online: https://www.alzforum.org/therapeutics/piromelatine (accessed on 14 December 2024).
- Dubois, B.; López-Arrieta, J.; Lipschitz, S.; Doskas, T.; Spiru, L.; Moroz, S.; Venger, O.; Vermersch, P.; Moussy, A.; Mansfield, C.D.; et al. Masitinib for mild-to-moderate Alzheimer’s disease: Results from a randomized, placebo-controlled, phase 3, clinical trial. Alzheimers Res. Ther. 2023, 15, 39. [Google Scholar] [CrossRef]
- Bezisterim. 2024. Available online: https://www.alzforum.org/therapeutics/bezisterim (accessed on 14 December 2024).


Disclaimer/Publisher’s Note: The statements, opinions and data contained in all publications are solely those of the individual author(s) and contributor(s) and not of MDPI and/or the editor(s). MDPI and/or the editor(s) disclaim responsibility for any injury to people or property resulting from any ideas, methods, instructions or products referred to in the content. |
© 2024 by the authors. Licensee MDPI, Basel, Switzerland. This article is an open access article distributed under the terms and conditions of the Creative Commons Attribution (CC BY) license (https://creativecommons.org/licenses/by/4.0/).
Share and Cite
Ogos, M.; Stary, D.; Bajda, M. Recent Advances in the Search for Effective Anti-Alzheimer’s Drugs. Int. J. Mol. Sci. 2025, 26, 157. https://doi.org/10.3390/ijms26010157
Ogos M, Stary D, Bajda M. Recent Advances in the Search for Effective Anti-Alzheimer’s Drugs. International Journal of Molecular Sciences. 2025; 26(1):157. https://doi.org/10.3390/ijms26010157
Chicago/Turabian StyleOgos, Martyna, Dorota Stary, and Marek Bajda. 2025. "Recent Advances in the Search for Effective Anti-Alzheimer’s Drugs" International Journal of Molecular Sciences 26, no. 1: 157. https://doi.org/10.3390/ijms26010157
APA StyleOgos, M., Stary, D., & Bajda, M. (2025). Recent Advances in the Search for Effective Anti-Alzheimer’s Drugs. International Journal of Molecular Sciences, 26(1), 157. https://doi.org/10.3390/ijms26010157

























