Therapeutic Drug Monitoring of Low Methotrexate Doses for Drug Exposure and Adherence Assessment—Pre-Analytical Variables, Bioanalytical Issues, and Current Clinical Applications
Abstract
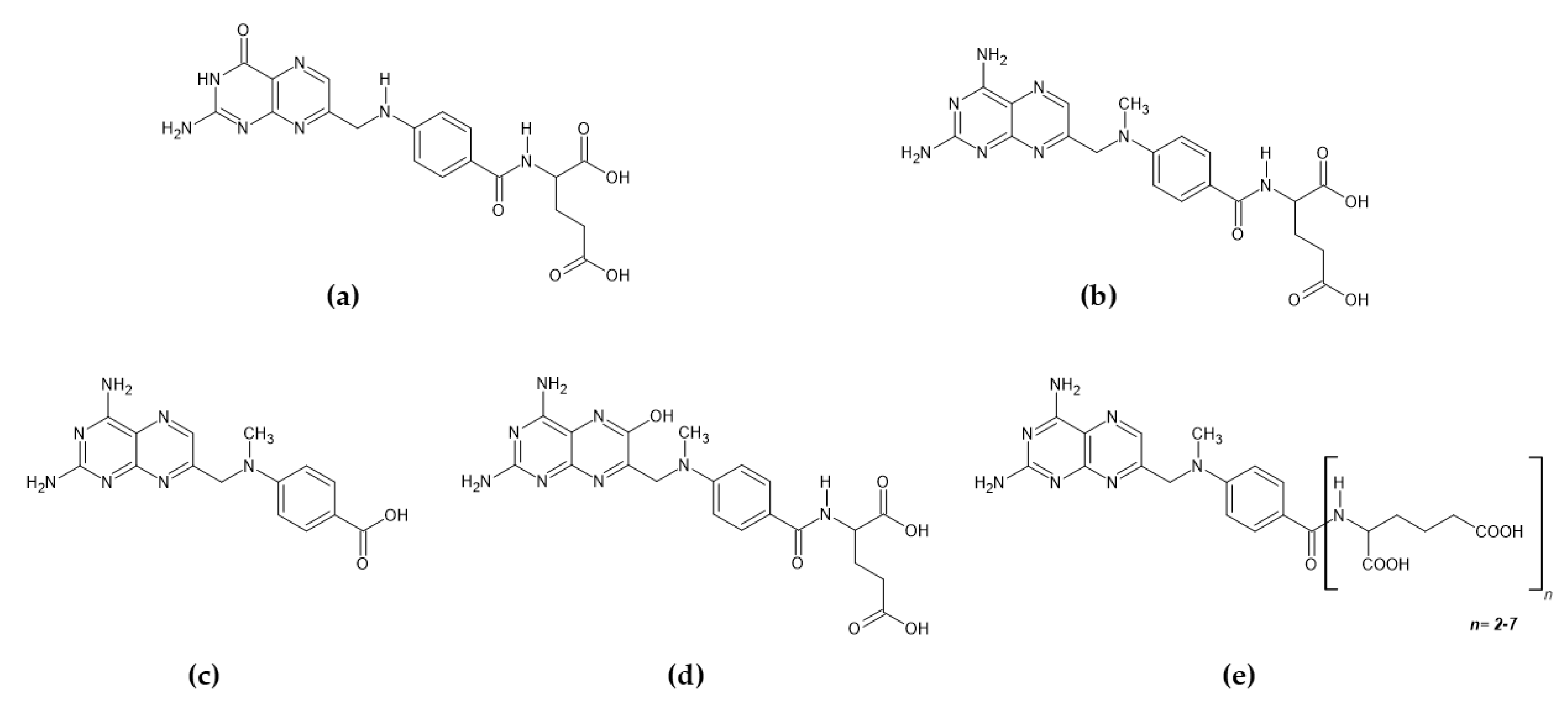
1. Introduction—Basic Information About Methotrexate (MTX)
2. Materials and Methodology
3. Immunochemical Applications for MTX Determination
4. Chromatographic Application—From Pre-Analytical Variables to Clinical Issues
4.1. Pre-Analytical Phase—Sampling Process and Sample Stability
- (1)
- MTX and its metabolites are light-sensitive—avoid exposing the matrix sample to direct light.
- (2)
- It is suggested that RBC samples are stable, according to MTXPGs concentration 6 months at −80 °C.
- (3)
- After whole blood collection, plasma/serum fractions should be centrifuged within 2 h and transferred to an amber vial.
4.2. Sample Pretreatment as an Integrated Part of the Analytical Process
- (1)
- PPT is suitable for MTX and its derivatives extraction from biological matrices, but modifications (i.e., acidification) may be required depending on the sensitivity of the analytical platform.
- (2)
- LLE is beneficial for additional sample purification or concentration measurement after PPT. Notably, neutral or acidic conditions suit MTX extraction relatively satisfactorily.
- (3)
- SPE is laborious and highly expensive for routine application in MTX/MTXPG determination, but it seems to be the best method for sample purification, concentration, and appropriate analyte extraction.
- (4)
- Microsampling approaches are beneficial in ‘special’ populations, i.e., children and adolescents. Measuring each detectable MTXPG (n = 2–5) in RA treatment is achievable and reliable.
- (5)
- Different approaches to MTX and MTXPGs measurement have been established in this paper:
- Individual assaying each long-chain MTXPG concentration.
- Determining MTX and the sum of MTX and MTXPGs. The result is expressed as total MTXPG concentration via subtraction.
- Determining MTX and short-chain MTXPGs is not suitable due to the quick elimination of MTX from serum.
4.3. Review of Analytical Applications—Searching for the Ideal Solution
- (1)
- LC-MS/MS platforms are the gold standard for simultaneously determining MTX and its metabolites in various biological matrices.
- (2)
- The most suitable chromatographic column is C18 particles in ordinary conditions with gradient mode mobile phase flow. Due to MTX’s chemical nature, adding sodium bicarbonate to the mobile phase may be beneficial.
- (3)
- Most applications in the literature involved positively charged multiple reactions monitoring detections of MTX and its derivatives in electrospray ionisation mode.
| Analytes (Method) | Biological Matrix | Internal Standard | Sample Pretreatment | Chromatography | Parameters of Mass Detection | Validation Parameters | Stability of Analytes in Collected Sample | Reference | |||||
|---|---|---|---|---|---|---|---|---|---|---|---|---|---|
| Mobile Phase | Column | LOD | LLOQ | Linearity | Recovery | ||||||||
| MTX; MTXPGs (total) | whole blood (400 or 100 µL) | doxofylline | freeze-induced lysis of RBC, PPT combined with LLE (50% trifluoroacetic acid and extraction was performed using ethyl acetoacetate) | ACN:H2O (30:70, v/v) with 1% FA, 20 mM AF; isocratic; flow: 0.2 mL/min | XB-C18 3 µm; 2.1 × 100 mm | (ESI-LC-MS/MS) 455.2 → 308.2 for MTX 267.2 → 181.2 for IS | 0.5 ng/mL | 1 ng/mL | 1–100 ng/mL | 29.30–37.80% | −80 °C (1 month); 2 freeze–thaw; RT (4 h) | [33] | |
| MTX | serum (30 µL) | pterin | PPT with methanol | 1% acetic acid/ACN (88:12, v/v); isocratic; flow: 0.5 mL/min; | Luna C18 (2) 3 µm; 100 × 4.6 mm | (ESI-LC-MS/MS) 455.2 → 308.1 for MTX 164.10 → 164.10 for IS | 3 nM | 10 nM | 10–1000 nM | 100.40% | nd. | [18] | |
| MTXPGs (n = 1–5) | RBC pellet (200 µL) | 13C5,15N-MTXPGs (n = 1–5) | lysis of RBC, cold-induced PPT with 16% perchloric acid | A: 10 mM NH4HCO3 (pH = 10) B. MeOH; gradient; flow: 0.3 mL/min; | Acquity BEH C18 1.7 µm; 100 × 2.1 mm | (ESI-LC-MS/MS) MTX and (IS): (1) 455.2 (461.2) → 308.2 (2) 584.4 (590.4) → 308.2 (3) 713. 4 (719.4) → 308.2 (4) 842.4 (848.4) → 308.2 (5) 971.6 (977.6) → 308.2 | nd. | 1 nM | 0.975–1000 nM | 54–98% (corrected with IS 89–108%) | −80 °C (3 m) | [25] | |
| MTX; 7-OH-MTX | urine (50 µL) | D3-MTX | PPT with ACN | A: water with 0.1% FA B: ACN with 0.1% FA; gradient; flow: 0.3 mL/min | Hypersil GOLD C18 1.9 µm; 100 × 2.1 mm | (ESI-LC-MS/MS) MTX 455.1 →308.1 IS 458.1 → 311.1 7-OH-MTX 471.1 →324.1 | nd. | MTX 2.5 nM 7-OH-MTX 10 nM | 5–1000 nM | MTX (103.64–129.74) 7-OH-MTX (67.08–93.26) | significant loss of 7-OH-MTX within 72 h of storage at RT in contrast to storage at −80 °C for 168 h | [32] | |
| MTXPGs (n = 1–7) | RBC pellet (250 µL) PBMC pellet (250 µL) Plasma (250 µL) VAMS (20 µL) Whole blood (20 µL) | 13C5,15N-MTXPGs (1–7) | SPE with Strata-X-A Strong cartridges following PPT with 30% perchloric acid; VAMS extraction with MeOH and continuation of extraction | A: 75% ACN in H2O (10 mM NH4HCO3) B: H2O (10 mM NH4HCO3); gradient; flow: 0.4 mL/min | ZIC-pHILIC 5 µm; 100 × 4.6 mm | (ESI-LC-MS/MS) MRM (IS): (1) 455.2 (461.2) → 308.1 (2) 584.4 (590.4) → 308.1 (3) 713. 4 (719.4) → 308.1 (4) 842.4 (848.4) → 308.1 (5) 971.6 (977.6) → 308.1 (6) 550.3 (553.5) → 308.1 (7) 615.0 (618.3) → 308.1 | nd. | MTXPGs (n = 1–5) 0.1 nM MTXPGs (n = 6–7) 0.8 nM | 0.1–100 nM MTXPGs (n = 1–5) 0.8–100 nM MTXPGs (n = 6–7) | >86% | RT 24 h, 7 months −80°C, −20 °C 1 month, five freeze–thaw cycles | [16] | |
| MTXPGs (n = 3) | RBC pellet (150 µL) | nd. | PPT with 10% TCA | A: H2O (10 mM NH4HCO3) B: ACN gradient; flow: 0.4 mL/min | Acquity HSS T3 1.8 µm; 100 × 2.1 mm | (ESI-LC-MS/MS) MTX-PG3 (3) 712. 3 → 308.2 | 0.238 nM | 0.530 nM | 1.90 to 500 nM | 94.90–114% | nd. | [17] | |
| MTXPGs (n = 1–7) | RBC pellet (200 µL) | 13C5,15N-MTXPGs (1–7) | cold-induced lysis and PPT with perchloric acid | A: H2O (10 nM NH4Ac; pH = 10) B: MeOH gradient; flow: 0.3 mL/min | Waters XBridge BEH C18 2.5 µm; 100 × 4.6 mm | (ESI-LC-MS/MS) MRM (IS): (1) 455.2 (458.2) → 308.1 (311.1) (2) 584.3 (587.2) → 308.1 (311.1) (3) 713. 3 (716.3) → 308.1 (311.1) (4) 421.7 (423.2) → 175.0 (137.0) (5) 486.2 (487.7) → 175.0 (137.0) (6) 550.7 (552.2) → 175.0 (137.0) (7) 615.2 (616.7) → 175.0 (137.0) | nd. | 2.0 nM | 2.0–500.0 nM | 42.1–100.8% | 30 days at −80 °C | [35] | |
| MTXPGs (n = 3) | VAMS (10 µL) | D3-MTXPG5 | lysis induced by drying, next PPT with 70% perchloric acid | 0.1% FA, 0.01% TEA in ACN; isocratic; 1 mL/min | Accucore PFP 2.6 µm; 50 × 2.1 mm | (ESI-LC-MS/MS) MRM (IS): 713. 3 (716.3) → 308.1 (311.1) | nd. | 5.0 nM | 5–100 nM | >80% | 30 days at RT | [36] | |
| MTXPGs (n = 1–5) and as total | DBS | n.d. | individual MTXPGs lysis induced by drying, next PPT with 70% perchloric acid and extraction with SPE (Oasis Max columns) total MTXPGs lysis of MTXPGs with polyglutamate hydrolase, next as following protocol | A: H2O (10 mM NH4HCO3), pH = 7.50 B: ACN gradient; flow: 0.15 mL/min | Atlantis T3-C18 3 µm; 150 × 2.1 mm | (ESI-LC-MS/MS) MRM (IS): (1) 455.2 → 175.05 (2) 584.3 → 175.05 (3) 713. 3 → 175.05 (4) 842.3 → 175.05 (5) 971.60 → 175.05 | nd. | 5.0 nM | 10–400 nM | 44–72% | 2 months at −80 °C and RT | [34] | |
| MTXPGs (n = 1–7) | RBC pellet (200 µL) | D3-MTX | cold-induced lysis, and PPT with high temperature | A: H2O (10 mM NH4HCO3 and 5 mM N-HPA, adjusted with FA to 7.50) B: ACN with 5 mM N-HPA gradient; flow: 0.2 mL/min | Synergy Hydro-RP 4 µm; 50 × 1 mm | (ESI-IP-MS/MS) MRM (IS): (1) 455.2 (458.2) → 308.1 (311.1) (2) 584.3 → 308.1 (3) 713. 3→ 308.1 (4) 842.3 → 308.1 (5) 971.3 → 308.1 (6) 1100.4 → 308.1 (7) 1229.4 → 308.1 | 0.5 nM | 1.0 nM | 1.0–100.0 nM | 51.1– 69.8% | nd. | [38] | |
| MTX | plasma (30 µL) DPS (Noviplex®) (10 µL) | D3-MTX | PPT with MeOH:ACN:H2O mixture (40:40:20, v/v/v), For DPS additional extraction following the PPT process with IS solution | A: water with 0.1% FA B: ACN; gradient; flow: 0.7 mL/min | Poroshell 120 SB-C18 2.7 µm; 50 × 4.6 mm | (ESI-LC-MS/MS) 455.2 → 308.2 for MTX 458.2 → 311.20 for IS | nd. | 30 ng/mL | 30–2000 ng/mL | >92.1% | wet plasma: 3 h RT, 50 days −80 °C DPS: min. one week at RT and 40 °C | [39] | |
| MTX | plasma (100 µL) | acetaminophen | PPT with ACN:H2O mixture (70:30, v/v) | A: water with 0.1% FA B: ACN; gradient; flow: 0.4 mL/min | Acclaim 120 C18 3.0 µm; 50 × 2.1 mm | (ESI-LC-MS/MS) 455.2 → 308.2 for MTX 136.6 → 94.1 for IS | nd. | 90 nM | 90–1250 nM | 40% | 24 h at RT | [40] | |
| MTX; 7-OH-MTX | plasma (nd.) | 13C,D3-MTX | nd. | nd. | Avantor Altima HP C18-EPS 3 µm; 150 × 2.1 mm | (ESI-LC-MS/MS) 455.0 → 308.0 459.0 → 312.0 for MTX for IS (MTX) 471.0 → 324.0 475.0 → 328.0 | nd. | 0.02 nM (MTX) 0.16 nM (7-OH-MTX) | nd. | 91.5–114.8% | nd. | [41] | |
5. The Summary of Best Practises in TDM Process Implementation Clinically in the LDMTX Protocols
- Toxicity (hipermethotrexatemia) or underexposure (hipomethotrexatemia):
- Check the basic biochemistry parameters, i.e., ALT, ASP, and renal function biomarkers.
- Check potential interaction with other drugs concomitantly used during therapy with MTX (interactions drug–drug) according to pharmacokinetics and pharmacodynamics.
- Check MTX levels (or metabolites).
- ✓
- Samples for MTX determination must be collected at appropriate time points—max. 24 h after drug administration due to rapid MTX metabolism (the results should be interpreted according to time after drug intake).
- ✓
- Serum/plasma samples are suitable for MTX monitoring (eventually 7- OH-MTX). MTX monitoring during LDMTX treatment may be beneficial in poisoning with MTX.
- ✓
- Whole blood (especially RBC pellets) is the suitable matrix for MTXPG determination.
- ✓
- In the case of metabolite monitoring, the following is recommended:
- ▪
- Consider urine as a matrix for 7-OH-MTX determination;
- ▪
- MTXPG determination may be considered a biomarker of long-term exposure to MTX.
- Check the potential interaction associated with individual patient factors (e.g., age, ethnicity, sex, co-morbidities).
- Check the correctness of drug intake by the patient.
- Metabolite concentration monitoring
- ✓
- MTXPGs are surrogates of MTX exposure even over 90 days (life-time of RBCs), and is considered a long-time period adherence biomarker:
- ▪
- MTXPG concentrations may be expressed as total (sum of MTX after hydrolysis and ‘free’ MTX) or individually per MTXPG.
- ▪
- MTXPG concentrations should also be interpreted holistically with other biochemical parameters and drug doses.
- ✓
- 7-OH-MTX may be considered a short-term adherence biomarker in serum/plasma or urine.
- ✓
- Consider the application of the remote home-based microsampling technique as a unique tool for drug/metabolite monitoring.
- Consider implementing other tools for adherence to the therapy control during pharmacotherapy, such as drug registration, the patient’s diary, retrospective questionnaires, tablet count, clinical scores, and interviews.
6. Conclusions
Author Contributions
Funding
Institutional Review Board Statement
Informed Consent Statement
Data Availability Statement
Conflicts of Interest
References
- Singh, R.; Malhotra, A.; Bansal, R. Synthetic cytotoxic drugs as cancer chemotherapeutic agents. In Medicinal Chemistry of Chemotherapeutic Agents; Elsevier: Amsterdam, The Netherlands, 2023; pp. 499–537. [Google Scholar]
- WHO. Model List of Essential Medicines—23rd List. 2023. Available online: https://www.who.int/publications/i/item/WHO-MHP-HPS-EML-2023.02 (accessed on 7 November 2024).
- Dasgupta, A. (Ed.) Therapeutic Drug Monitoring: Newer Drugs and Biomarkers; Elsevier: Amsterdam, The Netherlands, 2024. [Google Scholar]
- Szpak, E.; Lewandowski, K.; Kowalski, R.; Bogomas-Woźnicka, B.; Irga-Jaworska, N. Therapeutic monitoring of methotrexate in chemotherapy. Diagn. Lab. 2017, 53, 241–246. [Google Scholar] [CrossRef]
- Mikulska, A.; Kocur, A. Pharmacotherapy with high doses of methotrexate (HDMTX) in oncology—How should chemotherapy be conducted based on therapeutic drug monitoring? Prospect. Pharm. Sci. 2023, 21, 40–47. [Google Scholar] [CrossRef]
- Fraenkel, L.; Bathon, J.M.; England, B.R.; Clair, E.W.; Arayssi, T.; Carandang, K.; Deane, K.D.; Genovese, M.; Huston, K.K.; Kerr, G.; et al. American College of Rheumatology Guideline for the Treatment of Rheumatoid Arthritis. Arthritis Care Res. 2021, 73, 924–939. [Google Scholar] [CrossRef]
- Smolen, J.S.; Landewé, R.B.M.; Bergstra, S.A.; Kerschbaumer, A.; Sepriano, A.; Aletaha, D.; Caporali, R.; Edwards, C.J.; Hyrich, K.L.; E Pope, J.; et al. EULAR recommendations for the management of rheumatoid arthritis with synthetic and biological disease-modifying antirheumatic drugs: 2022 update. Ann. Rheum. Dis. 2023, 82, 3–18. [Google Scholar] [CrossRef]
- Tornero, M.J.; Ballina, G.F.J.; Calvo, A.J.; Caracuel, R.M.Á.; Carbonell, A.J.; López, M.A.; Moreno, M.J.V.; Pérez, S.T.; Quijada, C.J.; Trenor, L.P.; et al. Recommendations for the use of methotrexate in rheumatoid arthritis: Up and down scaling of the dose and administration routes. Reumatol. Clin. 2015, 11, 3–8. [Google Scholar] [CrossRef]
- Hobl, E.L.; Jilma, B.; Erlacher, L.; Duhm, B.; Mustak, M.; Bröll, H.; Högger, P.; Rizovski, B.; Mader, R.M. A short-chain methotrexate polyglutamate as outcome parameter in rheumatoid arthritis patients receiving methotrexate. Clin. Exp. Rheumatol. 2012, 30, 156–163. [Google Scholar]
- Romão, V.C.; Lima, A.; Bernardes, M.; Canhão, H.; Fonseca, J.E. Three decades of low-dose methotrexate in rheumatoid arthritis: Can we predict toxicity? Immunol. Res. 2014, 60, 289–310. [Google Scholar] [CrossRef]
- Ćalasan, M.B.; den Boer, E.; de Rotte, M.C.; Vastert, S.J.; Kamphuis, S.; de Jonge, R.; Wulffraat, N.M. Methotrexate polyglutamates in erythrocytes are associated with lower disease activity in juvenile idiopathic arthritis patients. Ann. Rheum. Dis. 2015, 74, 402–407. [Google Scholar] [CrossRef]
- Hope, H.F.; Bluett, J.; Barton, A.; Hyrich, K.L.; Cordingley, L.; Verstappen, S.M.M. Psychological factors predict adherence to methotrexate in rheumatoid arthritis; findings from a systematic review of rates, predictors and associations with patient-reported and clinical outcomes. RMD Open 2016, 20, e000171. [Google Scholar] [CrossRef]
- Hawwa, A.F.; Al Bawab, A.; Rooney, M.; Wedderburn, L.R.; Beresford, M.W.; McElnay, J.C. Methotrexate polyglutamates as a potential marker of adherence to long-term therapy in children with juvenile idiopathic arthritis and juvenile dermatomyositis: An observational, cross-sectional study. Arthritis. Res. Ther. 2015, 17, 295. [Google Scholar] [CrossRef]
- Bluett, J.; Riba-Garcia, I.; Verstappen, S.M.M.; Wendling, T.; Ogungbenro, K.; Unwin, R.D.; Barton, A. Development and validation of a methotrexate adherence assay. Ann. Rheum. Dis. 2019, 78, 1192–1197. [Google Scholar] [CrossRef] [PubMed]
- Edelman, J.; Biggs, D.F.; Jamali, F.; Russell, A.S. Low-dose methotrexate kinetics in arthritis. Clin. Pharmacol. Ther. 1984, 35, 382–386. [Google Scholar] [CrossRef] [PubMed]
- Daraghmeh, D.N.; Moghaddami, M.; Bobrovskaya, L.; Proudman, S.M.; Wiese, M.D. Quantitation of methotrexate polyglutamates in human whole blood, erythrocytes and leukocytes collected via venepuncture and volumetric absorptive micro-sampling: A green LC-MS/MS-based method. Anal. Bioanal. Chem. 2022, 414, 6029–6046. [Google Scholar] [CrossRef] [PubMed]
- Huerta-García, A.P.; Rodríguez-Báez, A.S.; Medellín-Garibay, S.E.; Portales-Pérez, D.P.; Martínez-Martínez, M.U.; Abud-Mendoza, C.; Oostdam, D.H.; Romano-Moreno, S.; Milán-Segovia, R.d.C. Methotrexate Triglutamate as a Determinant of Clinical Response in Mexican Patients With Rheumatoid Arthritis: Pharmacokinetics and Dose Recommendation. J. Clin. Pharmacol. 2021, 61, 1118–1130. [Google Scholar] [CrossRef] [PubMed]
- Sonemoto, E.; Kono, N.; Ikeda, R.; Wada, M.; Ueki, Y.; Nakashima, K. Practical determination of methotrexate in serum of rheumatic patients by LC-MS/MS. Biomed. Chromatogr. 2012, 26, 1297–1300. [Google Scholar] [CrossRef]
- Zhang, Y.; Sun, L.; Zhao, L.; Wang, X.; Zhao, Z.; Mei, S. Methotrexate Polyglutamates Analysis by Chromatography Methods in Biological Matrices: A Review. Anal. Sci. 2021, 37, 1655–1664. [Google Scholar] [CrossRef]
- Dogra, S.; Mahajan, R. Systemic methotrexate therapy for psoriasis: Past, present and future. Clin. Exp. Dermatol. 2013, 38, 573–588. [Google Scholar] [CrossRef]
- Dogra, A.; Sharma, A.; Kumar Mandal, U.; Kotwal, P.; Bhatt, S.; Nandi, U. Liquid Chromatography Based Methods for Analysis of Disease-Modifying Antirheumatic Drugs (DMARDs) in Biological Matrices. Crit. Rev. Anal. Chem. 2019, 49, 224–242. [Google Scholar] [CrossRef]
- Patel, H.; Giri, P.; Ghoghari, A.; Delvadia, P.; Syed, M.; Srinivas, N.R. Review of the bioanalytical methods for the determination of methotrexate and its metabolites in in vitro, preclinical and clinical studies: Case studies and perspectives. Biomed. Chromatogr. 2017, 31, e3849. [Google Scholar] [CrossRef]
- Karami, F.; Ranjbar, S.; Ghasemi, Y.; Negahdaripour, M. Analytical methodologies for determination of methotrexate and its metabolites in pharmaceutical, biological and environmental samples. J. Pharm. Anal. 2019, 9, 373–391. [Google Scholar] [CrossRef]
- Electronic Medicines Compendium Methotrexate: Summary of Product Characteristics, Labelling and Package Leaflet. 2023. Available online: https://www.medicines.org.uk/emc/product/11723/smpc (accessed on 7 November 2024).
- den Boer, E.; Meesters, R.J.; van Zelst, B.D.; Luider, T.M.; Hazes, J.M.W.; Heil, S.G.; De Jonge, R. Measuring methotrexate polyglutamates in red blood cells: A new LC-MS/MS-based method. Anal. Bioanal. Chem. 2013, 405, 1673–1681. [Google Scholar] [CrossRef] [PubMed]
- Pan, S.; Stamp, L.K.; Duffull, S.B.; Barclay, M.L.; Dalrymple, J.M.; Drake, J.; Zhang, M.; Korell, J. Assessment of the relationship between methotrexate polyglutamates in red blood cells and clinical response in patients commencing methotrexate for rheumatoid arthritis. Clin. Pharmacokinet. 2014, 53, 1161–1170. [Google Scholar] [CrossRef] [PubMed]
- Page, M.J.; McKenzie, J.E.; Bossuyt, P.M.; Boutron, I.; Hoffmann, T.C.; Mulrow, C.D.; Shamseer, L.; Tetzlaff, J.M.; Akl, E.A.; Brennan, S.E.; et al. The PRISMA 2020 statement: An updated guideline for reporting systematic reviews. BMJ 2021, 372, 71. [Google Scholar] [CrossRef] [PubMed]
- den Boer, E.; Koch, B.C.; Huisman, R.; de Jonge, R. Using fluorescence polarisation immunoassay for determination of erythrocyte methotrexate polyglutamates, a quick and easy test? Ther. Drug Monit. 2014, 36, 819–823. [Google Scholar] [CrossRef]
- Opitz, P.; Fobker, M.; Fabian, J.; Hempel, G. Development and validation of a bioanalytical method for the quantification of methotrexate from serum and capillary blood using volumetric absorptive microsampling (VAMS) and on-line solid phase extraction (SPE) LC-MS. J. Chromatogr. A 2024, 1715, 464610. [Google Scholar] [CrossRef]
- Descoeur, J.; Dupuy, A.M.; Bargnoux, A.S.; Cristol, J.P.; Mathieu, O. Comparison of four immunoassays to an HPLC method for the therapeutic drug monitoring of methotrexate: Influence of the hydroxylated metabolite levels and impact on clinical threshold. J. Oncol. Pharm. Pract. 2022, 28, 55–63. [Google Scholar] [CrossRef]
- Bouquié, R.; Grégoire, M.; Hernando, H.; Azoulay, C.; Dailly, E.; Monteil-Ganière, C.; Pineau, A.; Deslandes, G.; Jolliet, P. Evaluation of a Methotrexate Chemiluminescent Microparticle Immunoassay: Comparison to Fluorescence Polarization Immunoassay and Liquid Chromatography-Tandem Mass Spectrometry. Am. J. Clin. Pathol. 2016, 146, 119–124. [Google Scholar] [CrossRef]
- Bluett, J.; Riba-Garcia, I.; Hollywood, K.; Verstappen, S.M.; Barton, A.; Unwin, R.D. A HPLC-SRM-MS based method for the detection and quantification of methotrexate in urine at doses used in clinical practice for patients with rheumatological disease: A potential measure of adherence. Analyst 2015, 140, 1981–1987. [Google Scholar] [CrossRef]
- Mo, X.; Wen, Y.; Ren, B.; Chen, J.; Xu, C.; Wang, X.; Huang, M.; Chen, X. Determination of erythrocyte methotrexate polyglutamates by liquid chromatography/tandem mass spectrometry after low-dose methotrexate therapy in Chinese patients with rheumatoid arthritis. J. Chromatogr. B Analyt. Technol. Biomed. Life Sci. 2012, 907, 41–48. [Google Scholar] [CrossRef]
- Hawwa, A.F.; Albawab, A.; Rooney, M.; Wedderburn, L.R.; Beresford, M.W.; McElnay, J.C. A novel dried blood spot-LCMS method for the quantification of methotrexate polyglutamates as a potential marker for methotrexate use in children. PLoS ONE. 2014, 9, e89908. [Google Scholar] [CrossRef]
- Wu, J.; Zhang, S.; Li, J.; Zhong, X.; Feng, G.; Hu, L.; He, F.; Cen, H.; Chen, Y.; He, Y.; et al. Simultaneous determination of erythrocyte methotrexate polyglutamates by a novel and simple HPLC-MS/MS method with stable isotope-labeled internal standards. J. Sep. Sci. 2021, 44, 1852–1865. [Google Scholar] [CrossRef] [PubMed]
- Brady, K.; Alexander, R.V.; Stimson, D.; Rudolph, M.; Kammesheidt, A. Capillary Blood Levels of Hydroxychloroquine and Methotrexate Are Stable for up to 5 Years When Collected on Volumetric Absorptive Microsamplers. J. Appl. Lab. Med. 2021, 6, 858–867. [Google Scholar] [CrossRef] [PubMed]
- European Medicines Agency Guideline on Bioanalytical Method Validation. 2023. Available online: https://www.ema.europa.eu/en/ich-m10-bioanalytical-method-validation-scientific-guideline (accessed on 7 August 2024).
- van Haandel, L.; Becker, M.L.; Williams, T.D.; Leeder, J.S.; Stobaugh, J.F. Measurement of methotrexate polyglutamates in human erythrocytes by ion-pair UPLC-MS/MS. Bioanalysis 2011, 3, 2783–2796. [Google Scholar] [CrossRef] [PubMed]
- Cao, H.; Li, L.; Wang, S.; Guo, H.; Ren, W.; Li, Y.; Huang, J. Dried plasma spot-based liquid chromatography-tandem mass spectrometry for the quantification of methotrexate in human plasma and its application in therapeutic drug monitoring. J. Sep. Sci. 2022, 45, 1153–1161. [Google Scholar] [CrossRef]
- Tripathy, N.K.; Mishra, S.K.; Nathan, G.; Srivastava, S.; Gupta, A.; Lingaiah, R. A Rapid Method for Determination of Serum Methotrexate Using Ultra-High-Performance Liquid Chromatography-Tandem Mass Spectrometry and Its Application in Therapeutic Drug Monitoring. J. Lab. Physicians 2023, 15, 344–353. [Google Scholar] [CrossRef]
- Möhlmann, J.E.; de Roock, S.; Egas, A.C.; Weijden, E.T.; Doeleman, M.J.H.; Huitema, A.D.R.; van Luin, M.; Swart, J.F. Adherence to low-dose methotrexate in children with juvenile idiopathic arthritis using a sensitive methotrexate assay. Pediatr. Rheumatol. Online J. 2024, 22, 52. [Google Scholar] [CrossRef]
- Marras, C.; Monteagudo, I.; Salvador, G.; de Toro, F.J.; Escudero, A.; Sancho, J.J.A.; Raya, E.; Ortiz, A.; Carmona, L.; Mestre, Y.; et al. Identification of patients at risk of non-adherence to oral antirheumatic drugs in rheumatoid arthritis using the Compliance Questionnaire in Rheumatology: An ARCO sub-study. Rheumatol. Int. 2017, 37, 1195–1202. [Google Scholar] [CrossRef]
- van de Meeberg, M.M.; Fidder, H.H.; Oldenburg, B.; Sundaresan, J.; Struys, E.A.; Montazeri, N.S.M.; Mares, W.G.N.; Mahmmod, N.; van Asseldonk, D.P.; Lutgens, M.W.M.D.; et al. Therapeutic drug monitoring of methotrexate in patients with Crohn’s disease. Aliment Pharmacol. Ther. 2023, 58, 1151–1162. [Google Scholar] [CrossRef]
- Fischer, M.; Siva, S.; Cook, G.K.; Jones, D.R.; Fadda, H.M. Methotrexate Polyglutamate Monitoring in Patients With Crohn’s Disease. Clin. Pharmacol. Drug Dev. 2017, 6, 240–245. [Google Scholar] [CrossRef]
- Methotrexate Polyglutamates. 2021. Available online: https://www.labcorp.com/tests/504104/methotrexate-polyglutamates (accessed on 10 December 2024).
- Methotrexate Polyglutamates. 2023. Available online: https://labs.northwell.edu/test/668430121 (accessed on 10 December 2024).
- Methotrexate Polyglutamates. 2021. Available online: https://www.childrensmn.org/references/lab/chemistry/methotrexate-polyglutamates.pdf (accessed on 10 December 2024).
- Methotrexate (MTX) Polyglutamate Testing to Measure Response to Methotrexate Therapy. 2024. Available online: https://www.bcbsm.com/amslibs/content/dam/public/mpr/mprsearch/pdf/2005167.pdf (accessed on 10 December 2024).




| Pharmacokinetics Variable | Mean Value |
|---|---|
| bound with proteins [%] (unbound fraction of drug) | 50 (0.5) |
| half time—t1/2 [h] adult child | 8–10 5–9 |
| time to steady state [h] adult child | 24–48 24–48 |
| excretion in urine [%] | 40–50 (LDMTX) 1–20 (7-OH-MTX) unknown DAMPA |
| oral dose bioavailability [%] | 50–100 (70–80% after one week under 15 mg MTX dose exposure) |
| volume of distribution [L/kg] | 0.75 |
| time to peak concentration (tmax) [h] | 1–4 |
| maximal concentration (Cmax) [µM] | 0.25–2.0 |
| toxic concentrations [µM] | >0.02 (1–2 weeks under LDMTX) |
Disclaimer/Publisher’s Note: The statements, opinions and data contained in all publications are solely those of the individual author(s) and contributor(s) and not of MDPI and/or the editor(s). MDPI and/or the editor(s) disclaim responsibility for any injury to people or property resulting from any ideas, methods, instructions or products referred to in the content. |
© 2024 by the authors. Licensee MDPI, Basel, Switzerland. This article is an open access article distributed under the terms and conditions of the Creative Commons Attribution (CC BY) license (https://creativecommons.org/licenses/by/4.0/).
Share and Cite
Kocur, A.; Mikulska, A.; Moczulski, M.; Pawiński, T. Therapeutic Drug Monitoring of Low Methotrexate Doses for Drug Exposure and Adherence Assessment—Pre-Analytical Variables, Bioanalytical Issues, and Current Clinical Applications. Int. J. Mol. Sci. 2024, 25, 13430. https://doi.org/10.3390/ijms252413430
Kocur A, Mikulska A, Moczulski M, Pawiński T. Therapeutic Drug Monitoring of Low Methotrexate Doses for Drug Exposure and Adherence Assessment—Pre-Analytical Variables, Bioanalytical Issues, and Current Clinical Applications. International Journal of Molecular Sciences. 2024; 25(24):13430. https://doi.org/10.3390/ijms252413430
Chicago/Turabian StyleKocur, Arkadiusz, Aleksandra Mikulska, Mateusz Moczulski, and Tomasz Pawiński. 2024. "Therapeutic Drug Monitoring of Low Methotrexate Doses for Drug Exposure and Adherence Assessment—Pre-Analytical Variables, Bioanalytical Issues, and Current Clinical Applications" International Journal of Molecular Sciences 25, no. 24: 13430. https://doi.org/10.3390/ijms252413430
APA StyleKocur, A., Mikulska, A., Moczulski, M., & Pawiński, T. (2024). Therapeutic Drug Monitoring of Low Methotrexate Doses for Drug Exposure and Adherence Assessment—Pre-Analytical Variables, Bioanalytical Issues, and Current Clinical Applications. International Journal of Molecular Sciences, 25(24), 13430. https://doi.org/10.3390/ijms252413430

