Transcriptome Analysis Unveils Molecular Mechanisms of Acaricide Resistance in Two-Spotted Spider Mite Populations on Hops
Abstract
1. Introduction
2. Results
2.1. Development of Acaricide-Resistant TSSM Populations
2.2. RNA Sequencing and Alignment
2.3. Differential Gene Expression in Acaricide-Resistant TSSM Populations
2.4. Gene Ontological Pattern
2.5. Expression of Classical Detoxification Genes
2.6. Expression of Peptidases
2.7. Expression of Cuticular Proteins, Chitin-Binding Proteins, and Chitinases
2.8. Expression of Laterally Transferred Genes
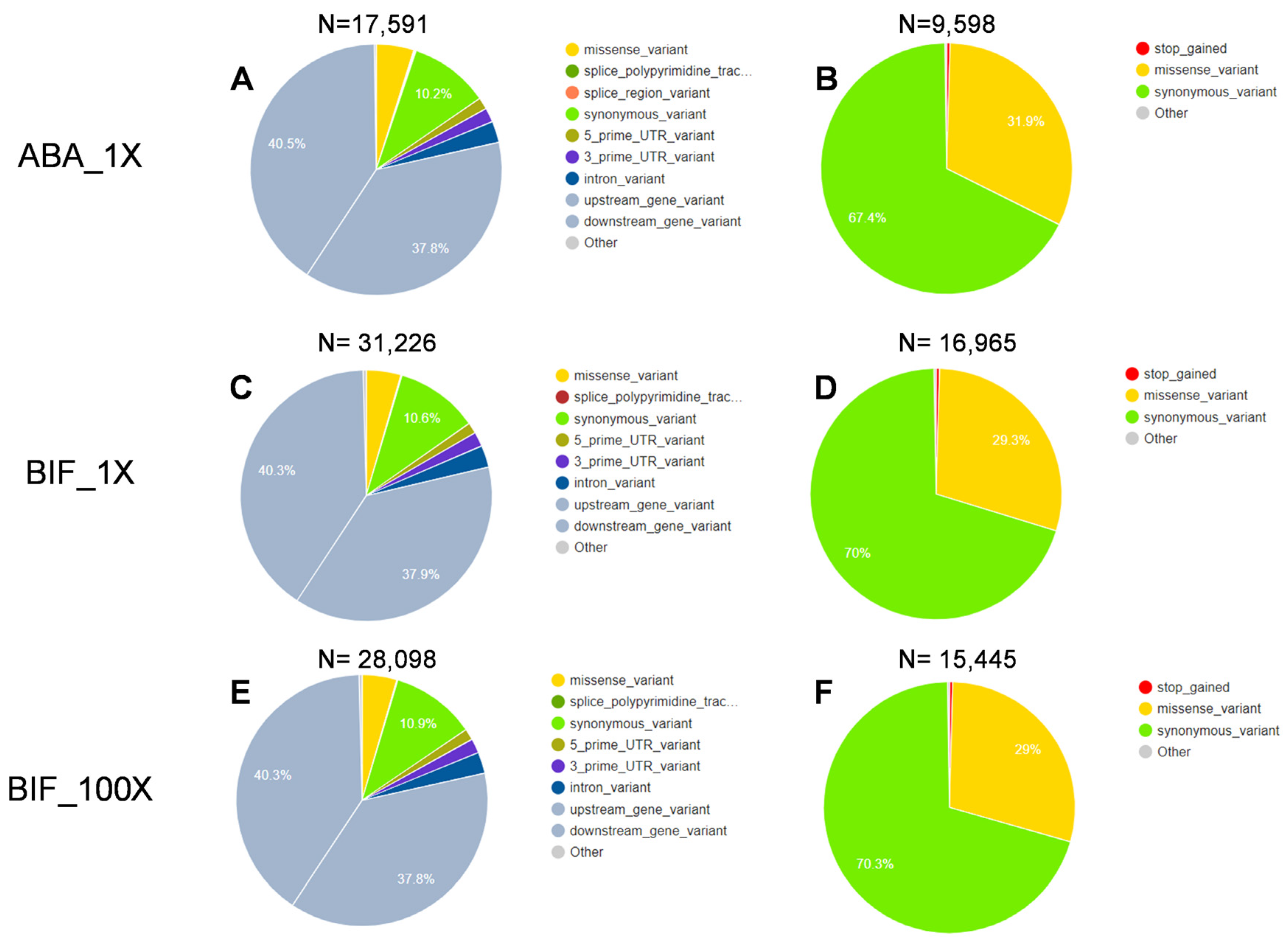
2.9. Variant Identification and Annotation
3. Discussion
4. Materials and Methods
4.1. Acaricides and T. urticae Populations
4.2. Phenotyping Sensitivity to Abamectin and Bifenthrin in the Susceptible and Resistance TSSM Populations
4.3. RNA Extraction, Sequencing, and Differential Gene Expression
4.4. Gene Ontology Enrichment Analysis
4.5. Single-Nucleotide Polymorphism (SNP) Calling and Variant Annotation
Supplementary Materials
Author Contributions
Funding
Institutional Review Board Statement
Informed Consent Statement
Data Availability Statement
Conflicts of Interest
References
- Piraneo, T.G.; Bull, J.; Morales, M.A.; Lavine, L.C.; Walsh, D.B.; Zhu, F. Molecular mechanisms of Tetranychus urticae chemical adaptation in hop fields. Sci. Rep. 2015, 5, 17090. [Google Scholar] [CrossRef] [PubMed]
- Adesanya, A.W.; Beauchamp, M.J.; Lavine, M.D.; Lavine, L.C.; Zhu, F.; Walsh, D.B. Physiological resistance alters behavioral response of Tetranychus urticae to acaricides. Sci. Rep. 2019, 9, 19308. [Google Scholar] [CrossRef] [PubMed]
- NASS-USDA. National Hop Report; NASS-USDA: Washington, DC, USA, 2023.
- Bensoussan, N.; Santamaria, M.E.; Zhurov, V.; Diaz, I.; Grbić, M.; Grbić, V. Plant-herbivore interaction: Dissection of the cellular pattern of Tetranychus urticae feeding on the host plant. Front. Plant Sci. 2016, 7, 212761. [Google Scholar] [CrossRef] [PubMed]
- Gent, D.H.; Barbour, J.D.; Dreves, A.J.; James, D.G.; Parker, R.; Walsh, D.B.; O’Neal, S. Field Guide for Integrated Pest Management in Hops; Oregon State University: Corvallis, OR, USA; University of Idaho: Moscow, IA, USA; USDA Agricultural Research Service: Washington, DC, USA; Washington State University: Washington, DC, USA, 2009. [Google Scholar]
- Peters, K.; Berry, R. Resistance of hop varieties to two spotted spider mite. J. Econ. Entomol. 1980, 73, 232–234. [Google Scholar] [CrossRef]
- Van Leeuwen, T.; Dermauw, W.; Grbic, M.; Tirry, L.; Feyereisen, R. Spider mite control and resistance management: Does a genome help? Pest Manag. Sci. 2013, 69, 156–159. [Google Scholar] [CrossRef]
- Grbić, M.; Van Leeuwen, T.; Clark, R.M.; Rombauts, S.; Rouzé, P.; Grbić, V.; Osborne, E.J.; Dermauw, W.; Thi Ngoc, P.C.; Ortego, F. The genome of Tetranychus urticae reveals herbivorous pest adaptations. Nature 2011, 479, 487–492. [Google Scholar] [CrossRef]
- Heidel-Fischer, H.M.; Vogel, H. Molecular mechanisms of insect adaptation to plant secondary compounds. Curr. Opin. Insect Sci. 2015, 8, 8–14. [Google Scholar] [CrossRef]
- Alyokhin, A.; Chen, Y.H. Adaptation to toxic hosts as a factor in the evolution of insecticide resistance. Curr. Opin. Insect Sci. 2017, 21, 33–38. [Google Scholar] [CrossRef]
- Dermauw, W.; Wybouw, N.; Rombauts, S.; Menten, B.; Vontas, J.; Grbić, M.; Clark, R.M.; Feyereisen, R.; Van Leeuwen, T. A link between host plant adaptation and pesticide resistance in the polyphagous spider mite Tetranychus urticae. Proc. Natl. Acad. Sci. USA 2013, 110, E113–E122. [Google Scholar] [CrossRef]
- Opit, G.; Nechols, J.; Margolies, D. Biological control of twospotted spider mites, Tetranychus urticae Koch (Acari: Tetranychidae), using Phytoseiulus persimilis Athias-Henriot (Acari: Phytoseidae) on ivy geranium: Assessment of predator release ratios. Biol. Control. 2004, 29, 445–452. [Google Scholar] [CrossRef]
- James, D.G.; Price, T.; Wright, L.C.; Coyle, J.; Perez, J. Mite abundance and phenology on commercial and escaped hops in Washington State, USA. Int. J. Acarol. 2001, 27, 151–156. [Google Scholar] [CrossRef]
- Tiftikçi, P.; Kök, Ş.; Kasap, İ. Biological control of twospotted spider mites [Tetranychus urticae Koch (Acari: Tetranychidae)] using Phytoseiulus persimilis Athias-Henriot (Acari: Phytoseidae) at different ratios of release on field-grown tomatos. Biol. Control. 2020, 151, 104404. [Google Scholar] [CrossRef]
- Weihrauch, F. Evaluation of a damage threshold for two-spotted spider mites, Tetranychus urticae Koch (Acari: Tetranychidae), in hop culture. Ann. Appl. Biol. 2005, 146, 501–509. [Google Scholar] [CrossRef]
- Wu, M.; Adesanya, A.W.; Morales, M.A.; Walsh, D.B.; Lavine, L.C.; Lavine, M.D.; Zhu, F. Multiple acaricide resistance and underlying mechanisms in Tetranychus urticae on hops. J. Pest Sci. 2019, 92, 543–555. [Google Scholar] [CrossRef]
- Vassiliou, V.A.; Kitsis, P. Acaricide resistance in Tetranychus urticae (Acari: Tetranychidae) populations from Cyprus. J. Econ. Entomol. 2013, 106, 1848–1854. [Google Scholar] [CrossRef]
- Van Leeuwen, T.; Dermauw, W. The molecular evolution of xenobiotic metabolism and resistance in chelicerate mites. Annu. Rev. Entomol. 2016, 61, 475–498. [Google Scholar] [CrossRef]
- Croft, B.; Van de Baan, H. Ecological and genetic factors influencing evolution of pesticide resistance in tetranychid and phytoseiid mites. Exp. Appl. Acarol. 1988, 4, 277–300. [Google Scholar] [CrossRef]
- Zhu, F.; Gujar, H.; Gordon, J.R.; Haynes, K.F.; Potter, M.F.; Palli, S.R. Bed bugs evolved unique adaptive strategy to resist pyrethroid insecticides. Sci. Rep. 2013, 3, 1456. [Google Scholar] [CrossRef]
- Salehipourshirazi, G.; Bruinsma, K.; Ratlamwala, H.; Dixit, S.; Arbona, V.; Widemann, E.; Milojevic, M.; Jin, P.; Bensoussan, N.; Gómez-Cadenas, A. Rapid specialization of counter defenses enables two-spotted spider mite to adapt to novel plant hosts. Plant Physiol. 2021, 187, 2608–2622. [Google Scholar] [CrossRef]
- Penman, D.; Chapman, R.; Bowie, M. Selection for behavioral resistance in twospotted spider mite (Acari: Tetranychidae) to flucythrinate. J. Econ. Entomol. 1988, 81, 40–44. [Google Scholar] [CrossRef]
- Adesanya, A.; Morales, M.; Walsh, D.; Lavine, L.; Lavine, M.; Zhu, F. Mechanisms of resistance to three mite growth inhibitors of Tetranychus urticae in hops. Bull. Entomol. 2018, 108, 23–34. [Google Scholar] [CrossRef] [PubMed]
- Van Leeuwen, T.; Vontas, J.; Tsagkarakou, A.; Tirry, L. Mechanisms of acaricide resistance in the two-spotted spider mite Tetranychus urticae. In Biorational Control of Arthropod Pests: Application and Resistance Management; Ishaaya, I., Horowitz, A.R., Eds.; Springer Nature: Lodon, UK, 2009; pp. 347–393. [Google Scholar]
- Ilias, A.; Vontas, J.; Tsagkarakou, A. Global distribution and origin of target site insecticide resistance mutations in Tetranychus urticae. Insect Biochem. Mol. Biol. 2014, 48, 17–28. [Google Scholar] [CrossRef] [PubMed]
- Van Leeuwen, T.; Vontas, J.; Tsagkarakou, A.; Dermauw, W.; Tirry, L. Acaricide resistance mechanisms in the two-spotted spider mite Tetranychus urticae and other important Acari: A review. Insect Biochem. Mol. Biol. 2010, 40, 563–572. [Google Scholar] [CrossRef] [PubMed]
- Zhang, Y.; Xu, D.; Zhang, Y.; Wu, Q.; Xie, W.; Guo, Z.; Wang, S. Frequencies and mechanisms of pesticide resistance in Tetranychus urticae field populations in China. Insect Sci. 2022, 29, 827–839. [Google Scholar] [CrossRef] [PubMed]
- İnak, E.; Alpkent, Y.N.; Çobanoğlu, S.; Dermauw, W.; Van Leeuwen, T. Resistance incidence and presence of resistance mutations in populations of Tetranychus urticae from vegetable crops in Turkey. Exp. Appl. Acarol. 2019, 78, 343–360. [Google Scholar] [CrossRef]
- Tagne, C.S.D.; Kouamo, M.F.M.; Tchouakui, M.; Muhammad, A.; Mugenzi, L.J.L.; Tatchou-Nebangwa, N.M.T.; Thiomela, R.F.; Gadji, M.; Wondji, M.J.; Hearn, J.; et al. A single mutation G454A in P450 CYP9K1 drives pyrethroid resistance in the major malaria vector Anopheles funestus reducing bed net efficacy. bioRxiv 2024. [Google Scholar] [CrossRef]
- Riveron, J.M.; Yunta, C.; Ibrahim, S.S.; Djouaka, R.; Irving, H.; Menze, B.D.; Ismail, H.M.; Hemingway, J.; Ranson, H.; Albert, A.; et al. A single mutation in the GSTe2 gene allows tracking of metabolically based insecticide resistance in a major malaria vector. Genome Biol. 2014, 15, R27. [Google Scholar] [CrossRef]
- Ye, M.; Nayak, B.; Xiong, L.; Xie, C.; Dong, Y.; You, M.; Yuchi, Z.; You, S. The role of insect Cytochrome P450s in mediating insecticide resistance. Agric. 2022, 12, 53. [Google Scholar] [CrossRef]
- Zhu, F.; Cui, Y.; Walsh, D.B.; Lavine, L.C. Application of RNAi towards insecticide resistance management. In Short Views on Insect Biochemistry and Molecular Biology; Chandrasekar, R., Tyagi, B.K., Gui, Z., Reeck, G.R., Eds.; Academic Publisher: Manhattan, NY, USA, 2014; pp. 595–619. [Google Scholar]
- Zhang, L.; Shi, J.; Shi, X.; Liang, P.; Gao, J.; Gao, X. Quantitative and qualitative changes of the carboxylesterase associated with beta-cypermethrin resistance in the housefly, Musca domestica (Diptera: Muscidae). Comp. Biochem. Physiol. Part B Biochem. Mol. Biol. 2010, 156, 6–11. [Google Scholar] [CrossRef]
- Feng, X.; Li, M.; Liu, N. Carboxylesterase genes in pyrethroid resistant house flies, Musca domestica. Insect Biochem. Mol. Biol. 2018, 92, 30–39. [Google Scholar] [CrossRef]
- Délye, C.; Jasieniuk, M.; Le Corre, V. Deciphering the evolution of herbicide resistance in weeds. Trends Genet. 2013, 29, 649–658. [Google Scholar] [CrossRef] [PubMed]
- Zhu, F.; Moural, T.W.; Nelson, D.R.; Palli, S.R. A specialist herbivore pest adaptation to xenobiotics through up-regulation of multiple Cytochrome P450s. Sci. Rep. 2016, 6, 20421. [Google Scholar] [CrossRef] [PubMed]
- Njiru, C.; Vandenhole, M.; Jonckheere, W.; Wybouw, N.; Van Leeuwen, T. The host plant strongly modulates acaricide resistance levels to mitochondrial complex II inhibitors in a multi-resistant field population of Tetranychus urticae. Pestic. Biochem. Physiol. 2023, 196, 105591. [Google Scholar] [CrossRef] [PubMed]
- Cruse, C.; Moural, T.W.; Zhu, F. Dynamic roles of insect Carboxyl/Cholinesterases in chemical adaptation. Insects 2023, 14, 194. [Google Scholar] [CrossRef] [PubMed]
- Koirala BK, S.; Moural, T.; Zhu, F. Functional and structural diversity of insect glutathione S-transferases in xenobiotic adaptation. Int. J. Biol. Sci. 2022, 18, 5713. [Google Scholar] [CrossRef]
- Moural, T.W.; Koirala B K, S.; Bhattarai, G.; He, Z.; Guo, H.; Phan, N.T.; Rajotte, E.G.; Biddinger, D.J.; Hoover, K.; Zhu, F. Architecture and potential roles of a delta-class glutathione S-transferase in protecting honey bee from agrochemicals. Chemosphere 2024, 350, 141089. [Google Scholar] [CrossRef]
- Liu, Y.; Moural, T.; Koirala B K, S.; Hernandez, J.; Shen, Z.; Alyokhin, A.; Zhu, F. Structural and functional characterization of one unclassified glutathione S-transferase in xenobiotic adaptation of Leptinotarsa decemlineata. Int. J. Mol. Sci. 2021, 22, 11921. [Google Scholar] [CrossRef]
- Xue, W.; Mermans, C.; Papapostolou, K.M.; Lamprousi, M.; Christou, I.K.; Inak, E.; Douris, V.; Vontas, J.; Dermauw, W.; Van Leeuwen, T. Untangling a G ordian knot: The role of a GluCl3 I321T mutation in abamectin resistance in Tetranychus urticae. Pest Manag. Sci. 2021, 77, 1581–1593. [Google Scholar] [CrossRef]
- Tsagkarakou, A.; Van Leeuwen, T.; Khajehali, J.; Ilias, A.; Grispou, M.; Williamson, M.; Tirry, L.; Vontas, J. Identification of pyrethroid resistance associated mutations in the para sodium channel of the two-spotted spider mite Tetranychus urticae (Acari: Tetranychidae). Insect Mol. Biol. 2009, 18, 583–593. [Google Scholar] [CrossRef]
- Fotoukkiaii, S.M.; Tan, Z.; Xue, W.; Wybouw, N.; Van Leeuwen, T. Identification and characterization of new mutations in mitochondrial cytochrome b that confer resistance to bifenazate and acequinocyl in the spider mite Tetranychus urticae. Pest Manag. Sci. 2020, 76, 1154–1163. [Google Scholar] [CrossRef]
- Kwon, D.H.; Choi, J.Y.; Je, Y.H.; Lee, S.H. The overexpression of acetylcholinesterase compensates for the reduced catalytic activity caused by resistance-conferring mutations in Tetranychus urticae. Insect Biochem. Mol. Biol. 2012, 42, 212–219. [Google Scholar] [CrossRef] [PubMed]
- Dermauw, W.; Ilias, A.; Riga, M.; Tsagkarakou, A.; Grbić, M.; Tirry, L.; Van Leeuwen, T.; Vontas, J. The cys-loop ligand-gated ion channel gene family of Tetranychus urticae: Implications for acaricide toxicology and a novel mutation associated with abamectin resistance. Insect Biochem. Mol. Biol. 2012, 42, 455–465. [Google Scholar] [CrossRef] [PubMed]
- Adesanya, A.W.; Lavine, M.D.; Moural, T.W.; Lavine, L.C.; Zhu, F.; Walsh, D.B. Mechanisms and management of acaricide resistance for Tetranychus urticae in agroecosystems. J. Pest Sci. 2021, 94, 639–663. [Google Scholar] [CrossRef]
- IRAC. Mode of Action Classification. 2023. Available online: https://irac-online.org/mode-of-action/ (accessed on 22 October 2024).
- Riga, M.; Bajda, S.; Themistokleous, C.; Papadaki, S.; Palzewicz, M.; Dermauw, W.; Vontas, J.; Leeuwen, T.V. The relative contribution of target-site mutations in complex acaricide resistant phenotypes as assessed by marker assisted backcrossing in Tetranychus urticae. Sci. Rep. 2017, 7, 9202. [Google Scholar] [CrossRef] [PubMed]
- Riga, M.; Tsakireli, D.; Ilias, A.; Morou, E.; Myridakis, A.; Stephanou, E.; Nauen, R.; Dermauw, W.; Van Leeuwen, T.; Paine, M. Abamectin is metabolized by CYP392A16, a cytochrome P450 associated with high levels of acaricide resistance in Tetranychus urticae. Insect Biochem. Mol. Biol. 2014, 46, 43–53. [Google Scholar] [CrossRef] [PubMed]
- De Beer, B.; Vandenhole, M.; Njiru, C.; Spanoghe, P.; Dermauw, W.; Van Leeuwen, T. High-resolution genetic mapping combined with transcriptome profiling reveals that both target-site resistance and increased detoxification confer resistance to the pyrethroid bifenthrin in the spider mite Tetranychus urticae. Biology 2022, 11, 1630. [Google Scholar] [CrossRef]
- Adesanya, A.W.; Cardenas, A.; Lavine, M.D.; Walsh, D.B.; Lavine, L.C.; Zhu, F. RNA interference of NADPH-cytochrome P450 reductase increases susceptibilities to multiple acaricides in Tetranychus urticae. Pestic. Biochem. Physiol. 2020, 165, 104550. [Google Scholar] [CrossRef]
- Santamaría, M.E.; González-Cabrera, J.; Martínez, M.; Grbic, V.; Castañera, P.; Ortego, F. Digestive proteases in bodies and faeces of the two-spotted spider mite, Tetranychus urticae. J. Insect Physiol. 2015, 78, 69–77. [Google Scholar] [CrossRef]
- Doucet, D.; Retnakaran, A. Insect chitin: Metabolism, genomics and pest management. In Advances in Insect Physiology; Elsevier: Amsterdam, The Netherlands, 2012; pp. 437–511. [Google Scholar]
- Li, G.; Gu, X.; Gui, S.; Guo, J.; Yi, T.; Jin, D. Transcriptome analysis of hormone-and cuticle-related genes in the development process of deutonymph in Tetranychus urticae. Insects 2021, 12, 736. [Google Scholar] [CrossRef]
- Skrzydeł, J.; Borowska-Wykręt, D.; Kwiatkowska, D. Structure, assembly and function of cuticle from mechanical perspective with special focus on perianth. Int. J. Mol. Sci. 2021, 22, 4160. [Google Scholar] [CrossRef]
- Veerman, A.; Helle, W. Evidence for the functional involvement of carotenoids in the photoperiodic reaction of spider mites. Nature 1978, 275, 234. [Google Scholar] [CrossRef] [PubMed]
- Frenette Charron, J.-B.; Ouellet, F.o.; Pelletier, M.; Danyluk, J.; Chauve, C.; Sarhan, F. Identification, expression, and evolutionary analyses of plant lipocalins. Plant Physiol. 2005, 139, 2017–2028. [Google Scholar] [CrossRef] [PubMed]
- Cochran, D.G. Abamectin resistance potential in the German cockroach (Dictyoptera: Blattellidae). J. Econ. Entomol. 1994, 87, 899–903. [Google Scholar] [CrossRef] [PubMed]
- Xu, D.; Zhang, Y.; Zhang, Y.; Wu, Q.; Guo, Z.; Xie, W.; Zhou, X.; Wang, S. Transcriptome profiling and functional analysis suggest that the constitutive overexpression of four cytochrome P450s confers resistance to abamectin in Tetranychus urticae from China. Pest Manag. Sci. 2021, 77, 1204–1213. [Google Scholar] [CrossRef]
- Wang, R.; Fang, Y.; Che, W.; Zhang, Q.; Wang, J.; Luo, C. Metabolic resistance in abamectin-resistant Bemisia tabaci Mediterranean from northern China. Toxins 2022, 14, 424. [Google Scholar] [CrossRef]
- Liu, X.Y.; Li, K.; Pan, D.; Dou, W.; Yuan, G.R.; Wang, J.J. Cross-resistance, inheritance and biochemical mechanism of abamectin resistance in a field-derived strain of the citrus red mite, Panonychus citri (Acari: Tetranychidae). Pest Manag. Sci. 2024, 80, 1258–1265. [Google Scholar] [CrossRef]
- Liang, L.; Li, J.; Jin, L.; Yan, K.; Pan, Y.; Shang, Q. Identification of inducible CYP3 and CYP4 genes associated with abamectin tolerance in the fat body and Malpighian tubules of Spodoptera litura. Pestic. Biochem. Physiol. 2024, 198, 105751. [Google Scholar] [CrossRef]
- Ding, Q.; Xu, X.; Sang, Z.; Wang, R.; Ullah, F.; Gao, X.; Song, D. Characterization of the insecticide detoxification carboxylesterase Boest1 from Bradysia odoriphaga Yang et Zhang (Diptera: Sciaridae). Pest Manag. Sci. 2022, 78, 591–602. [Google Scholar] [CrossRef]
- Bilal, M.; Freed, S.; Ashraf, M.Z.; Rehan, A. Resistance and detoxification enzyme activities to bifenthrin in Oxycarenus hyalinipennis (Hemiptera: Lygaeidae). Crop Prot. 2018, 111, 17–22. [Google Scholar] [CrossRef]
- Zhu, F.; Lavine, L.; O’Neal, S.; Lavine, M.; Foss, C.; Walsh, D. Insecticide resistance and management strategies in urban ecosystems. Insects 2016, 7, 2. [Google Scholar] [CrossRef]
- Yu, X.; Killiny, N. RNA interference of two glutathione S-transferase genes, Diaphorina citri DcGSTe2 and DcGSTd1, increases the susceptibility of Asian citrus psyllid (Hemiptera: Liviidae) to the pesticides fenpropathrin and thiamethoxam. Pest Manag. Sci. 2018, 74, 638–647. [Google Scholar] [CrossRef] [PubMed]
- Ma, B.; Chang, F.N. Purification and cloning of a Delta class glutathione S-transferase displaying high peroxidase activity isolated from the German cockroach Blattella germanica. FEBS J. 2007, 274, 1793–1803z. [Google Scholar] [CrossRef] [PubMed]
- Puinean, A.M.; Foster, S.P.; Oliphant, L.; Denholm, I.; Field, L.M.; Millar, N.S.; Williamson, M.S.; Bass, C. Amplification of a cytochrome P450 gene is associated with resistance to neonicotinoid insecticides in the aphid Myzus persicae. PLoS Genet. 2010, 6, e1000999. [Google Scholar] [CrossRef] [PubMed]
- Zhu, F.; Parthasarathy, R.; Bai, H.; Woithe, K.; Kaussmann, M.; Nauen, R.; Harrison, D.A.; Palli, S.R. A brain-specific cytochrome P450 responsible for the majority of deltamethrin resistance in the QTC279 strain of Tribolium castaneum. Proc. Natl. Acad. Sci. USA 2010, 107, 8557–8562. [Google Scholar] [CrossRef] [PubMed]
- Amezian, D.; Nauen, R.; Le Goff, G. Comparative analysis of the detoxification gene inventory of four major Spodoptera pest species in response to xenobiotics. Insect Biochem. Mol. Biol. 2021, 138, 103646. [Google Scholar] [CrossRef]
- Rand, E.E.d.; Smit, S.; Beukes, M.; Apostolides, Z.; Pirk, C.W.; Nicolson, S.W. Detoxification mechanisms of honey bees (Apis mellifera) resulting in tolerance of dietary nicotine. Sci. Rep. 2015, 5, 11779. [Google Scholar] [CrossRef]
- Zhu, F.; Li, T.; Zhang, L.; Liu, N. Co-up-regulation of three P450 genes in response to permethrin exposure in permethrin resistant house flies, Musca domestica. BMC Physiol 2008, 8, 18. [Google Scholar] [CrossRef]
- Khalighi, M.; Dermauw, W.; Wybouw, N.; Bajda, S.; Osakabe, M.; Tirry, L.; Van Leeuwen, T. Molecular analysis of cyenopyrafen resistance in the two-spotted spider mite Tetranychus urticae. Pest Manag. Sci. 2016, 72, 103–112. [Google Scholar] [CrossRef]
- Khanjani, M.; Saberfar, F.; Mirzaie-Asl, A.; Sheikhi Garjan, A. Resistance mechanisms of the two-spotted spider mite, Tetranychus urticae (Acari: Tetranychidae) populations to fenpyroximate. J. Crop Prot. 2020, 9, 337–345. [Google Scholar]
- Riga, M.; Myridakis, A.; Tsakireli, D.; Morou, E.; Stephanou, E.; Nauen, R.; Van Leeuwen, T.; Douris, V.; Vontas, J. Functional characterization of the Tetranychus urticae CYP392A11, a cytochrome P450 that hydroxylates the METI acaricides cyenopyrafen and fenpyroximate. Insect Biochem. Mol. Biol. 2015, 65, 91–99. [Google Scholar] [CrossRef]
- Lu, X.; Vandenhole, M.; Tsakireli, D.; Pergantis, S.A.; Vontas, J.; Jonckheere, W.; Van Leeuwen, T. Increased metabolism in combination with the novel cytochrome b target-site mutation L258F confers cross-resistance between the Qo inhibitors acequinocyl and bifenazate in Tetranychus urticae. Pestic. Biochem. Physiol. 2023, 192, 105411. [Google Scholar] [CrossRef] [PubMed]
- Liu, Z.; Wu, F.; Liang, W.; Zhou, L.; Huang, J. Molecular mechanisms underlying metabolic resistance to cyflumetofen and bifenthrin in Tetranychus urticae Koch on cowpea. Int. J. Mol. Sci. 2022, 23, 16220. [Google Scholar] [CrossRef] [PubMed]
- İnak, E.; Demirci, B.; Vandenhole, M.; Söylemezoğlu, G.; Van Leeuwen, T.; Toprak, U. Molecular mechanisms of resistance to spirodiclofen and spiromesifen in Tetranychus urticae. Crop Prot. 2023, 172, 106343. [Google Scholar] [CrossRef]
- Vandenhole, M.; Lu, X.; Tsakireli, D.; Mermans, C.; De Rouck, S.; De Beer, B.; Simma, E.; Pergantis, S.A.; Jonckheere, W.; Vontas, J. Contrasting roles of cytochrome P450s in amitraz and chlorfenapyr resistance in the crop pest Tetranychus urticae. Insect Biochem. Mol. Biol. 2024, 164, 104039. [Google Scholar] [CrossRef] [PubMed]
- Xue, W.; Snoeck, S.; Njiru, C.; Inak, E.; Dermauw, W.; Van Leeuwen, T. Geographical distribution and molecular insights into abamectin and milbemectin cross-resistance in European field populations of Tetranychus urticae. Pest Manag. Sci. 2020, 76, 2569–2581. [Google Scholar] [CrossRef]
- Mackenzie, P.I.; Owens, I.S.; Burchell, B.; Bock, K.W.; Bairoch, A.; Belanger, A.; Gigleux, S.F.; Green, M.; Hum, D.W.; Iyanagi, T. The UDP glycosyltransferase gene superfamily: Recommended nomenclature update based on evolutionary divergence. Pharmacogenetics Genom. 1997, 7, 255–269. [Google Scholar] [CrossRef]
- Ahn, S.-J.; Dermauw, W.; Wybouw, N.; Heckel, D.G.; Van Leeuwen, T. Bacterial origin of a diverse family of UDP-glycosyltransferase genes in the Tetranychus urticae genome. Insect Biochem. Mol. Biol. 2014, 50, 43–57. [Google Scholar] [CrossRef]
- Papapostolou, K.M.; Riga, M.; Charamis, J.; Skoufa, E.; Souchlas, V.; Ilias, A.; Dermauw, W.; Ioannidis, P.; Van Leeuwen, T.; Vontas, J. Identification and characterization of striking multiple-insecticide resistance in a Tetranychus urticae field population from Greece. Pest Manag. Sci. 2021, 77, 666–676. [Google Scholar] [CrossRef]
- Jonckheere, W.; Dermauw, W.; Zhurov, V.; Wybouw, N.; Van den Bulcke, J.; Villarroel, C.A.; Greenhalgh, R.; Grbić, M.; Schuurink, R.C.; Tirry, L. The salivary protein repertoire of the polyphagous spider mite Tetranychus urticae: A quest for effectors. Mol. Cell. Proteom. 2016, 15, 3594–3613. [Google Scholar] [CrossRef]
- Dvoryakova, E.; Vinokurov, K.; Tereshchenkova, V.; Dunaevsky, Y.; Belozersky, M.; Oppert, B.; Filippova, I.; Elpidina, E. Primary digestive cathepsins L of Tribolium castaneum larvae: Proteomic identification, properties, comparison with human lysosomal cathepsin L. Insect Biochem. Mol. Biol. 2022, 140, 103679. [Google Scholar] [CrossRef]
- Santamaría, M.E.; Hernández-Crespo, P.; Ortego, F.; Grbic, V.; Grbic, M.; Diaz, I.; Martinez, M. Cysteine peptidases and their inhibitors in Tetranychus urticae: A comparative genomic approach. BMC Genom. 2012, 13, 307. [Google Scholar] [CrossRef] [PubMed]
- Soares-Costa, A.; Dias, A.B.; Dellamano, M.; de Paula, F.F.P.; Carmona, A.K.; Terra, W.R.; Henrique-Silva, F. Digestive physiology and characterization of digestive cathepsin L-like proteinase from the sugarcane weevil Sphenophorus levis. J. Insect Physiol. 2011, 57, 462–468. [Google Scholar] [CrossRef] [PubMed]
- Alim, M.A.; Tsuji, N.; Miyoshi, T.; Islam, M.K.; Huang, X.; Motobu, M.; Fujisaki, K. Characterization of asparaginyl endopeptidase, legumain induced by blood feeding in the ixodid tick Haemaphysalis longicornis. Insect Biochem. Mol. Biol. 2007, 37, 911–922. [Google Scholar] [CrossRef] [PubMed]
- Liu, J.; Shi, G.P.; Zhang, W.Q.; Zhang, G.R.; Xu, W.H. Cathepsin L function in insect moulting: Molecular cloning and functional analysis in cotton bollworm, Helicoverpa armigera. Insect Mol. Biol. 2006, 15, 823–834. [Google Scholar] [CrossRef]
- Uchida, K.; Ohmori, D.; Ueno, T.; Nishizuka, M.; Eshita, Y.; Fukunaga, A.; Kominami, E. Preoviposition activation of cathepsin-like proteinases in degenerating ovarian follicles of the mosquito Culex pipiens pallens. Dev. Biol. 2001, 237, 68–78. [Google Scholar] [CrossRef][Green Version]
- Jiang, S.; Xiong, Y.; Zhang, W.; Zhu, J.; Cheng, D.; Gong, Y.; Wu, Y.; Qiao, H.; Fu, H. A Novel legumain-like protease in Macrobrachium nipponense: Identification, characterization, and function analysis in ovary maturation. Front. Endocrinol. 2022, 13, 858726. [Google Scholar] [CrossRef]
- Kim, B.Y.; Lee, K.S.; Sohn, M.R.; Kim, K.Y.; Choi, K.H.; Kang, P.D.; Jin, B.R. Bombyx mori cathepsin D expression is induced by high temperature and H2O2 exposure. J. Asia-Pac. Entomol. 2011, 14, 285–288. [Google Scholar] [CrossRef]
- Ahmed, S.; Wilkins, R.M.; Mantle, D. Comparison of proteolytic enzyme activities in adults of insecticide resistant and susceptible strains of the housefly M. domestica L. Insect Biochem. Mol. Biol. 1998, 28, 629–639. [Google Scholar] [CrossRef]
- Wilkins, R.M.; Ahmed, S.; Mantle, D. Comparative effect of fenitrothion treatment on intracellular protease activities in insecticide-resistant and susceptible strains of Musca domestica L. Comp. Biochem. Physiol. Part C Pharmacol. Toxicol. Endocrinol. 1999, 124, 337–343. [Google Scholar] [CrossRef]
- Nath, B.S.; Suresh, A.; Varma, B.M.; Kumar, R.S. Changes in protein metabolism in hemolymph and fat body of the silkworm, Bombyx mori (Lepidoptera: Bombycidae) in response to organophosphorus insecticides toxicity. Ecotoxicol. Environ. Saf. 1997, 36, 169–173. [Google Scholar] [CrossRef]
- Flower, D.R. The lipocalin protein family: Structure and function. Biochem. J. 1996, 318, 1–14. [Google Scholar] [CrossRef] [PubMed]
- Demaeght, P.; Dermauw, W.; Tsakireli, D.; Khajehali, J.; Nauen, R.; Tirry, L.; Vontas, J.; Lümmen, P.; Van Leeuwen, T. Molecular analysis of resistance to acaricidal spirocyclic tetronic acids in Tetranychus urticae: CYP392E10 metabolizes spirodiclofen, but not its corresponding enol. Insect Biochem. Mol. Biol. 2013, 43, 544–554. [Google Scholar] [CrossRef] [PubMed]
- Walker, D.W.; Muffat, J.; Rundel, C.; Benzer, S. Overexpression of a Drosophila homolog of apolipoprotein D leads to increased stress resistance and extended lifespan. Curr. Biol. 2006, 16, 674–679. [Google Scholar] [CrossRef] [PubMed]
- Ganfornina, M.D.; Do Carmo, S.; Lora, J.M.; Torres-Schumann, S.; Vogel, M.; Allhorn, M.; González, C.; Bastiani, M.J.; Rassart, E.; Sanchez, D. Apolipoprotein D is involved in the mechanisms regulating protection from oxidative stress. Aging Cell 2008, 7, 506–515. [Google Scholar] [CrossRef]
- Bugg, T.D. Dioxygenase enzymes: Catalytic mechanisms and chemical models. Tetrahedron 2003, 59, 7075–7101. [Google Scholar] [CrossRef]
- Hayaishi, O.; Katagiri, M.; Rothberg, S. Mechanism of the pyrocatechase reaction. J. Am. Chem. Soc. 1955, 77, 5450–5451. [Google Scholar] [CrossRef]
- Njiru, C.; Xue, W.; De Rouck, S.; Alba, J.M.; Kant, M.R.; Chruszcz, M.; Vanholme, B.; Dermauw, W.; Wybouw, N.; Van Leeuwen, T. Intradiol ring cleavage dioxygenases from herbivorous spider mites as a new detoxification enzyme family in animals. BMC Biol. 2022, 20, 131. [Google Scholar] [CrossRef]
- Bryon, A.; Wybouw, N.; Dermauw, W.; Tirry, L.; Van Leeuwen, T. Genome wide gene-expression analysis of facultative reproductive diapause in the two-spotted spider mite Tetranychus urticae. BMC Genom. 2013, 14, 815. [Google Scholar] [CrossRef]
- Xu, Z.; Liu, P.; Hu, Y.; Hu, J.; Qi, C.; Wu, Q.; He, L. Characterization of an Intradiol Ring-Cleavage Dioxygenase gene associated with abamectin resistance in Tetranychus cinnabarinus (Acari: Tetranychidae). J. Econ. Entomol. 2019, 112, 1858–1865. [Google Scholar] [CrossRef]
- Xu, Y.; Xu, J.; Zhou, Y.; Li, X.; Meng, Y.; Ma, L.; Zhou, D.; Shen, B.; Sun, Y.; Zhu, C. CPR63 promotes pyrethroid resistance by increasing cuticle thickness in Culex pipiens pallens. Parasites Vectors 2022, 15, 54. [Google Scholar] [CrossRef]
- Hsu, J.-C.; Lin, Y.-Y.; Chang, C.-C.; Hua, K.-H.; Chen, M.-J.M.; Huang, L.-H.; Chen, C.-Y. Discovery of organophosphate resistance-related genes associated with well-known resistance mechanisms of Plutella xylostella (L.)(Lepidoptera: Plutellidae) by RNA-Seq. J. Econ. Entomol. 2016, 109, 1378–1386. [Google Scholar] [CrossRef] [PubMed]
- Wei, N.; Zhong, Y.; Lin, L.; Xie, M.; Zhang, G.; Su, W.; Li, C.; Chen, H. Transcriptome analysis and identification of insecticide tolerance-related genes after exposure to insecticide in Sitobion avenae. Genes 2019, 10, 951. [Google Scholar] [CrossRef]
- Bascuñán-García, A.P.; Lara, C.; Córdoba-Aguilar, A. Immune investment impairs growth, female reproduction and survival in the house cricket, Acheta domesticus. J. Insect Physiol. 2010, 56, 204–211. [Google Scholar] [CrossRef] [PubMed]
- Begon, M.; Harper, J.L.; Townsend, C.R. Ecology: Individuals, Populations and Communities; Blackwell Scientific Publications Ltd.: Oxford, UK, 1990. [Google Scholar]
- Williams, G.C. Natural selection, the costs of reproduction, and a refinement of Lack’s principle. Am. Nat. 1966, 100, 687–690. [Google Scholar] [CrossRef]
- Clutton-Brock, T.H. Reproductive effort and terminal investment in iteroparous animals. Am. Nat. 1984, 123, 212–229. [Google Scholar] [CrossRef]
- Kempes, C.P.; Koehl, M.; West, G.B. The scales that limit: The physical boundaries of evolution. Front. Ecol. Evol. 2019, 7, 242. [Google Scholar] [CrossRef]
- Zhao, Y.; Liu, W.; Zhao, X.; Yu, Z.; Guo, H.; Yang, Y.; Zhang, J.; Moussian, B.; Zhang, J. Apolipophorin-II/I contributes to cuticular hydrocarbon transport and cuticle barrier construction in Locusta migratoria. Front. Physiol. 2020, 11, 790. [Google Scholar] [CrossRef] [PubMed]
- Hilliou, F.; Chertemps, T.; Maïbèche, M.; Le Goff, G. Resistance in the genus Spodoptera: Key insect detoxification genes. Insects 2021, 12, 544. [Google Scholar] [CrossRef]
- Jayaraman, V.; Toledo-Patiño, S.; Noda-García, L.; Laurino, P. Mechanisms of protein evolution. Protein Sci. 2022, 31, e4362. [Google Scholar] [CrossRef]
- Amichot, M.; Tarès, S.; Brun-Barale, A.; Arthaud, L.; Bride, J.M.; Bergé, J.B. Point mutations associated with insecticide resistance in the Drosophila cytochrome P450 Cyp6a2 enable DDT metabolism. Eur. J. Biochem. 2004, 271, 1250–1257. [Google Scholar] [CrossRef]
- Zhang, Z.; Miteva, M.A.; Wang, L.; Alexov, E. Analyzing effects of naturally occurring missense mutations. Comput. Math. Methods Med. 2012, 2012, 805827. [Google Scholar] [CrossRef] [PubMed]
- Dobin, A.; Davis, C.A.; Schlesinger, F.; Drenkow, J.; Zaleski, C.; Jha, S.; Batut, P.; Chaisson, M.; Gingeras, T.R. STAR: Ultrafast universal RNA-seq aligner. Bioinformatics 2013, 29, 15–21. [Google Scholar] [CrossRef] [PubMed]
- Anders, S.; Pyl, P.T.; Huber, W. HTSeq—A Python framework to work with high-throughput sequencing data. Bioinformatics 2015, 31, 166–169. [Google Scholar] [CrossRef]
- Love, M.I.; Huber, W.; Anders, S. Moderated estimation of fold change and dispersion for RNA-seq data with DESeq2. Genome Biol. 2014, 15, 550. [Google Scholar] [CrossRef] [PubMed]
- Alexa, A.; Rahnenfuhrer, J. topGO: Enrichment analysis for gene ontology. R Package Version 2010, 2, 2010. [Google Scholar]
- McKenna, A.; Hanna, M.; Banks, E.; Sivachenko, A.; Cibulskis, K.; Kernytsky, A.; Garimella, K.; Altshuler, D.; Gabriel, S.; Daly, M. The Genome Analysis Toolkit: A MapReduce framework for analyzing next-generation DNA sequencing data. Genome Res. 2010, 20, 1297–1303. [Google Scholar] [CrossRef]
- Danecek, P.; Auton, A.; Abecasis, G.; Albers, C.A.; Banks, E.; DePristo, M.A.; Handsaker, R.E.; Lunter, G.; Marth, G.T.; Sherry, S.T. The variant call format and VCFtools. Bioinformatics 2011, 27, 2156–2158. [Google Scholar] [CrossRef]
- McLaren, W.; Gil, L.; Hunt, S.E.; Riat, H.S.; Ritchie, G.R.; Thormann, A.; Flicek, P.; Cunningham, F. The ensembl variant effect predictor. Genome Biol. 2016, 17, 122. [Google Scholar] [CrossRef]






| Sample | Biological Replicate | Number of Raw Read Pairs | Number of Filtered Read Pairs | Number of Uniquely Mapped Reads | Uniquely Mapped Reads (%) |
|---|---|---|---|---|---|
| SUS | R1 | 26,987,684 | 26,978,664 | 22,341,744 | 82.81% |
| SUS | R2 | 26,576,947 | 26,566,757 | 23,258,180 | 87.55% |
| SUS | R3 | 26,827,105 | 26,818,001 | 22,323,023 | 83.24% |
| ABA_1X | R1 | 18,504,879 | 18,497,417 | 16,229,378 | 87.74% |
| ABA_1X | R2 | 26,623,737 | 26,613,977 | 23,281,982 | 87.48% |
| ABA_1X | R3 | 26,883,225 | 26,874,636 | 23,320,238 | 86.77% |
| BIF_1X | R1 | 26,767,963 | 26,760,273 | 21,344,223 | 79.76% |
| BIF_1X | R2 | 23,505,658 | 23,499,227 | 18,466,190 | 78.58% |
| BIF_1X | R3 | 26,661,645 | 26,653,710 | 21,460,062 | 80.51% |
| BIF_100X | R1 | 20,019,936 | 20,013,113 | 16,857,274 | 84.23% |
| BIF_100X | R2 | 22,661,494 | 22,653,194 | 19,333,436 | 85.35% |
| BIF_100X | R3 | 26,754,030 | 26,742,951 | 22,731,692 | 85.00% |
| Average | 24,897,858.58 | 24,889,326.67 | 20,912,285.17 | 84.09% |
| Comparison | Number of Upregulated Genes (log2fold Change ≥ 1.5) | Number of Downregulated Genes (log2fold Change ≤ −1.5) | Total Number of Differentially Expressed Genes |
|---|---|---|---|
| ABA_1X vs. SUS | 28 | 569 | 597 |
| BIF_1X vs. SUS | 166 | 469 | 635 |
| BIF_100X vs. SUS | 139 | 540 | 679 |
Disclaimer/Publisher’s Note: The statements, opinions and data contained in all publications are solely those of the individual author(s) and contributor(s) and not of MDPI and/or the editor(s). MDPI and/or the editor(s) disclaim responsibility for any injury to people or property resulting from any ideas, methods, instructions or products referred to in the content. |
© 2024 by the authors. Licensee MDPI, Basel, Switzerland. This article is an open access article distributed under the terms and conditions of the Creative Commons Attribution (CC BY) license (https://creativecommons.org/licenses/by/4.0/).
Share and Cite
Koirala B K, S.; Bhattarai, G.; Adesanya, A.W.; Moural, T.W.; Lavine, L.C.; Walsh, D.B.; Zhu, F. Transcriptome Analysis Unveils Molecular Mechanisms of Acaricide Resistance in Two-Spotted Spider Mite Populations on Hops. Int. J. Mol. Sci. 2024, 25, 13298. https://doi.org/10.3390/ijms252413298
Koirala B K S, Bhattarai G, Adesanya AW, Moural TW, Lavine LC, Walsh DB, Zhu F. Transcriptome Analysis Unveils Molecular Mechanisms of Acaricide Resistance in Two-Spotted Spider Mite Populations on Hops. International Journal of Molecular Sciences. 2024; 25(24):13298. https://doi.org/10.3390/ijms252413298
Chicago/Turabian StyleKoirala B K, Sonu, Gaurab Bhattarai, Adekunle W. Adesanya, Timothy W. Moural, Laura C. Lavine, Douglas B. Walsh, and Fang Zhu. 2024. "Transcriptome Analysis Unveils Molecular Mechanisms of Acaricide Resistance in Two-Spotted Spider Mite Populations on Hops" International Journal of Molecular Sciences 25, no. 24: 13298. https://doi.org/10.3390/ijms252413298
APA StyleKoirala B K, S., Bhattarai, G., Adesanya, A. W., Moural, T. W., Lavine, L. C., Walsh, D. B., & Zhu, F. (2024). Transcriptome Analysis Unveils Molecular Mechanisms of Acaricide Resistance in Two-Spotted Spider Mite Populations on Hops. International Journal of Molecular Sciences, 25(24), 13298. https://doi.org/10.3390/ijms252413298

