Next Article in Journal
Identification of Hub Genes and Physiological Effects of Overexpressing the Photosynthesis-Related Gene Soly720 in Tomato under High-CO2 Conditions
Next Article in Special Issue
Secreted Aspartic Proteinases: Key Factors in Candida Infections and Host-Pathogen Interactions
Previous Article in Journal
Cilostazol Stimulates Angiogenesis and Accelerates Fracture Healing in Aged Male and Female Mice by Increasing the Expression of PI3K and RUNX2
Previous Article in Special Issue
Hemostatically Active Proteinase Produced by Aspergillus ochraceus: Key Specific Properties and Effect on Target Proteins
 
 
Font Type:
Arial Georgia Verdana
Font Size:
Aa Aa Aa
Line Spacing:
Column Width:
Background:
Article

Svx Peptidases of Phytopathogenic Pectolytic Bacteria: Structural, Catalytic and Phytoimmune Properties

by
Natalia Tendiuk
1,
Anastasiya Diakonova
1,
Olga Petrova
1,
Timur Mukhametzyanov
2,
Olga Makshakova
1 and
Vladimir Gorshkov
1,3,*
1
Kazan Institute of Biochemistry and Biophysics, FRC Kazan Scientific Center of RAS, 420111 Kazan, Russia
2
Department of Physical Chemistry, Kazan Federal University, 420008 Kazan, Russia
3
Institute of Fundamental Medicine and Biology, Kazan Federal University, 420008 Kazan, Russia
*
Author to whom correspondence should be addressed.
Int. J. Mol. Sci. 2024, 25(2), 756; https://doi.org/10.3390/ijms25020756
Submission received: 5 December 2023 / Revised: 31 December 2023 / Accepted: 2 January 2024 / Published: 7 January 2024
(This article belongs to the Special Issue Microbial Proteases: Structure, Function and Role in Pathogenesis)

Abstract

Svx proteins are virulence factors secreted by phytopathogenic bacteria of the Pectobacterium genus into the host plant cell wall. Svx-encoding genes are present in almost all species of the soft rot Pectobacteriaceae (Pectobacterium and Dickeya genera). The Svx of P. atrosepticum (Pba) has been shown to be a gluzincin metallopeptidase that presumably targets plant extensins, proteins that contribute to plant cell wall rigidity and participate in cell signaling. However, the particular “output” of the Pba Svx action in terms of plant-pathogen interactions and plant immune responses remained unknown. The Svx proteins are largely unexplored in Dickeya species, even though some of them have genes encoding two Svx homologs. Therefore, our study aims to compare the structural and catalytic properties of the Svx proteins of Pba and D. solani (Dso) and to test the phytoimmune properties of these proteins. Two assayed Dso Svx proteins, similar to Pba Svx, were gluzincin metallopeptidases with conservative tertiary structures. The two domains of the Svx proteins form electronegative clefts where the active centers of the peptidase domains are located. All three assayed Svx proteins possessed phytoimmunosuppressory properties and induced ethylene-mediated plant susceptible responses that play a decisive role in Pba-caused disease.

1. Introduction

Phytopathogenic pectolytic bacteria from the soft rot Pectobacteriaceae (SRP), species of the Pectobacterium and Dickeya genera, cause severe plant diseases worldwide [1]. These bacteria produce a large arsenal of plant cell wall-degrading enzymes (PCWDE) that turn plant tissues into amorphous masses [2]. Due to this, Pectobacterium and Dickeya are routinely considered “brute force pathogens” [2]. Nevertheless, “stealth behavior” constitutes a large part of the strategy of interaction of these bacteria with plants [3,4,5]. In particular, SRP bacteria are able to interact asymptotically with host plants and weed plants for a long time without applying their brute force potential [6,7,8,9,10,11].
In addition to PCWDEs, SRP bacteria produce other virulence factors, some of which are considered to be more typical of “stealthy” phytopathogens. Without these “other” virulence factors, the pathogenic potential of the SRP bacteria is not manifested to a full extent or even at all, even if PCWDEs are produced to a full level. Type three secretion system [12,13], type five secretion system [14], type six secretion system [15,16], coronofacic acid [17,18,19], siderophores [20,21,22,23] and exopolysaccharides [24] are among these virulence factors.
Some virulence factors of SRP, although identified, remain “black horses” of plant-pathogen interactions because of their unknown particular functions. The Svx protein of Pectobacterium atrosepticum (Pba) has been shown to be a virulence factor in this species since the knockout of the svx gene led to a reduction in Pba virulence [25]. The Pba Svx protein has also been shown to be secreted via the type two secretion system into the host plant cell wall (PCW), and its production has been demonstrated to be controlled by quorum sensing [15,25]. However, the particular functions that the Pba Svx protein implements for providing full virulence remained totally unknown prior to our recent study showing that this protein is a gluzincin metallopeptidase with a zinc-binding active site HEXXHX(22)E and an additional acyltransferase-like domain [26]. Using in silico analyses, we also predicted that Pba Svx is a glycopeptidase that is able to digest α-glycosylated proteins that are represented in the PCW with the extensins [26]—PCW proteins that contribute to PCW rigidity and participate in cell signaling [27,28,29]. However, the particular “output” of the Pba Svx action in terms of plant-pathogen interactions and plant immune responses remains unexplored.
The svx-like genes appeared to be present not only in Pectobacterium species but also in a range of phytopathogenic and non-phytobathogenic α-, Δ- and γ-proteobacteria [26]. In non-phytobathogenic bacteria, Svx-like proteins have not been investigated at all. Among phytopathogenic bacteria, the Svx-like protein (AvrXca) was first described in Xanthomonas campestris pv. raphani as an avirulence factor that can elicit plant immune responses [30]. Svx-like genes have been found in many (but not all) Xanthomonas species [26]. In turn, within SRP genomes, svx-like genes were revealed in all species of both Pectobacterium and Dickeya genera (except D. poaceiphila), indicating that Svx-like proteins play an important role in these bacteria [26]. Interestingly, in some Dickeya species (D. solani, D. dadantii, D. chrysanthemi and D. lacustris), genes for simultaneously two Svx-like homologs were found, whereas in Pectobacterium species, this gene is always present in a single copy [26]. Nevertheless, in Dickeya species, these proteins have not been characterized, except that their secretion via the type two secretion system has been demonstrated [31].
Therefore, our study aimed to compare the structural and catalytic properties of the Svx-like proteins of two SRP species (Pba and D. solani (Dso)) and to test the phytoimmune properties of these proteins.

2. Results

2.1. Comparative Analysis of the Structure of the Svx-like Proteins of Pba and Dso

The pairwise alignment of the amino acid sequences of Pba Svx (WP_011092533.1) with two Dso Svx-like proteins (WP_022634244.1 (further referred to as Dso Svx44) and WP_022634245.1 (further referred to as Dso Svx45)) using PSI-protein BLAST revealed that the Dso Svx45 protein is more similar to Pba Svx (69.03% of sequence identity) than Dso Svx44 (55.63% of sequence identity). All three proteins have N-terminal Sec/SPI-type signal peptides (determined by the SignalP 6.0 server). The secondary structure of Pba Svx has been determined in our previous study using both in silico modeling and CD-spectroscopy [26]. The secondary structures of Dso Svx44 and Dso Svx45 were similar to that of the Pba Svx (Figure S1).
All three proteins had similar tertiary structures with two functional domains: metallopeptidase and acyltransferase-like (Figure 1A). Similar to Pba Svx, the metallopeptidase active sites of Dso Svx44 and Dso Svx45 are formed by the zinc-binding motif HEXXHX(8,28)E (Figure 1B). The amino acid residues predicted previously to constitute the Pba Svx carbohydrate binding site [26] were similar in Pba Svx and Dso Svx45, whereas in Dso Svx44, amino acid substitutions N171D and G137A (the positions of the amino acid residues correspond to the Pba Svx) were revealed in the predicted carbohydrate binding site (Figure 1B).
The metallopeptidase and acyltransferase-like functional domains in all three proteins interact with each other; herewith, interdomain interactions are stabilized via nonpolar interactions mostly provided by the ILE, LEU, TYR and PRO residues (Table S1). The predicted protein structures (including the interdomain interactions) were verified by molecular dynamics simulation; all protein models were stable in the course of molecular dynamics trajectories (Figure S2). The interactions of the metallopeptidase and acyltransferase-like domains yielded a large electronegative cleft (Figure 2), which accommodated the active site of the peptidase domain.

2.2. Catalytic Properties of Dso Svx-like Proteins

To verify whether Dso Svx44 and Dso Svx45, similar to Pba Svx [26], possess peptidase activity, recombinant Dso Svx44 and Dso Svx45 proteins were obtained (Figure 3A). The enzymatic assay with azocasein as a substrate proved that both proteins possessed peptidase activity. Both proteins displayed maximum peptidase activity at pH 7.5 (Figure 3B), similar to Pba Svx [26]. Dso Svx44 and Dso Svx45 peptidase activity was most pronounced at 35 °C and 30 °C, respectively (Figure 3C), whereas Pba Svx displayed maximum peptidase activity at 40 °C [26].
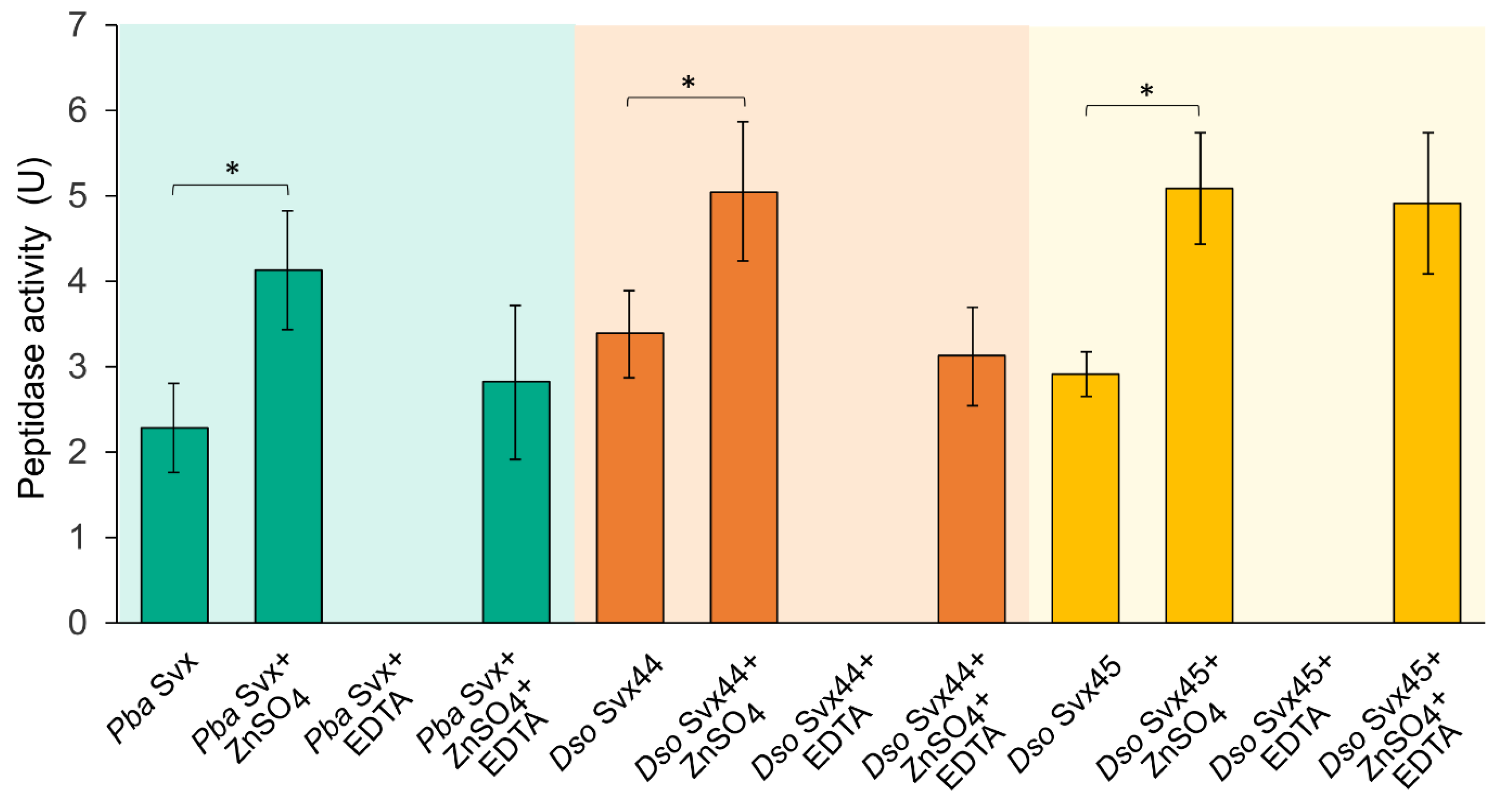
To compare the peptidase activities of the three assayed Svx proteins, we performed the enzymatic assay under conditions at which each protein displayed maximum peptidase activity: in 100 mM Tris-HCl buffer (pH 7.5) for all three proteins and at 40 °C, 35 °C and 30 °C for Pba Svx, Dso Svx44 and Dso Svx45, respectively. All three proteins had similar levels of peptidase activity (Figure 4). For all three assayed proteins, peptidase activity increased after the addition of 1 mM ZnSO4 (65–75%). The addition of 1 mM EDTA completely inhibited the peptidase activity of all three proteins, while in the presence of both 1 mM ZnSO4 and 1 mM EDTA, the peptidase activity was pronounced. Thus, our results proved that similar to Pba Svx, Dso Svx44 and Dso Svx45 are gluzincin metallopeptidases.

2.3. Phytoimmune Properties of Svx Proteins of Pba and Dso

2.3.1. Effect of the Svx Proteins on Hydrogen Peroxide Levels in Plant Tissues

To check whether Pba Svx, Dso Svx44 and Dso Svx45 possessed phytoimmunomodulatory (elicitor) properties, the protein preparations (1 µM) were infiltrated into tobacco leaves, and the hydrogen peroxide level was measured 12 h after infiltration. In addition, we analyzed the effect of a mutant Pba Svx protein (Pba Svx ΔE141A) with an amino acid substitution in the active center of the peptidase domain and reduced peptidase activity [26]. None of the four assayed proteins induced the accumulation of hydrogen peroxide in the infiltrated plant leaves (Figure 5A).
To analyze possible phytoimmunosuppressory properties, tobacco leaves were non-pretreated or pretreated by infiltration with buffer (control) or 1 µM of assayed proteins (Pba Svx, Dso Svx44, Dso Svx45 and Pba Svx ΔE141A), and 12 h later, the same leaf areas were infiltrated with 1 µM of chitooctaose, one of the well-known phytoimmunomodulators [32].
Infiltration with chitooctaose led to an increase in the level of hydrogen peroxide in non-pretreated or buffer-pretreated leaves (Figure 5B,C). In turn, pretreatment with Pba Svx completely abolished the chitooctaose-induced accumulation of hydrogen peroxide, whereas pretreatment with Dso Svx44 or Dso Svx45 significantly reduced the chitooctaose-induced accumulation of hydrogen peroxide (compared to a variant pretreated with buffer) (Figure 5B,C). Pretreatment with the mutant protein Pba Svx ΔE141A also reduced chitooctaose-induced accumulation of hydrogen peroxide (compared to a variant pretreated with buffer), but the Pba Svx ΔE141A phytoimmunosuppressory effect was significantly less pronounced than that of the wild type Pba Svx protein (Figure 5B,C).
As additional controls, we also pretreated plant leaves with 1 µM of bovine serum albumin (BSA) or 1 µM proteinase K. Pretreatment with BSA did not reduce the chitooctaose-induced accumulation of hydrogen peroxide, whereas preinfiltration with proteinase K completely abolished the chitooctaose-induced accumulation of hydrogen peroxide (Figure 5B,C).

2.3.2. Effect of Svx Proteins on the Expression of Infection-Related Genes

To investigate whether Svx proteins affect plant responses mediated by ethylene (ET)-, jasmonic acid (JA)- and salicylic acid (SA), phytohormones involved in response to pathogens, the expression levels of marker genes were assessed in tobacco leaves 12 h after protein infiltration. As additional controls, the expression of marker genes was also assessed following infiltration with proteinase K and BSA. The selected marker genes encode ethylene-responsive transcription factor 1a (ERF1a) and ethylene-biosynthetic enzyme 1-aminocyclopropane-1-carboxylic acid oxidase 1 (ACO1) (markers for the ET-mediated hormonal system), JA-biosynthetic enzymes lipoxygenase 2 (LOX2) and allene oxide cyclase (AOC) (markers for the JA-mediated hormonal system), pathogenesis-related protein 1 (PR1) (marker for the SA-mediated hormonal system). Neither proteinase K nor BSA affected the expression level of all five target genes (Figure 6).
All three target proteins (Pba Svx, Dso Svx44 and Dso Svx45) induced the expression of marker genes of the ET-mediated hormonal system, ERF1a and ACO1, especially the gene encoding ERF1a (Figure 6A,B). The mutant Pba SvxΔE141A protein also induced the expression of the ACO1 gene but had no effect on the expression of the ERF1a gene. Pba Svx and Dso Svx45 proteins, but not Dso Svx44 and Pba SvxΔE141A, induced the expression of the LOX gene (Figure 6C), but none of the assayed proteins affected the expression level of the AOC gene (Figure 6D) as well as the marker for the SA-mediated hormonal system PR1 (Figure 6E).

3. Discussion

In the present study, we compared the structures and catalytic properties of the Svx proteins of the species of two genera of the soft rot Pectobacteriaceae, Pba and Dso, and explored the phytoimmune properties of these proteins. Pba (as well as all Pectobacterium species) has a single gene encoding the Svx protein, whereas Dso (as well as several Dickeya species) has two Svx protein-encoding genes. Therefore, three Svx proteins (Pba Svx, Dso Svx44 and Dso Svx45) were analyzed in this study.
Pba Svx was first characterized in our recent study, where we have shown that this protein is a zinc-dependent metallopeptidase with an additional acyltransferase-like domain. Besides, Pba Svx has been predicted to be a glycopeptidase, which is presumably able to hydrolyze α-glycosylated proteins that are represented in the PCW with the extensins [26].
In the present study, we showed that the Svx proteins of Dso (Dso Svx44 and Dso Svx45) are also zinc-dependent metallopeptidases with similar catalytic properties to those of Pba Svx, except that their maximum levels of peptidase activities are manifested at lower temperatures (30–35 °C) than in Pba Svx (40 °C). All three proteins have similar tertiary structures with two functional domains (peptidase and acyltransferase-like) and possible carbohydrate-binding residues. Modeling of the tertiary structures showed that two domains of the assayed proteins interact with each other predominantly via hydrophobic interactions, forming large electronegative clefts where the active sites of the peptidase domains are accommodated.
The location of the active sites of peptidase domains in electronegative clefts indicates that proteins with positively charged surfaces formed by arginine, lysine, or histidine residues or positively charged carbohydrate residues are preferable substrates of Svx proteins. Among the extensins (that were predicted in our previous study to be the substrates of the Pba Svx protein [26]), those that have lysine-rich positively charged domains are known [33]. The extensin net in muro is considered to form positively charged scaffolds that react with negatively charged pectins to create an extensin-pectate coacervate [33]. Lysine residues, which are usually located between the α-glycosylated sites of extensins, can presumably interact with the negatively charged surface of the Svx pocket and hold the α-glycosylated extensin region within the catalytic site of the Svx protein. Therefore, our present study strengthens the hypothesis that some extensins are possible targets of the Svx peptidases.
Besides the extensins, other plant cell wall proteins can have positively charged elements, e.g., proteins N-glycosylated with N-acetylglucosamine and lysine/histidine-rich arabinogalactan proteins [34,35,36,37]. However, the topology of the carbohydrate-binding site of Pba Svx restricts its interactions with N-glycosylated proteins and β-glycosylated arabinogalactan proteins [26]. Therefore, α-glycosylated extensins with negatively charged domains remain the most plausible substrates of Svx proteins.
The analysis of the immune properties showed that the Svx proteins of Pba and Dso did not have phytoimmunomodulatory (elicitor) properties as they did not induce the accumulation of hydrogen peroxide in plants. In contrast, the first-described svx gene (avrXca) in Xanthomonas campestris pv. raphani has been shown to encode a protein that induces a strong phytoimmune response [30].
All three assessed proteins possessed phytoimmunosuppressive properties since they reduced the hydrogen peroxide level elicited by chitooctaose. Herein, the mutation in the zinc-binding active site reduced the phytoimmunosuppressive properties of Pba Svx (Pba SvxΔE141A). This means that peptidase activity is important for the phytoimmunosuppressive properties of this protein. It cannot be ruled out that the observed phytoimmunosuppressive effect of the Svx proteins could be partially related to the non-specific peptidase activity since a similar molar concentration of proteinase K also resulted in the reduction of hydrogen peroxide levels following elicitation with chitooctaose. However, it should be noted that proteinase K possessed more than two orders of magnitude greater peptidase activity than similar molar concentrations of the assayed Svx proteins; and therefore, proteinase K could lead to dramatic destruction of apoplastic proteins, including those involved in the generation of reactive oxygen species. In turn, given the relatively low peptidase activities of the Svx proteins (compared to proteinase K), their high phytoimmunosuppressive effect is likely related to the specificity of their action toward particular proteins involved in the immune response.
A more specific effect of the Svx proteins was observed in the regulation of infection-associated gene expression. All three Svx proteins induced the expression of the ethylene-biosynthetic gene and especially the ethylene-responsive gene ERF1a, and such an effect has not been observed for proteinase K. The mutant protein Pba SvxΔE141A provided some induction of the ethylene-biosynthetic gene; however, the expression of the ethylene-responsive gene ERF1a was not affected by SvxΔE141A, indicating that peptidase activity is necessary for Svx proteins to induce ethylene-mediated responses.
Ethylene responses are often considered from the perspective of their defense role during plant-pathogen interactions [38]. However, in many cases, ethylene-mediated reactions reflect plant susceptible responses–host reactions driven by pathogen manipulation in order to either “improve” its ecological niche, or cause disease, or both [39]. In the case of plant-Pba interaction, ethylene-mediated responses were definitely demonstrated to promote disease development, being a susceptibility factor [19]. Therefore, our study shows that Svx proteins participate in the induction of ethylene-mediated susceptible responses in plants during their interactions with SRPs.
Other factors of plant susceptibility to Pba are responses regulated by one of a variety of products of the lipoxygenase cascade, jasmonates [18,19]. We revealed that Pba Svx and Dso Svx45 but not Dso Svx44 and Pba SvxΔE141A induced the expression of the gene encoding lipoxygenase, which is a start enzyme of the lipoxygenase cascade. However, none of the assayed proteins induced the expression of a gene encoding allene oxide cyclase, the enzyme that catalyzes the final step of the synthesis of jasmonic acid. This means that Pba Svx and Dso Svx45 can presumably affect some reactions of the lipoxygenase cascade that is typical of plant-Pba interactions [18]; however, the jasmonic acid-biosynthetic branch of the lipoxygenase cascade is unlikely to be affected by the target proteins.
Whether ethylene and jasmonates promote plant susceptibility or resistance to Dickeya species remains debatable and poorly investigated [23]. However, several experimental studies testify in favor of the hypothesis that these two phytohormones contribute more to plant susceptibility to Dickeya species than to resistance to these pathogens, at least at some stages of plant-pathogen interactions [23].
SA is well-reported to promote plant resistance to both Pectobacterium and Dickeya species [19,40,41,42,43]. Neither of the Svx proteins assayed in our study induced the expression of the SA-pathway marker, the PR1 gene. This shows that Svx proteins do not activate the defense pathway, which restricts the propagation of these bacteria in planta.
Among the virulence factors of phytopathogenic microorganisms, many proteins with metallopeptidase activity have been described [44,45,46,47,48,49,50,51,52,53,54]. Most of these virulence-related metallopeptidases are considered “instruments” of brute force that contribute to the disintegration of plant tissues, providing non-specific, extensive digestion of host proteins [45,46]. However, some virulence-related metallopeptidases have been reported to be targeted at particular host proteins (e.g., chitinases, extensins, feredoxins), acting presumably in a “stealth-like” manner [47,48,49,50,51]. Some of these metallopeptidases affect host immune responses. For example, Avr-Pita metallopeptidase from Magnaporthe grisea and Magnaporthe oryzae targets the cytochrome c oxidase assembly protein OsCOX11, a key regulator of mitochondrial reactive oxygen species metabolism [52,53]. Hydrolysis of OsCOX11 by Avr-Pita results in suppression of pathogen-associated molecular pattern (PAMP)-triggered defense responses and an increase in plant susceptibility. Herewith, in the presence of the specific host R protein, Avr-Pita acts as a race-specific elicitor that triggers a hypersensitive response associated with full plant resistance [53]. FgFly1 metallopeptidase from Fusarium graminearum interacts with the calmodulin-binding transcription activator, inhibiting the SA-mediated immune response [54].
The Svx peptidases characterized in our study are unlikely to be directly involved in the “brute force” of Pectobacterium and Dickeya species since these enzymes possess relatively low peptidase activity and we have never observed any signs of plant tissue damage following infiltration of these proteins. However, Svx peptidases are likely to be indirectly involved in “brute force” since they promote host plant responses (ethylene-mediated reactions) that play an important role in plant susceptibility to these pathogens and their aggressive behavior (at least Pba) [19].

4. Materials and Methods

4.1. In Silico Analysis of the Protein Structure

Pairwise alignment of the amino acid sequences was performed using PSI-protein BLAST [55,56]. The presence of signal peptides was analyzed using the SignalP 6.0 server [57,58]. Multiple alignments were carried out in the MAESTRO 12.1 software [59]. Tertiary structures of the proteins were predicted by the AlphaFold 2 server [60,61] (Figure S3). The electrostatic potential of proteins was calculated using the eF-surf server [62,63].

4.2. Molecular Dynamics Simulations

The structures of all three proteins were equilibrated using molecular dynamics (MD). MD simulations were carried out in the Amber18 package using the Amber14SP force-field parameters [64]. Protein molecule was immersed into a water box with periodic boundary conditions. The TIP3P model was used for water molecules. Sodium ions were added to the amount necessary to keep system’s electroneutrality. The integration step of 2 fs was used together with the SHAKE algorithm constraining the bonds involving hydrogen atoms [65]. The Particle Mesh Ewald (PME) method was used for long-ranged electrostatic interactions [66]. The simulations were carried out in the isotherm isobar thermodynamic ensemble at 300 K. The temperature and the pressure were kept constant using a Langevin thermostat with a collision frequency of 2 ps−1 and a weak coupling algorithm with a relaxation time of 2 ps, respectively. First, the system was minimized for 5000 steps and then equilibrated. In the production run 700 ns of the trajectory were accumulated.

4.3. Gene Cloning and Protein Purification

Since the target genes A4U42_RS02180 (Dso svx44) and A4U42_RS02185 (Dso svx45) in Dickeya solani IPO2222 have similar 5′- and 3′-ends, their separate PCR-amplification (without signal-peptide coding sequences) was performed in two-stage PCR. First, to avoid simultaneous amplification of both target DNA fragments, the primers Svx44_F/Svx44_R and Svx45_F/Svx45_R (Table S2) complementary to the unique DNA regions adjacent to the open reading frames (ORF) of the target genes were used. Then, the obtained PCR products were separately used as templates for PCR with primers Svx44His_F/Svx44His_R and Svx45His_F/Svx44His_R (Table S2) to separately amplify the svx44 and svx45 ORFs without sequences encoding signal peptides. Primers Svx44His_R and Svx44His_R at 3′-ends also contained the sequences encoding C-terminal 6His-tags. The aforementioned PCR reactions were performed under the following conditions: 98 °C for 30 s, followed by 25 cycles at 98 °C for 10 s, 68 °C for 15 s and 72 °C for 60 s using Q5 polymerase (NEB, Ipswich, MA, USA). The obtained DNA fragments were ligated with pET51b vectors (Merck KGaA, Darmstadt, Germany).
Cells of Escherichia coli strain BL21 (DE3) (Invitrogen, Waltham, MA, USA) were transformed with the resultant pET51b-Svx44 and pET51b-Svx45 plasmids and grown in sterile LB:M9 (1:1) media supplemented with 100 µg/mL ampicillin at 37 °C until the cultures reached a density of ~0.6 at 600 nm. Synthesis of the recombinant proteins was induced by the addition of isopropyl-β-D-1-thiogalactopyranoside (IPTG) (Thermo Fisher Scientific, Waltham, MA, USA) up to 0.5 mM concentration. Cultures were incubated overnight at 18 °C with shaking. Bacterial cells were collected, and cell lysis was performed using the BugBuster Protein Extraction Reagent (Merck KGaA, Darmstadt, Germany), 0.1 mg/mL of lysozyme (Thermo Fisher Scientific, Waltham, MA, USA) and 0.1 mg/mL of DNase I (Bio-Rad, Hercules, CA, USA) at 37 °C for 20 min. Cell lysates were centrifuged (12,000× g, 4 °C, 30 min), and the inclusion bodies were washed with buffer (100 mM Tris-HCl, pH 8.0, 150 mM NaCl) and pelleted again (12,000×g, 4 °C, 30 min). The pellet was dissolved in a denaturing buffer (100 mM Tris-HCl, 150 mM NaCl, 8 M urea, pH 8.0) and loaded on chromatography columns with HisPur™ Ni-NTA Resin (Thermo Fisher Scientific, Waltham, MA, USA). Non-target proteins were removed from the columns with washing buffer (100 mM Tris-HCl, 150 mM NaCl, 25 mM imidazole, 8 M urea, pH 8.0) and target proteins were eluted with elution buffer (100 mM Tris-HCl, 150 mM NaCl, 250 mM imidazole, 8 M urea, pH 8.0). Then, one volume of the purified recombinant proteins was added dropwise to 20 volumes of the corresponding refolding buffer: for Dso Svx44–100 mM Tris-HCl, 150 mM NaCl, 1.25 mM reduced glutathione, 1.25 mM oxidized glutathione, 0.25 M arginine and 1 mM ZnSO4; for Dso Svx45–100 mM Tris-HCl, 150 mM NaCl, 0.5 mM reduced glutathione, 2 mM oxidized glutathione, 0.5 M arginine and 1 mM ZnSO4 at 4 °C for 12 h. The resultant solution was clarified by centrifugation at 10,000× g for 30 min. All procedures for obtaining the recombinant proteins were performed at 4 °C. For further assays (enzymatic activity, phytoimmune properties), the buffer in protein preparations was changed to 10 mM Tris-HCl, 50 mM NaCl, pH 7.5 using Zeba spin desalting columns (Thermo Fisher Scientific, Waltham, MA, USA). The recombinant proteins Pba Svx and its mutant form Pba Svx ΔE141A with an amino acid substitution in the active center of the peptidase domain and reduced peptidase activity were obtained as described in our previous study [26].
The obtained recombinant proteins were analyzed by SDS-PAGE [67] using an acrylamide concentration of 13% and visualized with Coomassie R-250 (Sigma-Aldrich, St. Louis, MO, USA). Protein concentrations were determined using a Qubit fluorimeter (Thermo Fisher Scientific, Waltham, MA, USA).

4.4. Peptidase Activity Assays

For the peptidase activity assays, azocasein was used as the substrate (Sigma-Aldrich, St. Louis, MO, USA) [68]. Ten μg of the recombinant proteins (in 100 μL) was incubated (60 min) in 250 μL of 0.5% azocasein in 100 mM Tris-HCl buffer with a pH range of 7.0–9.0 and a temperature range of 25–50 °C. When specified, the reaction mixtures were supplemented with 1 mM ZnSO4 and/or 1 mM EDTA. The reactions were stopped by the addition of 100 μL of 10% trichloroacetic acid (Sigma-Aldrich, St. Louis, MO, USA). The sediment was removed by centrifugation (5000× g, 10 min, 25 °C). Supernatants (400 μL) were mixed with 1.0 N NaOH (133 μL), and the absorbance at 440 nm was measured using the microplate reader CLARIOstar (BMG Labtech GmbH, Ortenberg, Germany). One unit of peptidase activity was defined as the amount of enzyme required to produce an absorbance change of 0.1 per min per 1 mg or per 1 nmol of the corresponding protein.

4.5. Determination of the Hydrogen Peroxide Level

Tobacco plants (Nicotiana tabacum Petit Havana SR1) were grown in soil (Borresources, Kerzhenets, Russia) in 50 mL pots for five weeks at 22 °C under a 16/8 light/dark regime. To assess the phytoimmunomodulatory effect of the target proteins, fully expanded plant leaves were infiltrated with the following solutions: (1) 10 mM Tris-HCl, 50 mM NaCl buffer, pH 7.5 (control), (2) 1 µM Pba Svx protein, (3) 1 µM mutant Pba SvxΔE141A protein, (4) 1 µM Dso Svx44 protein, or (5) 1 µM Dso Svx45 protein. Twelve hours after infiltration, the hydrogen peroxide levels were measured in the infiltrated parts of the leaves.
To assess the phytoimmunosuppressory effect of the target proteins, plant leaves were infiltrated with: (1) 10 mM Tris-HCl 50 mM NaCl buffer, pH 7.5 (control), (2) non-infiltrated, (3) 1 µM Pba Svx protein, (4) 1 µM mutant Pba SvxΔE141A protein, (5) 1 µM Dso Svx44 protein, (6) 1 µM Dso Svx45 protein, (7) proteinase K (Thermo Fisher Scientific, Waltham, MA, USA), or (8) bovine serum albumin (BSA) (BioClot GmbH, Bayern, Aidenbach, Germany), and 12 h later, the infiltrated leaf areas were again infiltrated (except for the control variant) with 1 μM chitooctaose (Biosynth Ltd., Compton, Newbury RG20, UK). Six hours after the infiltration of chitooctaose, the hydrogen peroxide levels were measured in the infiltrated parts of the leaves.
Hydrogen peroxide levels were determined by a method based on the peroxide-mediated oxidation of Fe2+ followed by the reaction of Fe3+ with xylenol orange (Sigma, St. Louis, MO, USA). Leaves (100 mg) were ground in 1 mL of a cold 50 mM borate buffer (pH 8.4) in mortars. The homogenates were centrifuged (7000× g, 10 min), and 100 μL of the supernatants was added to 500 μL of the assay reagent that contained 500 mM ammonium ferrous sulfate, 50 mM H2SO4, 200 mM xylenol orange and 200 mM sorbitol. The absorbance of the Fe3+–xylenol orange complex (A560) was detected after 45 min using a microplate reader CLARIOstar (BMG Labtech GmbH, Ortenberg, Germany). Standard curves were obtained by adding various amounts of hydrogen peroxide to 100 mL of a borate buffer mixed with 500 mL of the assay reagent. Data were normalized and expressed as µmol hydrogen peroxide per gram of fresh weight [32]. The experiments were performed in at least ten biological replicates. The statistical significance of differences was assessed using a Mann–Whitney two-sided test with a Benjamini-Hochberg adjustment, with FDR < 0.05 considered to be statistically significant.

4.6. Gene Expression Analysis Using qRT-PCR

Tobacco plants were grown as described above, and fully expanded plant leaves were infiltrated with: (1) 10 mM Tris-HCl 50 mM NaCl buffer, pH 7.5 (control), (2) 1 µM Pba Svx protein, (3) 1 µM mutant Pba SvxΔE141A protein, (4) 1 µM Dso Svx44 protein, (5) 1 µM Dso Svx45 protein, (6) proteinase K (Thermo Fisher Scientific, Waltham, MA, USA), or (7) bovine serum albumin (BSA) (BioClot GmbH, Bayern, Aidenbach, Germany). Twelve hours after infiltration, total RNA was extracted from the infiltrated parts of the leaves. Plant material was ground in liquid nitrogen in mortars. The obtained powder was resuspended in 1 mL of ExtractRNA Reagent (Evrogen, Moscow, Russia), and the subsequent procedures were performed according to the manufacturer’s instructions. To eliminate residual genomic DNA, RNA samples were treated with DNAse I using a DNA-free kit (Thermo Fisher Scientific, Waltham, MA, USA). RNA quantity and quality were analyzed using a NanoPhotometer NP80 (Implen, München, Germany) and electrophoresis in a 1% agarose gel, respectively. One microgram of the total RNA was used for cDNA synthesis using RevertAid reverse transcriptase (Thermo Fisher Scientific, Waltham, MA, USA) according to the manufacturer’s instructions. Two µL of fivefold-diluted cDNA was added to the qRT-PCR mixture. qRT-PCR was performed using the EVA-Green-containing master mix (Syntol, Moscow, Russia) according to the manufacturer’s instructions. Primers for target and reference genes (Supplementary Table S2) were designed using Vector NTI Version 9 software (Invitrogen, Waltham, MA, USA) and synthesized by Evrogen (Moscow, Russia).
PCR was performed under the following conditions: 95 °C for 2 min, followed by 45 cycles at 94 °C for 10 s, 60 °C for 15 s and 72 °C for 30 s. After that, melt curve analysis was performed in the temperature range of 60 to 95 °C. The reactions were run, and changes in fluorescence emission were detected using a CFX96 quantitative PCR system (Bio-Rad, Hercules, CA, USA). The amount of fluorescence was plotted as a function of the PCR cycle using CFX Manager Software (Bio-Rad, Hercules, CA, USA). The amplification efficiency (E) for all primers was determined using a dilution series of a pool of cDNAs. Additional controls included omission of reverse transcriptase to measure the extent of residual genomic DNA contamination and omission of a template. Plant genes encoding elongation factor 1-α and the β-subunit of ATP synthase were used for normalization of the expression of the target genes. Relative expression levels were determined as the ratios between the quantities of cDNA corresponding to the target and reference genes. Experiments were performed in at least eight biological replicates. The statistical significance of differences was assessed using a Mann–Whitney two-sided test with a Benjamini-Hochberg adjustment, with FDR < 0.05 considered to be statistically significant.

5. Conclusions

Dso Svx44 and Dso Svx45, similar to Pba Svx, are gluzincin metallopeptidases with a conservative tertiary structure and similar catalytic properties, indicating that Svx proteins implement similar functions in different SRPs. Two domains of the Svx proteins (peptidase and acyltransferase-like) form electronegative clefts where the active centers of the peptidase domains are located, indicating that preferable substrates of the Svx proteins are likely to be proteins with positively charged surfaces. This fact additionally strengthens our previous hypothesis that the plant extensins are targets of the Svx proteins.
Svx proteins possess phytoimmunosuppressory properties; however, whether these properties are determined by non-specific peptidase activity or specific Svx-mediated hydrolysis of particular proteins requires more in-depth investigation. Svx proteins provide the induction of the ethylene-mediated plant susceptible responses that play a decisive role in disease progression following Pba infection. Our results form a basis for searching for specific proteins targeted by Svx proteins and deciphering the entire mechanism of their action during disease development.

Supplementary Materials

The following supporting information can be downloaded at: https://www.mdpi.com/article/10.3390/ijms25020756/s1.

Author Contributions

Conceptualization, N.T. and V.G.; methodology, N.T., O.M. and O.P.; investigation, N.T., A.D., T.M., O.M. and O.P.; writing—original draft preparation, N.T., O.M. and V.G.; writing—review and editing, V.G.; visualization, N.T., O.M. and A.D.; supervision, V.G.; project administration, V.G.; funding acquisition, V.G. All authors have read and agreed to the published version of the manuscript.

Funding

The obtaining and analysis of the recombinant proteins, the analysis of their phytoimmune properties, and the modeling of the 3D structures of the proteins were supported by the Russian Science Foundation (project No. 19-14-00194). Molecular dynamics simulations and analysis of the tertiary structure models were performed within the framework of the government assignment for the FRC Kazan Scientific Center of RAS.

Institutional Review Board Statement

Not applicable.

Informed Consent Statement

Not applicable.

Data Availability Statement

Data are contained within the article and supplementary materials.

Acknowledgments

This work has been supported by the Kazan Federal University Strategic Academic Leadership Program.

Conflicts of Interest

The authors declare no conflicts of interest.

References

  1. van der Wolf, J.; Acuña, I.; De Boer, S.; Brurberg, M.; Cahill, G.; Charkowski, A.; Coutinho, T.; Davey, T.; Dees, M.; Degefu, Y.; et al. Diseases Caused by Pectobacterium and Dickeya Species Around the World. In Plant Diseases Caused by Dickeya and Pectobacterium Species, 1st ed.; Van Gijsegem, F., van der Wolf, J., Toth, I.K., Eds.; Springer: Cham, Switzerland, 2021; pp. 215–261. [Google Scholar] [CrossRef]
  2. Charkowski, A.; Blanco, C.; Condemine, G.; Expert, D.; Franza, T.; Hayes, C.; Hugouvieux-Cotte-Pattat, N.; López Solanilla, E.; Low, D.; Moleleki, L.; et al. The role of secretion systems and small molecules in soft-rot Enterobacteriaceae pathogenicity. Annu. Rev. Phytopathol. 2012, 50, 425–449. [Google Scholar] [CrossRef] [PubMed]
  3. Toth, I.K.; Birch, P.R. Rotting softly and stealthily. Curr. Opin. Plant Biol. 2005, 8, 424–429. [Google Scholar] [CrossRef] [PubMed]
  4. Van Gijsegem, F.; Hugouvieux-Cotte-Pattat, N.; Kraepiel, Y.; Lojkowska, E.; Moleleki, L.; Gorshkov, V.; Yedidia, I. Molecular Interactions of Pectobacterium and Dickeya with Plants. In Plant Diseases Caused by Dickeya and Pectobacterium Species, 1st ed.; Van Gijsegem, F., van der Wolf, J., Toth, I.K., Eds.; Springer: Cham, Switzerland, 2021; pp. 85–147. [Google Scholar] [CrossRef]
  5. Gorshkov, V.; Parfirova, O. Host plant physiological transformation and microbial population heterogeneity as important determinants of the Soft Rot Pectobacteriaceae–plant interactions. Semin. Cell Dev. Biol. 2023, 148, 33–41. [Google Scholar] [CrossRef] [PubMed]
  6. Lapwood, D.H.; Harris, R.I. The spread of Erwinia carotovora subsp. atroseptica and subsp. carotovora from stem lesions and degenerating seed tubers to progeny tubers in soil. Potato Res. 1982, 25, 41–50. [Google Scholar] [CrossRef]
  7. Hélias, V.; Andrivon, D.; Jouan, B. Development of symptoms caused by Erwinia carotovora ssp. atroseptica under field conditions and their effects on the yield of individual potato plants. Plant Pathol. 2000, 49, 23–32. [Google Scholar] [CrossRef]
  8. Pérombelon, M.C.M. Potato diseases caused by soft rot erwinias: An overview of pathogenesis. Plant Pathol. 2002, 51, 1–12. [Google Scholar] [CrossRef]
  9. Tsror, L.; Lebiush, S.; Erlich, O.; Ben-Daniel, B.; Van DerWolf, J. First report of latent infection of Cyperus rotundus caused by a biovar 3.(Syn. Erwinia chrysanthemi) in Israel. New Dis. Rep. 2010, 22, 2044-0588. [Google Scholar] [CrossRef]
  10. Tsror, L.; Lebiush, S.; Erlich, O.; Galilov, I.; Chalupowicz, L.; Reuven, M.; Dror, O.; Manulis-Sasson, S. First report of latent infection of Malva nicaeensis caused by Pectobacterium carotovorum subsp. brasiliense in Israel. New Dis. Rep. 2019, 39, 2044-0588. [Google Scholar] [CrossRef]
  11. Fikowicz-Krosko, J.; Czajkowski, R. Systemic colonization and expression of disease symptoms on bittersweet nightshade (Solanum dulcamara) infected with a GFP-tagged Dickeya solani IPO2222 (IPO2254). Plant Dis. 2018, 102, 619–627. [Google Scholar] [CrossRef]
  12. Ageichik, A.V.; Evtushenkov, A.N.; Nikolaichik, Y.A. The role of type III secretion system in Erwinia carotovora subsp. atroseptica virulence. Plant Protect. Sci. 2002, 38, 523–527. [Google Scholar] [CrossRef]
  13. Holeva, M.C.; Bell, K.S.; Hyman, L.J.; Avrova, A.O.; Whisson, S.C.; Birch, P.R.; Toth, I.K. Use of a pooled transposon mutation grid to demonstrate roles in disease development for Erwinia carotovora subsp. atroseptica putative type III secreted effector (DspE/a) and helper (HrpN) proteins. Mol. Plant Microbe Interact. 2004, 17, 943–950. [Google Scholar] [CrossRef] [PubMed][Green Version]
  14. Rojas, C.M.; Ham, J.H.; Deng, W.L.; Doyle, J.J.; Collmer, A. HecA, a member of a class of adhesins produced by diverse pathogenic bacteria, contributes to the attachment, aggregation, epidermal cell killing, and virulence phenotypes of Erwinia chrysanthemi EC16 on Nicotiana clevelandii seedlings. Proc. Natl. Acad. Sci. USA 2002, 99, 13142–13147. [Google Scholar] [CrossRef]
  15. Mattinen, L.; Nissinen, R.; Riipi, T.; Kalkkinen, N.; Pirhonen, M. Host-extract induced changes in the secretome of the plant pathogenic bacterium Pectobacterium atrosepticum. Proteomics 2007, 7, 3527–3537. [Google Scholar] [CrossRef] [PubMed]
  16. Liu, H.; Coulthurst, S.J.; Pritchard, L.; Hedley, P.E.; Ravensdale, M.; Humphris, S.; Burr, T.; Takle, G.; Brurberg, M.B.; Birch, P.R.J.; et al. Quorum sensing coordinates brute force and stealth modes of infection in the plant pathogen Pectobacterium atrosepticum. PLoS Pathog. 2008, 4, e1000093. [Google Scholar] [CrossRef] [PubMed]
  17. Gorshkov, V.; Gubaev, R.; Petrova, O.; Daminova, A.; Gogoleva, N.; Ageeva, M.; Gogolev, Y. Transcriptome profiling helps to identify potential and true molecular switches of stealth to brute force behavior in Pectobacterium atrosepticum during systemic colonization of tobacco plants. Eur. J. Plant Pathol. 2018, 152, 957–976. [Google Scholar] [CrossRef]
  18. Gorshkov, V.Y.; Toporkova, Y.Y.; Tsers, I.D.; Smirnova, E.O.; Ogorodnikova, A.V.; Gogoleva, N.E.; Gogolev, Y.V. Differential modulation of the lipoxygenase cascade during typical and latent Pectobacterium atrosepticum infections. Ann. Bot. 2022, 129, 271–286. [Google Scholar] [CrossRef]
  19. Tsers, I.; Parfirova, O.; Moruzhenkova, V.; Petrova, O.; Gogoleva, N.; Vorob’ev, V.; Gorshkov, V. A Switch from Latent to Typical Infection during Pectobacterium atrosepticum—Tobacco Interactions: Predicted and True Molecular Players. Int. J. Mol. Sci. 2023, 24, 13283. [Google Scholar] [CrossRef]
  20. Enard, C.; Diolez, A.; Expert, D. Systemic virulence of Erwinia chrysanthemi 3937 requires a functional iron assimilation system. J. Bacteriol. 1988, 170, 2419–2426. [Google Scholar] [CrossRef]
  21. Franza, T.; Mahé, B.; Expert, D. Erwinia chrysanthemi requires a second iron transport route dependent of the siderophore achromobactin for extracellular growth and plant infection. Mol. Microbiol. 2005, 55, 261–275. [Google Scholar] [CrossRef]
  22. Dellagi, A.; Segond, D.; Rigault, M.; Fagard, M.; Simon, C.; Saindrenan, P.; Expert, D. Microbial siderophores exert a subtle role in Arabidopsis during infection by manipulating the immune response and the iron status. Plant Physiol. 2009, 150, 1687–1696. [Google Scholar] [CrossRef][Green Version]
  23. Gorshkov, V.; Parfirova, O.; Petrova, O.; Gogoleva, N.; Kovtunov, E.; Vorob’ev, V.; Gogolev, Y. The knockout of enterobactin-related gene in Pectobacterium atrosepticum results in reduced stress resistance and virulence towards the primed plants. Int. J. Mol. Sci. 2021, 22, 9594. [Google Scholar] [CrossRef] [PubMed]
  24. Islamov, B.; Petrova, O.; Mikshina, P.; Kadyirov, A.; Vorob’ev, V.; Gogolev, Y.; Gorshkov, V. The Role of Pectobacterium atrosepticum Exopolysaccharides in Plant-Pathogen Interactions. Int. J. Mol Sci. 2021, 22, 12781. [Google Scholar] [CrossRef] [PubMed]
  25. Corbett, M.; Virtue, S.; Bell, K.; Birch, P.; Burr, T.; Hyman, L.; Lilley, K.; Poock, S.; Toth, I.; Salmond, G. Identification of a new quorum-sensing-controlled virulence factor in Erwinia carotovora subsp. atroseptica secreted via the type II targeting pathway. Mol. Plant Microbe Interact. 2005, 18, 334–342. [Google Scholar] [CrossRef] [PubMed]
  26. Tendiuk, N.; Konnova, T.; Petrova, O.; Osipova, E.; Mukhametzyanov, T.; Makshakova, O.; Gorshkov, V. Structure-Functional Characteristics of the Svx Protein-The Virulence Factor of the Phytopathogenic Bacterium Pectobacterium atrosepticum. Int. J. Mol. Sci. 2022, 23, 6914. [Google Scholar] [CrossRef] [PubMed]
  27. Cassab, G.I. Plant cell wall proteins. Annu. Rev. Plant Physiol. Plant Mol. Biol. 1998, 49, 281–309. [Google Scholar] [CrossRef] [PubMed]
  28. Herger, A.; Dünser, K.; Kleine-Vehn, J.; Ringli, C. Leucine-rich repeat extensin proteins and their role in cell wall sensing. Curr. Biol. 2019, 29, R851–R858. [Google Scholar] [CrossRef]
  29. Dünser, K.; Gupta, S.; Herger, A.; Feraru, M.I.; Ringli, C.; Kleine-Vehn, J. Extracellular matrix sensing by FERONIA and Leucine-Rich Repeat Extensins controls vacuolar expansion during cellular elongation in Arabidopsis thaliana. EMBO J. 2019, 38, e100353. [Google Scholar] [CrossRef]
  30. Parker, J.E.; Barber, C.E.; Fan, M.J.; Daniels, M.J. Interaction of Xanthomonas campestris with Arabidopsis thaliana: Characterization of a gene from X. c. pv. raphani that confers avirulence to most A. thaliana accessions. Mol. Plant Microbe Interact. 1993, 6, 216–224. [Google Scholar] [CrossRef]
  31. Kazemi-Pour, N.; Condemine, G.; Hugouvieux-Cotte-Pattat, N. The secretome of the plant pathogenic bacterium Erwinia chrysanthemi. Proteomics 2004, 4, 3177–3186. [Google Scholar] [CrossRef]
  32. Xing, R.; Liu, Y.; Li, K.; Yu, H.; Liu, S.; Yang, Y.; Chen, X.; Li, P. Monomer composition of chitooligosaccharides obtained by different degradation methods and their effects on immunomodulatory activities. Carbohydr. Polym. 2017, 157, 1288–1297. [Google Scholar] [CrossRef]
  33. Cannon, M.C.; Terneus, K.; Hall, Q.; Tan, L.; Wang, Y.; Wegenhart, B.L.; Chen, L.; Lamport, D.T.; Chen, Y.; Kieliszewski, M.J. Self-assembly of the plant cell wall requires an extensin scaffold. Proc. Natl. Acad. Sci. USA 2008, 105, 2226–2231. [Google Scholar] [CrossRef] [PubMed]
  34. Nguema-Ona, E.; Vicré-Gibouin, M.; Gotté, M.; Plancot, B.; Lerouge, P.; Bardor, M.; Driouich, A. Cell wall O-glycoproteins and N-glycoproteins: Aspects of biosynthesis and function. Front. Plant Sci. 2014, 5, 499. [Google Scholar] [CrossRef] [PubMed]
  35. Kieliszewski, M.J.; Kamyab, A.; Leykam, J.F.; Lamport, D.T.A. A Histidine-Rich Extensin from Zea mays Is an Arabinogalactan Protein. Plant Physiol. 1992, 99, 538–547. [Google Scholar] [CrossRef] [PubMed][Green Version]
  36. Zhou, L.H.; Weizbauer, R.A.; Singamaneni, S.; Xu, F.; Genin, G.M.; Pickard, B.G. Structures formed by a cell membrane-associated arabinogalactan-protein on graphite or mica alone and with Yariv phenylglycosides. Ann. Bot. 2014, 114, 1385–1397. [Google Scholar] [CrossRef] [PubMed][Green Version]
  37. Verdugo-Perales, M.; Velez-de la Rocha, R.; León-Félix, J.; Osuna-Enciso, T.; Heredia, J.B.; Osuna-Castro, J.A.; Islas-Osuna, M.A.; Sañudo-Barajas, J.A. Gene expression of an arabinogalactan lysine-rich protein CaAGP18 during vegetative and reproductive development of bell pepper (Capsicum annuum L.). 3 Biotech 2018, 8, 5. [Google Scholar] [CrossRef] [PubMed]
  38. van Loon, L.C.; Geraats, B.P.J.; Linthorst, H.J.M. Ethylene as a modulator of disease resistance in plants. Trends Plant Sci. 2006, 11, 184–191. [Google Scholar] [CrossRef] [PubMed]
  39. Gorshkov, V.; Tsers, I. Plant susceptible responses: The underestimated side of plant-pathogen interactions. Biol. Rev. Camb. Philos. Soc. 2022, 97, 45–66. [Google Scholar] [CrossRef]
  40. Palva, T.K.; Hurtig, M.; Saindrenan, P.; Palva, E.T. Salicylic acid induced resistance to Erwinia carotovora subsp. carotovora in tobacco. Mol. Plant Microbe Interact. 1994, 7, 356–363. [Google Scholar] [CrossRef]
  41. Joshi, J.R.; Burdman, S.; Lipsky, A.; Yariv, S.; Yedidia, I. Plant phenolic acids affect the virulence of Pectobacterium aroidearum and P. carotovorum ssp. brasiliense via quorum sensing regulation. Mol. Plant Pathol. 2016, 17, 487–500. [Google Scholar] [CrossRef]
  42. Czajkowski, R.; van der Wolf, J.; Krolicka, A. Salicylic acid can reduce infection symptoms caused by Dickeya solani in tissue culture grown potato (Solanum tuberosum L.) plants. Eur. J. Plant Pathol. 2015, 141, 545–558. [Google Scholar] [CrossRef][Green Version]
  43. Burra, D.D.; Mühlenbock, P.; Andreasson, E. Salicylic and jasmonic acid pathways are necessary for defence against Dickeya solani as revealed by a novel method for blackleg disease screening of in vitro grown potato. Plant Biol. 2005, 17, 1030–1038. [Google Scholar] [CrossRef] [PubMed]
  44. Figaj, D.; Ambroziak, P.; Przepiora, T.; Skorko-Glonek, J. The role of proteases in the virulence of plant pathogenic bacteria. Int. J. Mol. Sci. 2019, 20, 672. [Google Scholar] [CrossRef] [PubMed]
  45. Ghigo, J.M.; Wandersman, C. A fourth metalloprotease gene in Erwinia chrysanthemi. Res. Microbiol. 1992, 143, 857–867. [Google Scholar] [CrossRef] [PubMed]
  46. Feng, T.; Nyffenegger, C.; Højrup, P.; Vidal-Melgosa, S.; Yan, K.P.; Fangel, J.U.; Meyer, A.S.; Kirpekar, F.; Willats, W.G.; Mikkelsen, J.D. Characterization of an extensin-modifying metalloprotease: N-terminal processing and substrate cleavage pattern of Pectobacterium carotovorum Prt1. Appl. Microbiol. Biotechnol. 2014, 98, 10077–10089. [Google Scholar] [CrossRef] [PubMed]
  47. Ökmen, B.; Kemmerich, B.; Hilbig, D.; Wemhöner, R.; Aschenbroich, J.; Perrar, A.; Huesgen, P.F.; Schipper, K.; Doehlemann, G. Dual function of a secreted fungalysin metalloprotease in Ustilago maydis. New Phytol. 2018, 220, 249–261. [Google Scholar] [CrossRef]
  48. Naumann, T.A.; Price, N.P. Truncation of class IV chitinases from Arabidopsis by secreted fungal proteases. Mol. Plant Pathol. 2012, 13, 1135–1139. [Google Scholar] [CrossRef]
  49. Sanz-Martín, J.M.; Pacheco-Arjona, J.R.; Bello-Rico, V.; Vargas, W.A.; Monod, M.; Díaz-Mínguez, J.M.; Thon, M.R.; Sukno, S.A. A highly conserved metalloprotease effector enhances virulence in the maize anthracnose fungus Colletotrichum graminicola. Mol. Plant Pathol. 2016, 17, 1048–1062. [Google Scholar] [CrossRef]
  50. Dow, J.M.; Clarke, B.R.; Milligan, D.E.; Tang, J.L.; Daniels, M.J. Extracellular proteases from Xanthomonas campestris pv. campestris, the black rot pathogen. Appl. Environ. Microbiol. 1990, 56, 2994–2998. [Google Scholar] [CrossRef]
  51. Grinter, R.; Hay, I.D.; Song, J.; Wang, J.; Teng, D.; Dhanesakaran, V.; Wilksch, J.J.; Davies, M.R.; Littler, D.; Beckham, S.A.; et al. FusC, a member of the M16 protease family acquired by bacteria for iron piracy against plants. PLoS Biol. 2018, 16, e2006026. [Google Scholar] [CrossRef]
  52. Jia, Y.; McAdams, S.A.; Bryan, G.T.; Hershey, H.P.; Valent, B. Direct interaction of resistance gene and avirulence gene products confers rice blast resistance. EMBO J. 2000, 19, 4004–4014. [Google Scholar] [CrossRef]
  53. Han, J.; Wang, X.; Wang, F.; Zhao, Z.; Li, G.; Zhu, X.; Su, J.; Chen, L. The Fungal Effector Avr-Pita Suppresses Innate Immunity by Increasing COX Activity in Rice Mitochondria. Rice 2021, 14, 12. [Google Scholar] [CrossRef]
  54. Wang, X.; He, M.; Liu, H.; Ding, H.; Liu, K.; Li, Y.; Cheng, P.; Li, Q.; Wang, B. Functional Characterization of the M36 Metalloprotease FgFly1 in Fusarium graminearum. J. Fungi 2022, 8, 726. [Google Scholar] [CrossRef] [PubMed]
  55. Altschul, S.F.; Madden, T.L.; Schaffer, A.A.; Zhang, J.; Zhang, Z.; Miller, W.; Lipman, D.J. Gapped BLAST and PSI-BLAST: A new generation of protein database search programs. Nucleic Acids Res. 1997, 25, 3389–3402. [Google Scholar] [CrossRef] [PubMed]
  56. PSI-BLAST. Available online: https://blast.ncbi.nlm.nih.gov/Blast.cgi?PAGE_TYPE=BlastSearch&PROGRAM=blastp&BLAST_PROGRAMS=psiBlast (accessed on 5 December 2023).
  57. Teufel, F.; Almagro Armenteros, J.J.; Johansen, A.R.; Gíslason, M.H.; Pihl, S.I.; Tsirigos, K.D.; Winther, O.; Brunak, S.; von Heijne, G.; Nielsen, H. SignalP 6.0 predicts all five types of signal peptides using protein language models. Nat. Biotechnol. 2022, 40, 1023–1025. [Google Scholar] [CrossRef] [PubMed]
  58. SignalP—6.0—Services—DTU Health Tech. Available online: https://services.healthtech.dtu.dk/service.php?SignalP-6.0 (accessed on 5 December 2023).
  59. Maestro, Schrödinger. Available online: https://www.schrodinger.com/products/maestro (accessed on 5 December 2023).
  60. Jumper, J.; Evans, R.; Pritzel, A.; Green, T.; Figurnov, M.; Ronneberger, O.; Tunyasuvunakool, K.; Bates, R.; Žídek, A.; Potapenko, A.; et al. Highly accurate protein structure prediction with AlphaFold. Nature 2021, 596, 583–589. [Google Scholar] [CrossRef] [PubMed]
  61. AlphaFold2 TIB Serve. Available online: https://alphafold2.biodesign.ac.cn/ (accessed on 5 December 2023).
  62. Nakamura, H.; Nishida, S. Numerical calculations of electrostatic potentials of protein-solvent systems by the self consistent boundary method. J. Phys. Soc. Jpn. 1987, 56, 1609–1622. [Google Scholar] [CrossRef]
  63. eF-Surf. Available online: https://pdbj.org/eF-surf/top.do (accessed on 5 December 2023).
  64. Case, D.A.; Ben-Shalom, I.Y.; Brozell, S.R.; Cerutti, D.S.; Cheatham, T.E., III; Cruzeiro, V.W.D.; Darden, T.A.; Duke, R.E.; Ghoreishi, D.; Gilson, M.K.; et al. AMBER 2018; University of California: San Francisco, CA, USA, 2018. [Google Scholar]
  65. Ryckaert, J.P.; Ciccotti, G.; Berendsen, H.J.C. Numerical integration of the cartesian equations of motion of a system with constraints: Molecular dynamics of n-alkanes. J. Comput. Phys. 1977, 23, 327–341. [Google Scholar] [CrossRef]
  66. Essmann, U.; Perera, L.; Berkowitz, M.L.; Darden, T.; Lee, H.; Pedersen, L.G. A smooth particle mesh Ewald method. J. Chem. Phys. 1995, 103, 8577–8593. [Google Scholar] [CrossRef]
  67. Laemmli, U. Cleavage of Structural Proteins during the Assembly of the Head of Bacteriophage T4. Nature 1970, 227, 680–685. [Google Scholar] [CrossRef]
  68. Akpinar, O.; Penner, M.H. Peptidase activity assays using protein substrates. Curr. Prot. Food Anal. Chem. 2002, 3, C2.2.1–C2.2.10. [Google Scholar] [CrossRef]
Figure 1. Comparison of the tertiary structure models of the Svx proteins of Pectobacterium atrosepticum (Pba Svx) and Dickeya solani (Dso Svx44 and Dso Svx45) (A) and the active sites of their peptidase domains (B). Models were built using the AlphaFold 2 server. Root–mean square deviation values (RMSD) for three comparisons: Pba Svx vs. Dso Svx44, Pba Svx vs. Dso Svx45 and Dso Svx44 vs. Dso Svx45 were 2.92 A, 2.33 A and 2.463 A, respectively. The zinc ion is indicated by a violet sphere.
Figure 1. Comparison of the tertiary structure models of the Svx proteins of Pectobacterium atrosepticum (Pba Svx) and Dickeya solani (Dso Svx44 and Dso Svx45) (A) and the active sites of their peptidase domains (B). Models were built using the AlphaFold 2 server. Root–mean square deviation values (RMSD) for three comparisons: Pba Svx vs. Dso Svx44, Pba Svx vs. Dso Svx45 and Dso Svx44 vs. Dso Svx45 were 2.92 A, 2.33 A and 2.463 A, respectively. The zinc ion is indicated by a violet sphere.
Ijms 25 00756 g001
Figure 2. Electrostatic surface maps of the Svx proteins of Pectobacterium atrosepticum (Pba Svx) and Dickeya solani (Dso Svx44 and Dso Svx45). All surface maps are demonstrated at the same angle as the ribbon structure of the Pba Svx protein on the left, where the peptidase domain is indicated in gray and the acyltransferase-like domain is indicated in orange. Red-to-blue colors on electrostatic surfaces correspond to negative-to-positive electrostatic potentials.
Figure 2. Electrostatic surface maps of the Svx proteins of Pectobacterium atrosepticum (Pba Svx) and Dickeya solani (Dso Svx44 and Dso Svx45). All surface maps are demonstrated at the same angle as the ribbon structure of the Pba Svx protein on the left, where the peptidase domain is indicated in gray and the acyltransferase-like domain is indicated in orange. Red-to-blue colors on electrostatic surfaces correspond to negative-to-positive electrostatic potentials.
Ijms 25 00756 g002
Figure 3. Purified recombinant Svx proteins of Dickeya solani (Dso Svx44 and Dso Svx45) (A) and their peptidase activities at different pH values (B) and different temperatures (C). The pH optimum for the enzymatic activities of both proteins was determined in 100 mM Tris-HCl buffer at 37 °C. The optimal temperature for both proteins was determined in 100 mM Tris-HCl buffer, pH 7.5. One unit of peptidase activity was defined as the amount of enzyme required to produce an absorbance change of 0.1 per min per 1 mg of the corresponding protein. Pba Svx in (A)—the purified recombinant Svx protein of Pectobacterium atrosepticum. Pba Svx ΔE141A in (A)—the purified recombinant mutant Svx protein of Pectobacterium atrosepticum with an amino acid substitution in the active center of the peptidase domain. The values presented are the means ± SD of five replicates.
Figure 3. Purified recombinant Svx proteins of Dickeya solani (Dso Svx44 and Dso Svx45) (A) and their peptidase activities at different pH values (B) and different temperatures (C). The pH optimum for the enzymatic activities of both proteins was determined in 100 mM Tris-HCl buffer at 37 °C. The optimal temperature for both proteins was determined in 100 mM Tris-HCl buffer, pH 7.5. One unit of peptidase activity was defined as the amount of enzyme required to produce an absorbance change of 0.1 per min per 1 mg of the corresponding protein. Pba Svx in (A)—the purified recombinant Svx protein of Pectobacterium atrosepticum. Pba Svx ΔE141A in (A)—the purified recombinant mutant Svx protein of Pectobacterium atrosepticum with an amino acid substitution in the active center of the peptidase domain. The values presented are the means ± SD of five replicates.
Ijms 25 00756 g003
Figure 4. Peptidase activities of the Svx proteins of Pectobacterium atrosepticum (Pba Svx) and Dickeya solani (Dso Svx44 and Dso Svx45). The activities were measured in the absence (Pba Svx, Dso Svx44, Dso Svx45) or presence of 1 mM ZnSO4 (Pba Svx+ZnSO4; Dso Svx44+ZnSO4; Dso Svx45+ZnSO4) or 1 mM EDTA (Pba Svx+EDTA; Dso Svx44+EDTA; Dso Svx45+EDTA) or both 1 mM EDTA and 1 mM ZnSO4 (Pba Svx+ZnSO4+EDTA; Dso Svx44+ZnSO4+EDTA; Dso Svx45+ZnSO4+EDTA). For all three proteins, peptidase activity was measured in 100 mM Tris-HCl buffer pH, 7.5. The activities of Pba Svx, Dso Svx44 and Dso Svx45 were assayed at 40 °C, 35 °C and 30 °C, respectively (at the temperature of maximum activity of each protein). One unit of peptidase activity was defined as the amount of enzyme required to produce an absorbance change of 0.1 per min per 1 nmol of the corresponding protein. The presented values are the means ± SD of five replicates. Asterisks (*) show a significant difference (Mann–Whitney two-sided test, p < 0.05) between the variants designated by brackets.
Figure 4. Peptidase activities of the Svx proteins of Pectobacterium atrosepticum (Pba Svx) and Dickeya solani (Dso Svx44 and Dso Svx45). The activities were measured in the absence (Pba Svx, Dso Svx44, Dso Svx45) or presence of 1 mM ZnSO4 (Pba Svx+ZnSO4; Dso Svx44+ZnSO4; Dso Svx45+ZnSO4) or 1 mM EDTA (Pba Svx+EDTA; Dso Svx44+EDTA; Dso Svx45+EDTA) or both 1 mM EDTA and 1 mM ZnSO4 (Pba Svx+ZnSO4+EDTA; Dso Svx44+ZnSO4+EDTA; Dso Svx45+ZnSO4+EDTA). For all three proteins, peptidase activity was measured in 100 mM Tris-HCl buffer pH, 7.5. The activities of Pba Svx, Dso Svx44 and Dso Svx45 were assayed at 40 °C, 35 °C and 30 °C, respectively (at the temperature of maximum activity of each protein). One unit of peptidase activity was defined as the amount of enzyme required to produce an absorbance change of 0.1 per min per 1 nmol of the corresponding protein. The presented values are the means ± SD of five replicates. Asterisks (*) show a significant difference (Mann–Whitney two-sided test, p < 0.05) between the variants designated by brackets.
Ijms 25 00756 g004
Figure 5. Effect of the Svx proteins of Pectobacterium atrosepticum (Pba Svx) and Dickeya solani (Dso Svx44 and Dso Svx45) on the level of hydrogen peroxide in tobacco leaves. (A) The levels of hydrogen peroxide were measured 12 h after infiltration with 10 mM Tris-HCl, pH 7.5, 50 mM NaCl (dark turquoise), 1 µM Pba Svx (salad green), 1 µM Pba SvxΔE141A (yellow), 1 µM Dso Svx44 (pale green), or 1 µM Dso Svx45 (dark green). (B) Plant leaves were first infiltrated (except for the variant Chi, purple) with buffer (Buffer, dark turquoise and Buffer+Chi, dark turquoise-purple), 1 µM Pba Svx (Pba Svx+Chi, salad green-purple), 1 µM Pba SvxΔE141A (Pba SvxΔE141A+Chi, yellow-purple), 1 µM Dso Svx44 (Dso Svx44+Chi, pale green-purple), 1 µM Dso Svx45 (Dso Svx45+Chi, dark green-purple), 1 µM proteinase K (proteinase K+Chi, orange-purple), or 1 µM bovine serum albumin (BSA+Chi, red-purple), and 12 h later, the same leaf areas of all variants (except for the variant Buffer) were infiltrated with 1 µM chitooctaose. The levels of hydrogen peroxide were measured six hours after infiltration with chitooctaose. (C) FDR values obtained by statistical analysis (Mann–Whitney test with Benjamini—Hochberg adjustment, FDR < 0.05) of differences in the level of hydrogen peroxide between experimental groups presented in (B) (orange background–significant difference; gray background–insignificant difference). No significant differences in the level of hydrogen peroxide were observed between the experimental groups presented in (A). All experimental variants were analyzed in at least five biological replicates. FW—fresh weight.
Figure 5. Effect of the Svx proteins of Pectobacterium atrosepticum (Pba Svx) and Dickeya solani (Dso Svx44 and Dso Svx45) on the level of hydrogen peroxide in tobacco leaves. (A) The levels of hydrogen peroxide were measured 12 h after infiltration with 10 mM Tris-HCl, pH 7.5, 50 mM NaCl (dark turquoise), 1 µM Pba Svx (salad green), 1 µM Pba SvxΔE141A (yellow), 1 µM Dso Svx44 (pale green), or 1 µM Dso Svx45 (dark green). (B) Plant leaves were first infiltrated (except for the variant Chi, purple) with buffer (Buffer, dark turquoise and Buffer+Chi, dark turquoise-purple), 1 µM Pba Svx (Pba Svx+Chi, salad green-purple), 1 µM Pba SvxΔE141A (Pba SvxΔE141A+Chi, yellow-purple), 1 µM Dso Svx44 (Dso Svx44+Chi, pale green-purple), 1 µM Dso Svx45 (Dso Svx45+Chi, dark green-purple), 1 µM proteinase K (proteinase K+Chi, orange-purple), or 1 µM bovine serum albumin (BSA+Chi, red-purple), and 12 h later, the same leaf areas of all variants (except for the variant Buffer) were infiltrated with 1 µM chitooctaose. The levels of hydrogen peroxide were measured six hours after infiltration with chitooctaose. (C) FDR values obtained by statistical analysis (Mann–Whitney test with Benjamini—Hochberg adjustment, FDR < 0.05) of differences in the level of hydrogen peroxide between experimental groups presented in (B) (orange background–significant difference; gray background–insignificant difference). No significant differences in the level of hydrogen peroxide were observed between the experimental groups presented in (A). All experimental variants were analyzed in at least five biological replicates. FW—fresh weight.
Ijms 25 00756 g005
Figure 6. Effect of the Svx proteins of Pectobacterium atrosepticum (Pba Svx) and Dickeya solani (Dso Svx44 and Dso Svx45) on the expression of tobacco plant genes encoding ethylene-responsive transcription factor 1a (ERF1a) (A) and ethylene-biosynthetic enzyme 1-aminocyclopropane-1-carboxylic acid oxidase 1 (ACO1) (B) (markers for the ET-mediated hormonal system), JA-biosynthetic enzymes lipoxygenase 2 (LOX2) (C) and allene oxide cyclase (AOC) (D) (markers for the JA-mediated hormonal system), pathogenesis-related protein 1 (PR1) (E) (marker for the SA-mediated hormonal system). Transcript levels of the target genes were determined 12 h after leaf infiltration with 10 mM Tris-HCl, pH 7.5, 50 mM NaCl buffer, (mock-infiltrated control) (Buffer), 1 µM Pba Svx, 1 µM mutant Pba SvxΔE141A, 1 µM Dso Svx44, 1 µM Dso Svx45, 1 µM proteinase K, or 1 µM bovine serum albumin (BSA). The expression levels of each gene in the mock-infiltrated control are equated to one. The presented values are the means ± SD of at least eight biological replicates. Asterisks (*) show a significant difference (Mann–Whitney two-sided test with Benjamini–Hochberg adjustment, FDR < 0.05) from the mock-infiltrated control or between the variants designated by brackets.
Figure 6. Effect of the Svx proteins of Pectobacterium atrosepticum (Pba Svx) and Dickeya solani (Dso Svx44 and Dso Svx45) on the expression of tobacco plant genes encoding ethylene-responsive transcription factor 1a (ERF1a) (A) and ethylene-biosynthetic enzyme 1-aminocyclopropane-1-carboxylic acid oxidase 1 (ACO1) (B) (markers for the ET-mediated hormonal system), JA-biosynthetic enzymes lipoxygenase 2 (LOX2) (C) and allene oxide cyclase (AOC) (D) (markers for the JA-mediated hormonal system), pathogenesis-related protein 1 (PR1) (E) (marker for the SA-mediated hormonal system). Transcript levels of the target genes were determined 12 h after leaf infiltration with 10 mM Tris-HCl, pH 7.5, 50 mM NaCl buffer, (mock-infiltrated control) (Buffer), 1 µM Pba Svx, 1 µM mutant Pba SvxΔE141A, 1 µM Dso Svx44, 1 µM Dso Svx45, 1 µM proteinase K, or 1 µM bovine serum albumin (BSA). The expression levels of each gene in the mock-infiltrated control are equated to one. The presented values are the means ± SD of at least eight biological replicates. Asterisks (*) show a significant difference (Mann–Whitney two-sided test with Benjamini–Hochberg adjustment, FDR < 0.05) from the mock-infiltrated control or between the variants designated by brackets.
Ijms 25 00756 g006
Disclaimer/Publisher’s Note: The statements, opinions and data contained in all publications are solely those of the individual author(s) and contributor(s) and not of MDPI and/or the editor(s). MDPI and/or the editor(s) disclaim responsibility for any injury to people or property resulting from any ideas, methods, instructions or products referred to in the content.

Share and Cite

MDPI and ACS Style

Tendiuk, N.; Diakonova, A.; Petrova, O.; Mukhametzyanov, T.; Makshakova, O.; Gorshkov, V. Svx Peptidases of Phytopathogenic Pectolytic Bacteria: Structural, Catalytic and Phytoimmune Properties. Int. J. Mol. Sci. 2024, 25, 756. https://doi.org/10.3390/ijms25020756

AMA Style

Tendiuk N, Diakonova A, Petrova O, Mukhametzyanov T, Makshakova O, Gorshkov V. Svx Peptidases of Phytopathogenic Pectolytic Bacteria: Structural, Catalytic and Phytoimmune Properties. International Journal of Molecular Sciences. 2024; 25(2):756. https://doi.org/10.3390/ijms25020756

Chicago/Turabian Style

Tendiuk, Natalia, Anastasiya Diakonova, Olga Petrova, Timur Mukhametzyanov, Olga Makshakova, and Vladimir Gorshkov. 2024. "Svx Peptidases of Phytopathogenic Pectolytic Bacteria: Structural, Catalytic and Phytoimmune Properties" International Journal of Molecular Sciences 25, no. 2: 756. https://doi.org/10.3390/ijms25020756

APA Style

Tendiuk, N., Diakonova, A., Petrova, O., Mukhametzyanov, T., Makshakova, O., & Gorshkov, V. (2024). Svx Peptidases of Phytopathogenic Pectolytic Bacteria: Structural, Catalytic and Phytoimmune Properties. International Journal of Molecular Sciences, 25(2), 756. https://doi.org/10.3390/ijms25020756

Note that from the first issue of 2016, this journal uses article numbers instead of page numbers. See further details here.

Article Metrics

Back to TopTop